三种定制鞋垫治疗型糖尿病卸车鞋对重度糖尿病足足底压力分布的比较分析。

Q3 Medicine
Canadian Prosthetics Orthotics Journal Pub Date : 2024-08-17 eCollection Date: 2024-01-01 DOI:10.33137/cpoj.v7i1.41780
M Nouman, R Apiputhanayut, T Narungsri, S Tipchatyotin, T Dissaneewate
{"title":"三种定制鞋垫治疗型糖尿病卸车鞋对重度糖尿病足足底压力分布的比较分析。","authors":"M Nouman, R Apiputhanayut, T Narungsri, S Tipchatyotin, T Dissaneewate","doi":"10.33137/cpoj.v7i1.41780","DOIUrl":null,"url":null,"abstract":"<p><strong>Background: </strong>Charcot foot deformity, a severe complication of diabetes, involves neuropathy and abnormal peak plantar pressure in the midfoot and forefoot. However, orthotic interventions and shoe modifications are used to address the sequelae of Charcot neuroarthropathy, offering different approaches to managing abnormal peak plantar pressure.</p><p><strong>Objective: </strong>To compare the effects of three types of therapeutic offloading diabetic shoes; prefabricated, relasting, and double rocker-modified shoes on peak plantar pressure in the midfoot and forefoot of nonulcerated chronic Charcot foot during walking.</p><p><strong>Methodology: </strong>A repeated measure design involved 15 participants (40% males and 60% females) with a mean age of 60.73 years (SD=10.50), with Charcot neuropathy. Participants were provided with three types of shoes; prefabricated, relasting, and double rocker-modified shoes, each equipped with the same custom-made insole (CMI). Plantar pressure was recorded while walking on level ground, focusing on the forefoot, midfoot, and hindfoot. The study also investigated additional variables affecting plantar pressure distribution, including the pressure-time integral and contact area.</p><p><strong>Findings: </strong>The type of shoe had distinct effects on the distribution of plantar pressure. The double rocker-modified shoe particularly impacted forefoot pressure during the terminal stance phase of the gait cycle. Peak plantar pressure at the forefoot increased by 5.37% with double rocker-modified shoes compared to relasting shoes. Both double rocker-modified and prefabricated shoes reduced midfoot peak plantar pressure by 8.73% and 11.97%, respectively. Similar trends were observed at the hindfoot, with reductions in peak plantar pressure. However, there were no significant differences in regional peak plantar pressure between the types of shoes except for the central forefoot (F (1.61, 22.5) = 5.69, p = 0.014).</p><p><strong>Conclusion: </strong>There were no significant differences in the effectiveness of prefabricated, relasting, and double rocker-modified shoes in reducing and redistributing peak plantar pressure in high-risk areas of chronic Charcot foot.</p>","PeriodicalId":32763,"journal":{"name":"Canadian Prosthetics Orthotics Journal","volume":"7 1","pages":"41780"},"PeriodicalIF":0.0000,"publicationDate":"2024-08-17","publicationTypes":"Journal Article","fieldsOfStudy":null,"isOpenAccess":false,"openAccessPdf":"https://www.ncbi.nlm.nih.gov/pmc/articles/PMC11609959/pdf/","citationCount":"0","resultStr":"{\"title\":\"Comparative Analysis of Three Types of Therapeutic Offloading Diabetic Shoes With Custom Made Insole on Plantar Pressure Distribution in Severe Diabetic Charcot Foot.\",\"authors\":\"M Nouman, R Apiputhanayut, T Narungsri, S Tipchatyotin, T Dissaneewate\",\"doi\":\"10.33137/cpoj.v7i1.41780\",\"DOIUrl\":null,\"url\":null,\"abstract\":\"<p><strong>Background: </strong>Charcot foot deformity, a severe complication of diabetes, involves neuropathy and abnormal peak plantar pressure in the midfoot and forefoot. However, orthotic interventions and shoe modifications are used to address the sequelae of Charcot neuroarthropathy, offering different approaches to managing abnormal peak plantar pressure.</p><p><strong>Objective: </strong>To compare the effects of three types of therapeutic offloading diabetic shoes; prefabricated, relasting, and double rocker-modified shoes on peak plantar pressure in the midfoot and forefoot of nonulcerated chronic Charcot foot during walking.</p><p><strong>Methodology: </strong>A repeated measure design involved 15 participants (40% males and 60% females) with a mean age of 60.73 years (SD=10.50), with Charcot neuropathy. Participants were provided with three types of shoes; prefabricated, relasting, and double rocker-modified shoes, each equipped with the same custom-made insole (CMI). Plantar pressure was recorded while walking on level ground, focusing on the forefoot, midfoot, and hindfoot. The study also investigated additional variables affecting plantar pressure distribution, including the pressure-time integral and contact area.</p><p><strong>Findings: </strong>The type of shoe had distinct effects on the distribution of plantar pressure. The double rocker-modified shoe particularly impacted forefoot pressure during the terminal stance phase of the gait cycle. Peak plantar pressure at the forefoot increased by 5.37% with double rocker-modified shoes compared to relasting shoes. Both double rocker-modified and prefabricated shoes reduced midfoot peak plantar pressure by 8.73% and 11.97%, respectively. Similar trends were observed at the hindfoot, with reductions in peak plantar pressure. However, there were no significant differences in regional peak plantar pressure between the types of shoes except for the central forefoot (F (1.61, 22.5) = 5.69, p = 0.014).</p><p><strong>Conclusion: </strong>There were no significant differences in the effectiveness of prefabricated, relasting, and double rocker-modified shoes in reducing and redistributing peak plantar pressure in high-risk areas of chronic Charcot foot.</p>\",\"PeriodicalId\":32763,\"journal\":{\"name\":\"Canadian Prosthetics Orthotics Journal\",\"volume\":\"7 1\",\"pages\":\"41780\"},\"PeriodicalIF\":0.0000,\"publicationDate\":\"2024-08-17\",\"publicationTypes\":\"Journal Article\",\"fieldsOfStudy\":null,\"isOpenAccess\":false,\"openAccessPdf\":\"https://www.ncbi.nlm.nih.gov/pmc/articles/PMC11609959/pdf/\",\"citationCount\":\"0\",\"resultStr\":null,\"platform\":\"Semanticscholar\",\"paperid\":null,\"PeriodicalName\":\"Canadian Prosthetics Orthotics Journal\",\"FirstCategoryId\":\"1085\",\"ListUrlMain\":\"https://doi.org/10.33137/cpoj.v7i1.41780\",\"RegionNum\":0,\"RegionCategory\":null,\"ArticlePicture\":[],\"TitleCN\":null,\"AbstractTextCN\":null,\"PMCID\":null,\"EPubDate\":\"2024/1/1 0:00:00\",\"PubModel\":\"eCollection\",\"JCR\":\"Q3\",\"JCRName\":\"Medicine\",\"Score\":null,\"Total\":0}","platform":"Semanticscholar","paperid":null,"PeriodicalName":"Canadian Prosthetics Orthotics Journal","FirstCategoryId":"1085","ListUrlMain":"https://doi.org/10.33137/cpoj.v7i1.41780","RegionNum":0,"RegionCategory":null,"ArticlePicture":[],"TitleCN":null,"AbstractTextCN":null,"PMCID":null,"EPubDate":"2024/1/1 0:00:00","PubModel":"eCollection","JCR":"Q3","JCRName":"Medicine","Score":null,"Total":0}
引用次数: 0

摘要

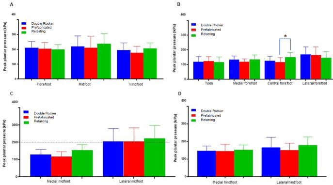
背景:Charcot足畸形是糖尿病的一种严重并发症,包括神经病变和中足和前足足底压力峰值异常。然而,矫形干预和鞋子改造被用于解决Charcot神经关节病的后遗症,提供了不同的方法来管理异常的足底压力峰值。目的:比较三种治疗型糖尿病鞋的降压效果;预制式、松紧式和双摇板改良鞋对非溃疡性慢性夏科足行走时中足和前足足底压力峰值的影响。方法:采用重复测量设计,纳入15名参与者(男性40%,女性60%),平均年龄60.73岁(SD=10.50),患有Charcot神经病变。参与者被提供了三种类型的鞋子;预制的、松紧的和双摇杆改造的鞋子,每一双都配备了相同的定制鞋垫(CMI)。在平地上行走时记录足底压力,主要集中在前足、中足和后足。该研究还研究了影响足底压力分布的其他变量,包括压力-时间积分和接触面积。结果:鞋型对足底压力分布有明显影响。双摇杆改良鞋尤其影响前足压力在步态周期的末端站立阶段。与松紧鞋相比,双摇杆鞋的前足峰值足底压力增加了5.37%。双摇杆改良鞋和预制鞋分别降低了8.73%和11.97%的足中部峰值足底压力。在后脚观察到类似的趋势,足底压力峰值降低。然而,除了前足中央外,不同鞋型之间的足底压力峰值区域无显著差异(F (1.61, 22.5) = 5.69, p = 0.014)。结论:在慢性Charcot足高危区,预制鞋、松紧鞋和双摇板改良鞋在降低和重新分配足底压力峰值方面的效果无显著差异。
本文章由计算机程序翻译,如有差异,请以英文原文为准。

Comparative Analysis of Three Types of Therapeutic Offloading Diabetic Shoes With Custom Made Insole on Plantar Pressure Distribution in Severe Diabetic Charcot Foot.

Comparative Analysis of Three Types of Therapeutic Offloading Diabetic Shoes With Custom Made Insole on Plantar Pressure Distribution in Severe Diabetic Charcot Foot.

Comparative Analysis of Three Types of Therapeutic Offloading Diabetic Shoes With Custom Made Insole on Plantar Pressure Distribution in Severe Diabetic Charcot Foot.

Comparative Analysis of Three Types of Therapeutic Offloading Diabetic Shoes With Custom Made Insole on Plantar Pressure Distribution in Severe Diabetic Charcot Foot.

Background: Charcot foot deformity, a severe complication of diabetes, involves neuropathy and abnormal peak plantar pressure in the midfoot and forefoot. However, orthotic interventions and shoe modifications are used to address the sequelae of Charcot neuroarthropathy, offering different approaches to managing abnormal peak plantar pressure.

Objective: To compare the effects of three types of therapeutic offloading diabetic shoes; prefabricated, relasting, and double rocker-modified shoes on peak plantar pressure in the midfoot and forefoot of nonulcerated chronic Charcot foot during walking.

Methodology: A repeated measure design involved 15 participants (40% males and 60% females) with a mean age of 60.73 years (SD=10.50), with Charcot neuropathy. Participants were provided with three types of shoes; prefabricated, relasting, and double rocker-modified shoes, each equipped with the same custom-made insole (CMI). Plantar pressure was recorded while walking on level ground, focusing on the forefoot, midfoot, and hindfoot. The study also investigated additional variables affecting plantar pressure distribution, including the pressure-time integral and contact area.

Findings: The type of shoe had distinct effects on the distribution of plantar pressure. The double rocker-modified shoe particularly impacted forefoot pressure during the terminal stance phase of the gait cycle. Peak plantar pressure at the forefoot increased by 5.37% with double rocker-modified shoes compared to relasting shoes. Both double rocker-modified and prefabricated shoes reduced midfoot peak plantar pressure by 8.73% and 11.97%, respectively. Similar trends were observed at the hindfoot, with reductions in peak plantar pressure. However, there were no significant differences in regional peak plantar pressure between the types of shoes except for the central forefoot (F (1.61, 22.5) = 5.69, p = 0.014).

Conclusion: There were no significant differences in the effectiveness of prefabricated, relasting, and double rocker-modified shoes in reducing and redistributing peak plantar pressure in high-risk areas of chronic Charcot foot.

求助全文
通过发布文献求助,成功后即可免费获取论文全文。 去求助
来源期刊
Canadian Prosthetics  Orthotics Journal
Canadian Prosthetics Orthotics Journal Medicine-Rehabilitation
CiteScore
1.00
自引率
0.00%
发文量
9
审稿时长
8 weeks
×
引用
GB/T 7714-2015
复制
MLA
复制
APA
复制
导出至
BibTeX EndNote RefMan NoteFirst NoteExpress
×
提示
您的信息不完整,为了账户安全,请先补充。
现在去补充
×
提示
您因"违规操作"
具体请查看互助需知
我知道了
×
提示
确定
请完成安全验证×
copy
已复制链接
快去分享给好友吧!
我知道了
右上角分享
点击右上角分享
0
联系我们:info@booksci.cn Book学术提供免费学术资源搜索服务,方便国内外学者检索中英文文献。致力于提供最便捷和优质的服务体验。 Copyright © 2023 布克学术 All rights reserved.
京ICP备2023020795号-1
ghs 京公网安备 11010802042870号
Book学术文献互助
Book学术文献互助群
群 号:604180095
Book学术官方微信