在急性呼吸窘迫综合征动物模型中,振荡通气可增强氧合和减少炎症:一项实验研究。

IF 1.9 4区 医学 Q2 ANESTHESIOLOGY
Luiz Alberto Forgiarini Junior , Luiz Felipe Forgiarini , Arthur de Oliveira Paludo , Rodrigo Mariano , Mikael Marcelo de Moraes , Elaine Aparecida Felix , Cristiano Feijó Andrade
{"title":"在急性呼吸窘迫综合征动物模型中,振荡通气可增强氧合和减少炎症:一项实验研究。","authors":"Luiz Alberto Forgiarini Junior ,&nbsp;Luiz Felipe Forgiarini ,&nbsp;Arthur de Oliveira Paludo ,&nbsp;Rodrigo Mariano ,&nbsp;Mikael Marcelo de Moraes ,&nbsp;Elaine Aparecida Felix ,&nbsp;Cristiano Feijó Andrade","doi":"10.1016/j.bjane.2024.844576","DOIUrl":null,"url":null,"abstract":"<div><h3>Background</h3><div>This study aims to compare the use of variable mechanical ventilation with conventional mechanical ventilation in a porcine model of ARDS induced by oleic acid.</div></div><div><h3>Methods</h3><div>The animals were divided into two groups (n = 6), Conventional Ventilation (CO) and variable ventilation with Bi-Oscillatory PEEP (BiPEEP). ARDS was induced using intravenous oleic acid (0.15 mL.kg<sup>−1</sup>). After, the animals were evaluated during 180 minutes and, measurements were taken every 30 minutes until the end of the observation period. The animals in the CO group were then ventilated under controlled pressure (Tidal Volume target at 6 mL.kg<sup>−1</sup>) and 5 cm H<sub>2</sub>O PEEP. Variable ventilation was characterized by the oscillation of PEEP from 5 to 10 cm H<sub>2</sub>O every 4 respiratory cycles. Ventilatory, hemodynamic parameters, oxidative stress, antioxidant enzymes, Interleukin 8 (IL8) and 17-a (IL17a) were evaluated. Histological samples were collected from the upper and the lower portion of the left lungs and analyzed separately.</div></div><div><h3>Results</h3><div>BiPEEP improved lung compliance and PaO<sub>2</sub> in comparison to control (p &lt; 0.05). The levels of oxidative stress and antioxidant enzymes showed no significant difference. There was no difference in IL17a between groups. IL8 was significantly increased in the lung base of CO group in relation to BiPEEP group and it was reduced in the apex of BiPEEP group in comparsion to CO group. The BiPEEP group showed less changes in histopathological patterns.</div></div><div><h3>Conclusion</h3><div>Variable ventilation with bi-oscillatory level of PEEP demonstrated a potential ventilatory strategy for lung protection in an experimental model of ARDS.</div></div>","PeriodicalId":32356,"journal":{"name":"Brazilian Journal of Anesthesiology","volume":"75 1","pages":"Article 844576"},"PeriodicalIF":1.9000,"publicationDate":"2025-01-01","publicationTypes":"Journal Article","fieldsOfStudy":null,"isOpenAccess":false,"openAccessPdf":"https://www.ncbi.nlm.nih.gov/pmc/articles/PMC11731209/pdf/","citationCount":"0","resultStr":"{\"title\":\"Oscillatory ventilation enhances oxygenation and reduces inflammation in an animal model of acute respiratory distress syndrome: an experimental study\",\"authors\":\"Luiz Alberto Forgiarini Junior ,&nbsp;Luiz Felipe Forgiarini ,&nbsp;Arthur de Oliveira Paludo ,&nbsp;Rodrigo Mariano ,&nbsp;Mikael Marcelo de Moraes ,&nbsp;Elaine Aparecida Felix ,&nbsp;Cristiano Feijó Andrade\",\"doi\":\"10.1016/j.bjane.2024.844576\",\"DOIUrl\":null,\"url\":null,\"abstract\":\"<div><h3>Background</h3><div>This study aims to compare the use of variable mechanical ventilation with conventional mechanical ventilation in a porcine model of ARDS induced by oleic acid.</div></div><div><h3>Methods</h3><div>The animals were divided into two groups (n = 6), Conventional Ventilation (CO) and variable ventilation with Bi-Oscillatory PEEP (BiPEEP). ARDS was induced using intravenous oleic acid (0.15 mL.kg<sup>−1</sup>). After, the animals were evaluated during 180 minutes and, measurements were taken every 30 minutes until the end of the observation period. The animals in the CO group were then ventilated under controlled pressure (Tidal Volume target at 6 mL.kg<sup>−1</sup>) and 5 cm H<sub>2</sub>O PEEP. Variable ventilation was characterized by the oscillation of PEEP from 5 to 10 cm H<sub>2</sub>O every 4 respiratory cycles. Ventilatory, hemodynamic parameters, oxidative stress, antioxidant enzymes, Interleukin 8 (IL8) and 17-a (IL17a) were evaluated. Histological samples were collected from the upper and the lower portion of the left lungs and analyzed separately.</div></div><div><h3>Results</h3><div>BiPEEP improved lung compliance and PaO<sub>2</sub> in comparison to control (p &lt; 0.05). The levels of oxidative stress and antioxidant enzymes showed no significant difference. There was no difference in IL17a between groups. IL8 was significantly increased in the lung base of CO group in relation to BiPEEP group and it was reduced in the apex of BiPEEP group in comparsion to CO group. The BiPEEP group showed less changes in histopathological patterns.</div></div><div><h3>Conclusion</h3><div>Variable ventilation with bi-oscillatory level of PEEP demonstrated a potential ventilatory strategy for lung protection in an experimental model of ARDS.</div></div>\",\"PeriodicalId\":32356,\"journal\":{\"name\":\"Brazilian Journal of Anesthesiology\",\"volume\":\"75 1\",\"pages\":\"Article 844576\"},\"PeriodicalIF\":1.9000,\"publicationDate\":\"2025-01-01\",\"publicationTypes\":\"Journal Article\",\"fieldsOfStudy\":null,\"isOpenAccess\":false,\"openAccessPdf\":\"https://www.ncbi.nlm.nih.gov/pmc/articles/PMC11731209/pdf/\",\"citationCount\":\"0\",\"resultStr\":null,\"platform\":\"Semanticscholar\",\"paperid\":null,\"PeriodicalName\":\"Brazilian Journal of Anesthesiology\",\"FirstCategoryId\":\"3\",\"ListUrlMain\":\"https://www.sciencedirect.com/science/article/pii/S0104001424000988\",\"RegionNum\":4,\"RegionCategory\":\"医学\",\"ArticlePicture\":[],\"TitleCN\":null,\"AbstractTextCN\":null,\"PMCID\":null,\"EPubDate\":\"\",\"PubModel\":\"\",\"JCR\":\"Q2\",\"JCRName\":\"ANESTHESIOLOGY\",\"Score\":null,\"Total\":0}","platform":"Semanticscholar","paperid":null,"PeriodicalName":"Brazilian Journal of Anesthesiology","FirstCategoryId":"3","ListUrlMain":"https://www.sciencedirect.com/science/article/pii/S0104001424000988","RegionNum":4,"RegionCategory":"医学","ArticlePicture":[],"TitleCN":null,"AbstractTextCN":null,"PMCID":null,"EPubDate":"","PubModel":"","JCR":"Q2","JCRName":"ANESTHESIOLOGY","Score":null,"Total":0}
引用次数: 0

摘要

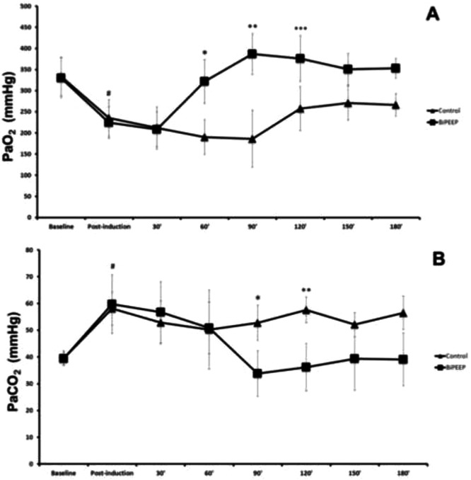
背景:本研究旨在比较可变机械通气与传统机械通气在油酸诱导的猪 ARDS 模型中的应用:本研究旨在比较可变机械通气与传统机械通气在油酸诱导的猪 ARDS 模型中的应用:方法:将动物分为两组(n = 6),即常规通气组(CO)和双振荡 PEEP 可变通气组(BiPEEP)。使用静脉注射油酸(0.15 mL.kg-1)诱导 ARDS。之后,在 180 分钟内对动物进行评估,每隔 30 分钟测量一次,直至观察期结束。CO 组动物随后在可控压力(潮气量目标值为 6 mL.kg-1)和 5 cm H2O PEEP 的条件下通气。可变通气的特点是每 4 个呼吸周期 PEEP 从 5 cm H2O 波动到 10 cm H2O。对通气参数、血液动力学参数、氧化应激、抗氧化酶、白细胞介素 8(IL8)和 17-a(IL17a)进行了评估。从左肺上部和下部采集组织学样本并分别进行分析:结果:与对照组相比,BiPEEP 改善了肺顺应性和 PaO2(P < 0.05)。氧化应激和抗氧化酶水平无显著差异。组间 IL17a 无差异。CO 组与 BiPEEP 组相比,IL8 在肺底部明显升高,而 BiPEEP 组与 CO 组相比,IL8 在肺顶部有所降低。BiPEEP 组的组织病理学模式变化较小:结论:在 ARDS 实验模型中,双振荡 PEEP 水平的可变通气显示了一种潜在的肺保护通气策略。
本文章由计算机程序翻译,如有差异,请以英文原文为准。

Oscillatory ventilation enhances oxygenation and reduces inflammation in an animal model of acute respiratory distress syndrome: an experimental study

Oscillatory ventilation enhances oxygenation and reduces inflammation in an animal model of acute respiratory distress syndrome: an experimental study

Oscillatory ventilation enhances oxygenation and reduces inflammation in an animal model of acute respiratory distress syndrome: an experimental study

Oscillatory ventilation enhances oxygenation and reduces inflammation in an animal model of acute respiratory distress syndrome: an experimental study

Background

This study aims to compare the use of variable mechanical ventilation with conventional mechanical ventilation in a porcine model of ARDS induced by oleic acid.

Methods

The animals were divided into two groups (n = 6), Conventional Ventilation (CO) and variable ventilation with Bi-Oscillatory PEEP (BiPEEP). ARDS was induced using intravenous oleic acid (0.15 mL.kg−1). After, the animals were evaluated during 180 minutes and, measurements were taken every 30 minutes until the end of the observation period. The animals in the CO group were then ventilated under controlled pressure (Tidal Volume target at 6 mL.kg−1) and 5 cm H2O PEEP. Variable ventilation was characterized by the oscillation of PEEP from 5 to 10 cm H2O every 4 respiratory cycles. Ventilatory, hemodynamic parameters, oxidative stress, antioxidant enzymes, Interleukin 8 (IL8) and 17-a (IL17a) were evaluated. Histological samples were collected from the upper and the lower portion of the left lungs and analyzed separately.

Results

BiPEEP improved lung compliance and PaO2 in comparison to control (p < 0.05). The levels of oxidative stress and antioxidant enzymes showed no significant difference. There was no difference in IL17a between groups. IL8 was significantly increased in the lung base of CO group in relation to BiPEEP group and it was reduced in the apex of BiPEEP group in comparsion to CO group. The BiPEEP group showed less changes in histopathological patterns.

Conclusion

Variable ventilation with bi-oscillatory level of PEEP demonstrated a potential ventilatory strategy for lung protection in an experimental model of ARDS.
求助全文
通过发布文献求助,成功后即可免费获取论文全文。 去求助
来源期刊
CiteScore
2.10
自引率
0.00%
发文量
88
审稿时长
68 days
×
引用
GB/T 7714-2015
复制
MLA
复制
APA
复制
导出至
BibTeX EndNote RefMan NoteFirst NoteExpress
×
提示
您的信息不完整,为了账户安全,请先补充。
现在去补充
×
提示
您因"违规操作"
具体请查看互助需知
我知道了
×
提示
确定
请完成安全验证×
copy
已复制链接
快去分享给好友吧!
我知道了
右上角分享
点击右上角分享
0
联系我们:info@booksci.cn Book学术提供免费学术资源搜索服务,方便国内外学者检索中英文文献。致力于提供最便捷和优质的服务体验。 Copyright © 2023 布克学术 All rights reserved.
京ICP备2023020795号-1
ghs 京公网安备 11010802042870号
Book学术文献互助
Book学术文献互助群
群 号:604180095
Book学术官方微信