帮助智障和失明人士在室内旅行时寻找房间目的地的技术系统:案例系列研究。

Q2 Medicine
Giulio E Lancioni, Gloria Alberti, Chiara Filippini, Nirbhay N Singh, Mark F O'Reilly, Jeff Sigafoos, Isabella Orlando, Lorenzo Desideri
{"title":"帮助智障和失明人士在室内旅行时寻找房间目的地的技术系统:案例系列研究。","authors":"Giulio E Lancioni, Gloria Alberti, Chiara Filippini, Nirbhay N Singh, Mark F O'Reilly, Jeff Sigafoos, Isabella Orlando, Lorenzo Desideri","doi":"10.2196/65680","DOIUrl":null,"url":null,"abstract":"<p><strong>Background: </strong>People with severe or profound intellectual disability and visual impairment tend to have serious problems in orientation and mobility and need assistance for their indoor traveling. The use of technology solutions may be critically important to help them curb those problems and achieve a level of independence.</p><p><strong>Objective: </strong>This study aimed to assess a new technology system to help people with severe to profound intellectual disability and blindness find room destinations during indoor traveling.</p><p><strong>Methods: </strong>A total of 7 adults were included in the study. The technology system entailed a barcode reader, a series of barcodes marking the room entrances, a smartphone, and a special app that controlled the presentation of different messages (instructions) for the participants. The messages varied depending on whether the participants were (1) in an area between room entrances, (2) in correspondence with a room entrance to bypass, or (3) in correspondence with a room entrance representing the destination to enter. The intervention with the technology system was implemented according to a nonconcurrent multiple baseline design across participants. Sessions included 7 traveling trials, in each of which the participants were to reach and enter a specific room (1 of the 7 or 9 available) to deliver an object they had carried (transported) during their traveling.</p><p><strong>Results: </strong>The participants' mean frequency of traveling trials completed correctly was between zero and 2 per session during the baseline (without the system). Their mean frequency increased to between about 6 and nearly 7 per session during the intervention (with the system).</p><p><strong>Conclusions: </strong>The findings suggest that the new technology system might be a useful support tool for people with severe to profound intellectual disability and blindness.</p>","PeriodicalId":36224,"journal":{"name":"JMIR Rehabilitation and Assistive Technologies","volume":"11 ","pages":"e65680"},"PeriodicalIF":0.0000,"publicationDate":"2024-11-27","publicationTypes":"Journal Article","fieldsOfStudy":null,"isOpenAccess":false,"openAccessPdf":"https://www.ncbi.nlm.nih.gov/pmc/articles/PMC11635321/pdf/","citationCount":"0","resultStr":"{\"title\":\"A Technology System to Help People With Intellectual Disability and Blindness Find Room Destinations During Indoor Traveling: Case Series Study.\",\"authors\":\"Giulio E Lancioni, Gloria Alberti, Chiara Filippini, Nirbhay N Singh, Mark F O'Reilly, Jeff Sigafoos, Isabella Orlando, Lorenzo Desideri\",\"doi\":\"10.2196/65680\",\"DOIUrl\":null,\"url\":null,\"abstract\":\"<p><strong>Background: </strong>People with severe or profound intellectual disability and visual impairment tend to have serious problems in orientation and mobility and need assistance for their indoor traveling. The use of technology solutions may be critically important to help them curb those problems and achieve a level of independence.</p><p><strong>Objective: </strong>This study aimed to assess a new technology system to help people with severe to profound intellectual disability and blindness find room destinations during indoor traveling.</p><p><strong>Methods: </strong>A total of 7 adults were included in the study. The technology system entailed a barcode reader, a series of barcodes marking the room entrances, a smartphone, and a special app that controlled the presentation of different messages (instructions) for the participants. The messages varied depending on whether the participants were (1) in an area between room entrances, (2) in correspondence with a room entrance to bypass, or (3) in correspondence with a room entrance representing the destination to enter. The intervention with the technology system was implemented according to a nonconcurrent multiple baseline design across participants. Sessions included 7 traveling trials, in each of which the participants were to reach and enter a specific room (1 of the 7 or 9 available) to deliver an object they had carried (transported) during their traveling.</p><p><strong>Results: </strong>The participants' mean frequency of traveling trials completed correctly was between zero and 2 per session during the baseline (without the system). Their mean frequency increased to between about 6 and nearly 7 per session during the intervention (with the system).</p><p><strong>Conclusions: </strong>The findings suggest that the new technology system might be a useful support tool for people with severe to profound intellectual disability and blindness.</p>\",\"PeriodicalId\":36224,\"journal\":{\"name\":\"JMIR Rehabilitation and Assistive Technologies\",\"volume\":\"11 \",\"pages\":\"e65680\"},\"PeriodicalIF\":0.0000,\"publicationDate\":\"2024-11-27\",\"publicationTypes\":\"Journal Article\",\"fieldsOfStudy\":null,\"isOpenAccess\":false,\"openAccessPdf\":\"https://www.ncbi.nlm.nih.gov/pmc/articles/PMC11635321/pdf/\",\"citationCount\":\"0\",\"resultStr\":null,\"platform\":\"Semanticscholar\",\"paperid\":null,\"PeriodicalName\":\"JMIR Rehabilitation and Assistive Technologies\",\"FirstCategoryId\":\"1085\",\"ListUrlMain\":\"https://doi.org/10.2196/65680\",\"RegionNum\":0,\"RegionCategory\":null,\"ArticlePicture\":[],\"TitleCN\":null,\"AbstractTextCN\":null,\"PMCID\":null,\"EPubDate\":\"\",\"PubModel\":\"\",\"JCR\":\"Q2\",\"JCRName\":\"Medicine\",\"Score\":null,\"Total\":0}","platform":"Semanticscholar","paperid":null,"PeriodicalName":"JMIR Rehabilitation and Assistive Technologies","FirstCategoryId":"1085","ListUrlMain":"https://doi.org/10.2196/65680","RegionNum":0,"RegionCategory":null,"ArticlePicture":[],"TitleCN":null,"AbstractTextCN":null,"PMCID":null,"EPubDate":"","PubModel":"","JCR":"Q2","JCRName":"Medicine","Score":null,"Total":0}
引用次数: 0

摘要

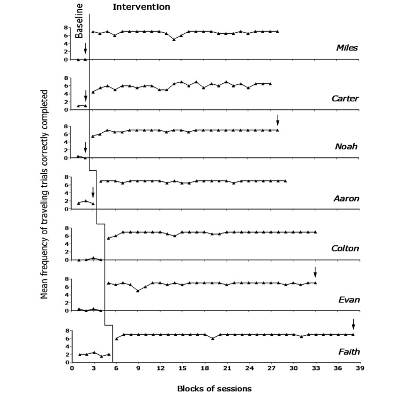
背景:重度或极重度智障和视障人士往往在定向和移动方面存在严重问题,在室内出行时需要他人协助。要帮助他们克服这些问题并实现一定程度的自立,科技解决方案的使用可能至关重要:本研究旨在评估一种新的技术系统,以帮助重度至极重度智障和失明人士在室内旅行时找到房间目的地:方法:共有 7 名成年人参与了研究。该技术系统包括一个条形码阅读器、一系列标记房间入口的条形码、一部智能手机和一个特殊的应用程序,该应用程序可控制为参与者呈现不同的信息(说明)。这些信息根据参与者是(1)处于房间入口之间的区域,(2)与要绕过的房间入口相对应,还是(3)与代表要进入的目的地的房间入口相对应而有所不同。技术系统的干预是根据非并发多基线设计对参与者实施的。每个环节包括 7 次旅行试验,在每次试验中,参与者都要到达并进入一个特定的房间(7 个或 9 个房间中的 1 个),以运送他们在旅行过程中携带(运送)的物品:结果:在基线期(未使用该系统),参与者每次正确完成旅行试验的平均频率在 0 到 2 次之间。在干预期间(使用该系统),他们的平均次数增加到每次约 6 到近 7 次:研究结果表明,新技术系统对于重度到极重度智障和失明人士来说可能是一种有用的辅助工具。
本文章由计算机程序翻译,如有差异,请以英文原文为准。

A Technology System to Help People With Intellectual Disability and Blindness Find Room Destinations During Indoor Traveling: Case Series Study.

A Technology System to Help People With Intellectual Disability and Blindness Find Room Destinations During Indoor Traveling: Case Series Study.

A Technology System to Help People With Intellectual Disability and Blindness Find Room Destinations During Indoor Traveling: Case Series Study.

Background: People with severe or profound intellectual disability and visual impairment tend to have serious problems in orientation and mobility and need assistance for their indoor traveling. The use of technology solutions may be critically important to help them curb those problems and achieve a level of independence.

Objective: This study aimed to assess a new technology system to help people with severe to profound intellectual disability and blindness find room destinations during indoor traveling.

Methods: A total of 7 adults were included in the study. The technology system entailed a barcode reader, a series of barcodes marking the room entrances, a smartphone, and a special app that controlled the presentation of different messages (instructions) for the participants. The messages varied depending on whether the participants were (1) in an area between room entrances, (2) in correspondence with a room entrance to bypass, or (3) in correspondence with a room entrance representing the destination to enter. The intervention with the technology system was implemented according to a nonconcurrent multiple baseline design across participants. Sessions included 7 traveling trials, in each of which the participants were to reach and enter a specific room (1 of the 7 or 9 available) to deliver an object they had carried (transported) during their traveling.

Results: The participants' mean frequency of traveling trials completed correctly was between zero and 2 per session during the baseline (without the system). Their mean frequency increased to between about 6 and nearly 7 per session during the intervention (with the system).

Conclusions: The findings suggest that the new technology system might be a useful support tool for people with severe to profound intellectual disability and blindness.

求助全文
通过发布文献求助,成功后即可免费获取论文全文。 去求助
来源期刊
CiteScore
4.20
自引率
0.00%
发文量
31
审稿时长
12 weeks
×
引用
GB/T 7714-2015
复制
MLA
复制
APA
复制
导出至
BibTeX EndNote RefMan NoteFirst NoteExpress
×
提示
您的信息不完整,为了账户安全,请先补充。
现在去补充
×
提示
您因"违规操作"
具体请查看互助需知
我知道了
×
提示
确定
请完成安全验证×
copy
已复制链接
快去分享给好友吧!
我知道了
右上角分享
点击右上角分享
0
联系我们:info@booksci.cn Book学术提供免费学术资源搜索服务,方便国内外学者检索中英文文献。致力于提供最便捷和优质的服务体验。 Copyright © 2023 布克学术 All rights reserved.
京ICP备2023020795号-1
ghs 京公网安备 11010802042870号
Book学术文献互助
Book学术文献互助群
群 号:604180095
Book学术官方微信