PMS2 基因的剪接分析:探索 PMS2 相关林奇综合征的替代分子机制。

IF 2.5 Q3 GENETICS & HEREDITY
Cătălin Vasile Munteanu, Cătălin Marian, Adela Chiriță-Emandi, Maria Puiu, Adrian Pavel Trifa
{"title":"PMS2 基因的剪接分析:探索 PMS2 相关林奇综合征的替代分子机制。","authors":"Cătălin Vasile Munteanu, Cătălin Marian, Adela Chiriță-Emandi, Maria Puiu, Adrian Pavel Trifa","doi":"10.1186/s12863-024-01281-3","DOIUrl":null,"url":null,"abstract":"<p><p>Lynch syndrome (LS) is one of the most common hereditary cancer syndrome in human populations, associated with germline variants in MLH1, MSH2/EPCAM, MSH6 and PMS2 genes. The advent of next generation sequencing has proven a significant impact in germline variant detection in the causative genes; however, a large proportion of patients with clinical criteria still receive uncertain or negative results. PMS2 is the least frequent reported gene, associated with up to 15% of LS cases with late-onset disease and low penetrance phenotype; however, the proportion of PMS2-LS cases is considered to be highly underestimated. In this context, our analysis aimed to improve the current diagnostic yield by focusing on missense and intronic PMS2 variants available in public clinical databases (ClinVar, LOVD). We performed an in silico assessment of the wild-type DNA sequence and the reported genetic variants, employing splicing bioinformatics tools known for their effectiveness in other genes. Splicing variants were predicted in silico and using GTEx short-read RNA expression data. Out of the 2384 missense variants discovered, 90% were classified with uncertain significance (VUS). 4.9% of missense variants were shown to have a potential splicing consequence (DS > 0.2) using SpliceAI. As described in the original publication, SpliceAI-visual was proven effective in annotation of short intronic variants (< 50 bp). Four short intronic variants were identified using SpliceAI-visual as potentially splicing disturbing, in spite of using a lower threshold (DS > 0.1). Exons 2, 3, 4, 5, 6, 7, 8, 11, 12 and 14 were consistently predicted in at least three out of eight software with weak canonical splice sites. Additionally, we noted that both Exonic Splicing Enhancers (ESEs) and Exonic Splicing Silencers (ESSs) contribute significantly to alternative splicing and exonic selection in PMS2 gene. Specifically, ESE motifs were consistently more abundant in highly expressed exons 5, 11 and 14, while ESS motifs played a fundamental role in exons 6, 7 and 10. Computational analysis performed in our study serves as a valuable filtering step for guiding further RNA experiments. Additional functional data is necessary to validate our findings.</p>","PeriodicalId":72427,"journal":{"name":"BMC genomic data","volume":"25 1","pages":"100"},"PeriodicalIF":2.5000,"publicationDate":"2024-11-27","publicationTypes":"Journal Article","fieldsOfStudy":null,"isOpenAccess":false,"openAccessPdf":"https://www.ncbi.nlm.nih.gov/pmc/articles/PMC11600730/pdf/","citationCount":"0","resultStr":"{\"title\":\"In silico splicing analysis of the PMS2 gene: exploring alternative molecular mechanisms in PMS2-associated Lynch syndrome.\",\"authors\":\"Cătălin Vasile Munteanu, Cătălin Marian, Adela Chiriță-Emandi, Maria Puiu, Adrian Pavel Trifa\",\"doi\":\"10.1186/s12863-024-01281-3\",\"DOIUrl\":null,\"url\":null,\"abstract\":\"<p><p>Lynch syndrome (LS) is one of the most common hereditary cancer syndrome in human populations, associated with germline variants in MLH1, MSH2/EPCAM, MSH6 and PMS2 genes. The advent of next generation sequencing has proven a significant impact in germline variant detection in the causative genes; however, a large proportion of patients with clinical criteria still receive uncertain or negative results. PMS2 is the least frequent reported gene, associated with up to 15% of LS cases with late-onset disease and low penetrance phenotype; however, the proportion of PMS2-LS cases is considered to be highly underestimated. In this context, our analysis aimed to improve the current diagnostic yield by focusing on missense and intronic PMS2 variants available in public clinical databases (ClinVar, LOVD). We performed an in silico assessment of the wild-type DNA sequence and the reported genetic variants, employing splicing bioinformatics tools known for their effectiveness in other genes. Splicing variants were predicted in silico and using GTEx short-read RNA expression data. Out of the 2384 missense variants discovered, 90% were classified with uncertain significance (VUS). 4.9% of missense variants were shown to have a potential splicing consequence (DS > 0.2) using SpliceAI. As described in the original publication, SpliceAI-visual was proven effective in annotation of short intronic variants (< 50 bp). Four short intronic variants were identified using SpliceAI-visual as potentially splicing disturbing, in spite of using a lower threshold (DS > 0.1). Exons 2, 3, 4, 5, 6, 7, 8, 11, 12 and 14 were consistently predicted in at least three out of eight software with weak canonical splice sites. Additionally, we noted that both Exonic Splicing Enhancers (ESEs) and Exonic Splicing Silencers (ESSs) contribute significantly to alternative splicing and exonic selection in PMS2 gene. Specifically, ESE motifs were consistently more abundant in highly expressed exons 5, 11 and 14, while ESS motifs played a fundamental role in exons 6, 7 and 10. Computational analysis performed in our study serves as a valuable filtering step for guiding further RNA experiments. Additional functional data is necessary to validate our findings.</p>\",\"PeriodicalId\":72427,\"journal\":{\"name\":\"BMC genomic data\",\"volume\":\"25 1\",\"pages\":\"100\"},\"PeriodicalIF\":2.5000,\"publicationDate\":\"2024-11-27\",\"publicationTypes\":\"Journal Article\",\"fieldsOfStudy\":null,\"isOpenAccess\":false,\"openAccessPdf\":\"https://www.ncbi.nlm.nih.gov/pmc/articles/PMC11600730/pdf/\",\"citationCount\":\"0\",\"resultStr\":null,\"platform\":\"Semanticscholar\",\"paperid\":null,\"PeriodicalName\":\"BMC genomic data\",\"FirstCategoryId\":\"1085\",\"ListUrlMain\":\"https://doi.org/10.1186/s12863-024-01281-3\",\"RegionNum\":0,\"RegionCategory\":null,\"ArticlePicture\":[],\"TitleCN\":null,\"AbstractTextCN\":null,\"PMCID\":null,\"EPubDate\":\"\",\"PubModel\":\"\",\"JCR\":\"Q3\",\"JCRName\":\"GENETICS & HEREDITY\",\"Score\":null,\"Total\":0}","platform":"Semanticscholar","paperid":null,"PeriodicalName":"BMC genomic data","FirstCategoryId":"1085","ListUrlMain":"https://doi.org/10.1186/s12863-024-01281-3","RegionNum":0,"RegionCategory":null,"ArticlePicture":[],"TitleCN":null,"AbstractTextCN":null,"PMCID":null,"EPubDate":"","PubModel":"","JCR":"Q3","JCRName":"GENETICS & HEREDITY","Score":null,"Total":0}
引用次数: 0

摘要

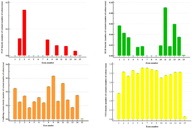
林奇综合征(LS)是人类最常见的遗传性癌症综合征之一,与 MLH1、MSH2/EPCAM、MSH6 和 PMS2 基因的种系变异有关。事实证明,新一代测序技术的出现对致病基因的种系变异检测产生了重大影响;但仍有很大一部分符合临床标准的患者得到了不确定或阴性的结果。PMS2是报道最少的基因,与多达15%的晚发性疾病和低渗透表型的LS病例有关;然而,PMS2-LS病例的比例被认为被严重低估了。在这种情况下,我们的分析旨在通过关注公共临床数据库(ClinVar、LOVD)中的错义和内含 PMS2 变异来提高目前的诊断率。我们利用剪接生物信息学工具,对野生型 DNA 序列和报告的基因变异进行了硅学评估,这些工具因其在其他基因中的有效性而闻名。我们利用 GTEx 短读取 RNA 表达数据对剪接变异进行了预测。在发现的 2384 个错义变异中,90% 被归类为意义不确定(VUS)。利用 SpliceAI,4.9% 的错义变异被证明具有潜在的剪接后果(DS > 0.2)。正如最初发表的文章所述,SpliceAI-visual 被证明能有效注释短内含子变异 ( 0.1)。在八个软件中,至少有三个软件一致预测出了外显子 2、3、4、5、6、7、8、11、12 和 14 的弱规范剪接位点。此外,我们还注意到,外显子剪接增强子(ESE)和外显子剪接沉默子(ESS)对 PMS2 基因的替代剪接和外显子选择有重要作用。具体而言,ESE基团在高表达的第5、11和14号外显子中一直较为丰富,而ESS基团则在第6、7和10号外显子中发挥着重要作用。我们研究中进行的计算分析是指导进一步核糖核酸实验的重要筛选步骤。要验证我们的发现,还需要更多的功能数据。
本文章由计算机程序翻译,如有差异,请以英文原文为准。

In silico splicing analysis of the PMS2 gene: exploring alternative molecular mechanisms in PMS2-associated Lynch syndrome.

In silico splicing analysis of the PMS2 gene: exploring alternative molecular mechanisms in PMS2-associated Lynch syndrome.

In silico splicing analysis of the PMS2 gene: exploring alternative molecular mechanisms in PMS2-associated Lynch syndrome.

In silico splicing analysis of the PMS2 gene: exploring alternative molecular mechanisms in PMS2-associated Lynch syndrome.

Lynch syndrome (LS) is one of the most common hereditary cancer syndrome in human populations, associated with germline variants in MLH1, MSH2/EPCAM, MSH6 and PMS2 genes. The advent of next generation sequencing has proven a significant impact in germline variant detection in the causative genes; however, a large proportion of patients with clinical criteria still receive uncertain or negative results. PMS2 is the least frequent reported gene, associated with up to 15% of LS cases with late-onset disease and low penetrance phenotype; however, the proportion of PMS2-LS cases is considered to be highly underestimated. In this context, our analysis aimed to improve the current diagnostic yield by focusing on missense and intronic PMS2 variants available in public clinical databases (ClinVar, LOVD). We performed an in silico assessment of the wild-type DNA sequence and the reported genetic variants, employing splicing bioinformatics tools known for their effectiveness in other genes. Splicing variants were predicted in silico and using GTEx short-read RNA expression data. Out of the 2384 missense variants discovered, 90% were classified with uncertain significance (VUS). 4.9% of missense variants were shown to have a potential splicing consequence (DS > 0.2) using SpliceAI. As described in the original publication, SpliceAI-visual was proven effective in annotation of short intronic variants (< 50 bp). Four short intronic variants were identified using SpliceAI-visual as potentially splicing disturbing, in spite of using a lower threshold (DS > 0.1). Exons 2, 3, 4, 5, 6, 7, 8, 11, 12 and 14 were consistently predicted in at least three out of eight software with weak canonical splice sites. Additionally, we noted that both Exonic Splicing Enhancers (ESEs) and Exonic Splicing Silencers (ESSs) contribute significantly to alternative splicing and exonic selection in PMS2 gene. Specifically, ESE motifs were consistently more abundant in highly expressed exons 5, 11 and 14, while ESS motifs played a fundamental role in exons 6, 7 and 10. Computational analysis performed in our study serves as a valuable filtering step for guiding further RNA experiments. Additional functional data is necessary to validate our findings.

求助全文
通过发布文献求助,成功后即可免费获取论文全文。 去求助
来源期刊
CiteScore
4.90
自引率
0.00%
发文量
0
×
引用
GB/T 7714-2015
复制
MLA
复制
APA
复制
导出至
BibTeX EndNote RefMan NoteFirst NoteExpress
×
提示
您的信息不完整,为了账户安全,请先补充。
现在去补充
×
提示
您因"违规操作"
具体请查看互助需知
我知道了
×
提示
确定
请完成安全验证×
copy
已复制链接
快去分享给好友吧!
我知道了
右上角分享
点击右上角分享
0
联系我们:info@booksci.cn Book学术提供免费学术资源搜索服务,方便国内外学者检索中英文文献。致力于提供最便捷和优质的服务体验。 Copyright © 2023 布克学术 All rights reserved.
京ICP备2023020795号-1
ghs 京公网安备 11010802042870号
Book学术文献互助
Book学术文献互助群
群 号:604180095
Book学术官方微信