通过 PiCCO 和 PAC 评估接受 Impella CP 治疗的患者的血液动力学参数。

IF 1.4 Q3 CRITICAL CARE MEDICINE
Journal of the Intensive Care Society Pub Date : 2024-11-25 eCollection Date: 2025-02-01 DOI:10.1177/17511437241300909
Dominik Schmitt, Andreas Schneider, Björn Lengenfelder, Martin Wagner, Daniel Patschan, Benjamin Sasko, Georg Ertl, Stefan Frantz, Oliver Ritter, Dirk Weismann
{"title":"通过 PiCCO 和 PAC 评估接受 Impella CP 治疗的患者的血液动力学参数。","authors":"Dominik Schmitt, Andreas Schneider, Björn Lengenfelder, Martin Wagner, Daniel Patschan, Benjamin Sasko, Georg Ertl, Stefan Frantz, Oliver Ritter, Dirk Weismann","doi":"10.1177/17511437241300909","DOIUrl":null,"url":null,"abstract":"<p><p>In 28 patients supported by an Impella pump (Impella CP, Abiomed Inc.<sup>®</sup>, Danvers, MA), hemodynamic measurements by PiCCO (PULSION Medical Systems SE<sup>®</sup>, Feldkirchen, Germany) and pulmonary artery catheter (PAC or Swan-Ganz Catheter; Edwards Lifescience<sup>®</sup>, Unterschleissheim, Germany) were compared. There was a significant positive correlation of cardiac output (CO; <i>r</i> <sup>2</sup> = 0.917, <i>p</i> < 0.001), systemic vascular resistance index (SVRI; <i>r</i> <sup>2</sup> = 0.904, <i>p</i> < 0.001), stroke volume index (SI; <i>r</i> <sup>2</sup> = 0.909, <i>p</i> < 0.001) and left ventricular work index (LCWI; <i>r</i> <sup>2</sup> = 0.689, <i>p</i> < 0.001) in PiCCO and PAC measurements under Impella CP support. We conclude, that in patients with left-ventricular Impella support, hemodynamics may be assessentd by PiCCO or PAC.</p>","PeriodicalId":39161,"journal":{"name":"Journal of the Intensive Care Society","volume":" ","pages":"108-111"},"PeriodicalIF":1.4000,"publicationDate":"2024-11-25","publicationTypes":"Journal Article","fieldsOfStudy":null,"isOpenAccess":false,"openAccessPdf":"https://www.ncbi.nlm.nih.gov/pmc/articles/PMC11586927/pdf/","citationCount":"0","resultStr":"{\"title\":\"Assessment of hemodynamic parameters by PiCCO and PAC in patients treated with the Impella CP.\",\"authors\":\"Dominik Schmitt, Andreas Schneider, Björn Lengenfelder, Martin Wagner, Daniel Patschan, Benjamin Sasko, Georg Ertl, Stefan Frantz, Oliver Ritter, Dirk Weismann\",\"doi\":\"10.1177/17511437241300909\",\"DOIUrl\":null,\"url\":null,\"abstract\":\"<p><p>In 28 patients supported by an Impella pump (Impella CP, Abiomed Inc.<sup>®</sup>, Danvers, MA), hemodynamic measurements by PiCCO (PULSION Medical Systems SE<sup>®</sup>, Feldkirchen, Germany) and pulmonary artery catheter (PAC or Swan-Ganz Catheter; Edwards Lifescience<sup>®</sup>, Unterschleissheim, Germany) were compared. There was a significant positive correlation of cardiac output (CO; <i>r</i> <sup>2</sup> = 0.917, <i>p</i> < 0.001), systemic vascular resistance index (SVRI; <i>r</i> <sup>2</sup> = 0.904, <i>p</i> < 0.001), stroke volume index (SI; <i>r</i> <sup>2</sup> = 0.909, <i>p</i> < 0.001) and left ventricular work index (LCWI; <i>r</i> <sup>2</sup> = 0.689, <i>p</i> < 0.001) in PiCCO and PAC measurements under Impella CP support. We conclude, that in patients with left-ventricular Impella support, hemodynamics may be assessentd by PiCCO or PAC.</p>\",\"PeriodicalId\":39161,\"journal\":{\"name\":\"Journal of the Intensive Care Society\",\"volume\":\" \",\"pages\":\"108-111\"},\"PeriodicalIF\":1.4000,\"publicationDate\":\"2024-11-25\",\"publicationTypes\":\"Journal Article\",\"fieldsOfStudy\":null,\"isOpenAccess\":false,\"openAccessPdf\":\"https://www.ncbi.nlm.nih.gov/pmc/articles/PMC11586927/pdf/\",\"citationCount\":\"0\",\"resultStr\":null,\"platform\":\"Semanticscholar\",\"paperid\":null,\"PeriodicalName\":\"Journal of the Intensive Care Society\",\"FirstCategoryId\":\"1085\",\"ListUrlMain\":\"https://doi.org/10.1177/17511437241300909\",\"RegionNum\":0,\"RegionCategory\":null,\"ArticlePicture\":[],\"TitleCN\":null,\"AbstractTextCN\":null,\"PMCID\":null,\"EPubDate\":\"2025/2/1 0:00:00\",\"PubModel\":\"eCollection\",\"JCR\":\"Q3\",\"JCRName\":\"CRITICAL CARE MEDICINE\",\"Score\":null,\"Total\":0}","platform":"Semanticscholar","paperid":null,"PeriodicalName":"Journal of the Intensive Care Society","FirstCategoryId":"1085","ListUrlMain":"https://doi.org/10.1177/17511437241300909","RegionNum":0,"RegionCategory":null,"ArticlePicture":[],"TitleCN":null,"AbstractTextCN":null,"PMCID":null,"EPubDate":"2025/2/1 0:00:00","PubModel":"eCollection","JCR":"Q3","JCRName":"CRITICAL CARE MEDICINE","Score":null,"Total":0}
引用次数: 0

摘要

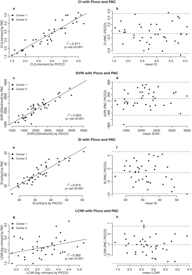
在使用 Impella 泵(Impella CP,Abiomed Inc.®,马萨诸塞州丹佛斯)支持的 28 名患者中,比较了 PiCCO(PULSION Medical Systems SE®,德国费尔德基兴)和肺动脉导管(PAC 或 Swan-Ganz 导管;Edwards Lifescience®,德国 Unterschleissheim)的血液动力学测量结果。心输出量(CO;r 2 = 0.917,P r 2 = 0.904,P r 2 = 0.909,P r 2 = 0.689,P
本文章由计算机程序翻译,如有差异,请以英文原文为准。

Assessment of hemodynamic parameters by PiCCO and PAC in patients treated with the Impella CP.

Assessment of hemodynamic parameters by PiCCO and PAC in patients treated with the Impella CP.

Assessment of hemodynamic parameters by PiCCO and PAC in patients treated with the Impella CP.

Assessment of hemodynamic parameters by PiCCO and PAC in patients treated with the Impella CP.

In 28 patients supported by an Impella pump (Impella CP, Abiomed Inc.®, Danvers, MA), hemodynamic measurements by PiCCO (PULSION Medical Systems SE®, Feldkirchen, Germany) and pulmonary artery catheter (PAC or Swan-Ganz Catheter; Edwards Lifescience®, Unterschleissheim, Germany) were compared. There was a significant positive correlation of cardiac output (CO; r 2 = 0.917, p < 0.001), systemic vascular resistance index (SVRI; r 2 = 0.904, p < 0.001), stroke volume index (SI; r 2 = 0.909, p < 0.001) and left ventricular work index (LCWI; r 2 = 0.689, p < 0.001) in PiCCO and PAC measurements under Impella CP support. We conclude, that in patients with left-ventricular Impella support, hemodynamics may be assessentd by PiCCO or PAC.

求助全文
通过发布文献求助,成功后即可免费获取论文全文。 去求助
来源期刊
Journal of the Intensive Care Society
Journal of the Intensive Care Society Nursing-Critical Care Nursing
CiteScore
4.40
自引率
0.00%
发文量
45
期刊介绍: The Journal of the Intensive Care Society (JICS) is an international, peer-reviewed journal that strives to disseminate clinically and scientifically relevant peer-reviewed research, evaluation, experience and opinion to all staff working in the field of intensive care medicine. Our aim is to inform clinicians on the provision of best practice and provide direction for innovative scientific research in what is one of the broadest and most multi-disciplinary healthcare specialties. While original articles and systematic reviews lie at the heart of the Journal, we also value and recognise the need for opinion articles, case reports and correspondence to guide clinically and scientifically important areas in which conclusive evidence is lacking. The style of the Journal is based on its founding mission statement to ‘instruct, inform and entertain by encompassing the best aspects of both tabloid and broadsheet''.
×
引用
GB/T 7714-2015
复制
MLA
复制
APA
复制
导出至
BibTeX EndNote RefMan NoteFirst NoteExpress
×
提示
您的信息不完整,为了账户安全,请先补充。
现在去补充
×
提示
您因"违规操作"
具体请查看互助需知
我知道了
×
提示
确定
请完成安全验证×
copy
已复制链接
快去分享给好友吧!
我知道了
右上角分享
点击右上角分享
0
联系我们:info@booksci.cn Book学术提供免费学术资源搜索服务,方便国内外学者检索中英文文献。致力于提供最便捷和优质的服务体验。 Copyright © 2023 布克学术 All rights reserved.
京ICP备2023020795号-1
ghs 京公网安备 11010802042870号
Book学术文献互助
Book学术文献互助群
群 号:604180095
Book学术官方微信