探讨疼痛强度、疼痛自我管理和疼痛自我效能对剖宫产术后第 5 天疼痛的影响:日本三重县横断面研究。

IF 1.7 Q3 NURSING
European Journal of Midwifery Pub Date : 2024-11-25 eCollection Date: 2024-01-01 DOI:10.18332/ejm/194961
Kyoko Takahashi, Yoko Asaka
{"title":"探讨疼痛强度、疼痛自我管理和疼痛自我效能对剖宫产术后第 5 天疼痛的影响:日本三重县横断面研究。","authors":"Kyoko Takahashi, Yoko Asaka","doi":"10.18332/ejm/194961","DOIUrl":null,"url":null,"abstract":"<p><strong>Introduction: </strong>Pain self-management among women who begin child-rearing after a cesarean section (CS) has not been ascertained. This study aimed to explore the relationship among pain intensity, self-management, and self-efficacy on post-operative day (POD) 5 after CS in postpartum women.</p><p><strong>Methods: </strong>A cross-sectional online survey was conducted on POD5 after CS. Participants were recruited through convenience sampling in Mie Prefecture, Japan, from August 2023 to April 2024. Pain was assessed using a numerical rating scale (NRS), both during activity and at rest, with higher scores indicating greater pain. Pain self-efficacy was assessed using the Japanese version of the Pain Self-Efficacy Questionnaire (PSEQ-J), and pain self-management was investigated. SPSS version 29.0 was used for data analysis, and p<0.05 was set as the significance level.</p><p><strong>Results: </strong>Data from 124 participants (valid response rate: 73.8%) were analyzed. The median (IQR) of the NRS was 4.5 (3-6) during activity and 2.0 (1-4) at rest. There were significant differences according to method of oral analgesia during activity (p<0.049) and at rest (p<0.015). Multiple regression analysis revealed that NRS scores at maximum pain after CS significantly influenced pain on POD5. However, the number of oral analgesics and PSEQ-J scores were not influenced (during activity: R<sup>2</sup>=0.21, p<0.001, at rest: R<sup>2</sup>=0.12, p<0.001).</p><p><strong>Conclusions: </strong>Pain intensity during activity on POD5 was moderate and required pain-management. Acute post-operative pain-management was related to pain intensity on POD5, suggesting the importance of early post-operative pain control. Future studies are needed to examine the association between pain self-efficacy and other psychological factors.</p>","PeriodicalId":32920,"journal":{"name":"European Journal of Midwifery","volume":"8 ","pages":""},"PeriodicalIF":1.7000,"publicationDate":"2024-11-25","publicationTypes":"Journal Article","fieldsOfStudy":null,"isOpenAccess":false,"openAccessPdf":"https://www.ncbi.nlm.nih.gov/pmc/articles/PMC11587602/pdf/","citationCount":"0","resultStr":"{\"title\":\"Exploring the relationship between pain intensity, self-management of pain and pain self-efficacy on post-operative pain on day 5 after cesarean section: A cross-sectional study in Mie prefecture in Japan.\",\"authors\":\"Kyoko Takahashi, Yoko Asaka\",\"doi\":\"10.18332/ejm/194961\",\"DOIUrl\":null,\"url\":null,\"abstract\":\"<p><strong>Introduction: </strong>Pain self-management among women who begin child-rearing after a cesarean section (CS) has not been ascertained. This study aimed to explore the relationship among pain intensity, self-management, and self-efficacy on post-operative day (POD) 5 after CS in postpartum women.</p><p><strong>Methods: </strong>A cross-sectional online survey was conducted on POD5 after CS. Participants were recruited through convenience sampling in Mie Prefecture, Japan, from August 2023 to April 2024. Pain was assessed using a numerical rating scale (NRS), both during activity and at rest, with higher scores indicating greater pain. Pain self-efficacy was assessed using the Japanese version of the Pain Self-Efficacy Questionnaire (PSEQ-J), and pain self-management was investigated. SPSS version 29.0 was used for data analysis, and p<0.05 was set as the significance level.</p><p><strong>Results: </strong>Data from 124 participants (valid response rate: 73.8%) were analyzed. The median (IQR) of the NRS was 4.5 (3-6) during activity and 2.0 (1-4) at rest. There were significant differences according to method of oral analgesia during activity (p<0.049) and at rest (p<0.015). Multiple regression analysis revealed that NRS scores at maximum pain after CS significantly influenced pain on POD5. However, the number of oral analgesics and PSEQ-J scores were not influenced (during activity: R<sup>2</sup>=0.21, p<0.001, at rest: R<sup>2</sup>=0.12, p<0.001).</p><p><strong>Conclusions: </strong>Pain intensity during activity on POD5 was moderate and required pain-management. Acute post-operative pain-management was related to pain intensity on POD5, suggesting the importance of early post-operative pain control. Future studies are needed to examine the association between pain self-efficacy and other psychological factors.</p>\",\"PeriodicalId\":32920,\"journal\":{\"name\":\"European Journal of Midwifery\",\"volume\":\"8 \",\"pages\":\"\"},\"PeriodicalIF\":1.7000,\"publicationDate\":\"2024-11-25\",\"publicationTypes\":\"Journal Article\",\"fieldsOfStudy\":null,\"isOpenAccess\":false,\"openAccessPdf\":\"https://www.ncbi.nlm.nih.gov/pmc/articles/PMC11587602/pdf/\",\"citationCount\":\"0\",\"resultStr\":null,\"platform\":\"Semanticscholar\",\"paperid\":null,\"PeriodicalName\":\"European Journal of Midwifery\",\"FirstCategoryId\":\"1085\",\"ListUrlMain\":\"https://doi.org/10.18332/ejm/194961\",\"RegionNum\":0,\"RegionCategory\":null,\"ArticlePicture\":[],\"TitleCN\":null,\"AbstractTextCN\":null,\"PMCID\":null,\"EPubDate\":\"2024/1/1 0:00:00\",\"PubModel\":\"eCollection\",\"JCR\":\"Q3\",\"JCRName\":\"NURSING\",\"Score\":null,\"Total\":0}","platform":"Semanticscholar","paperid":null,"PeriodicalName":"European Journal of Midwifery","FirstCategoryId":"1085","ListUrlMain":"https://doi.org/10.18332/ejm/194961","RegionNum":0,"RegionCategory":null,"ArticlePicture":[],"TitleCN":null,"AbstractTextCN":null,"PMCID":null,"EPubDate":"2024/1/1 0:00:00","PubModel":"eCollection","JCR":"Q3","JCRName":"NURSING","Score":null,"Total":0}
引用次数: 0

摘要

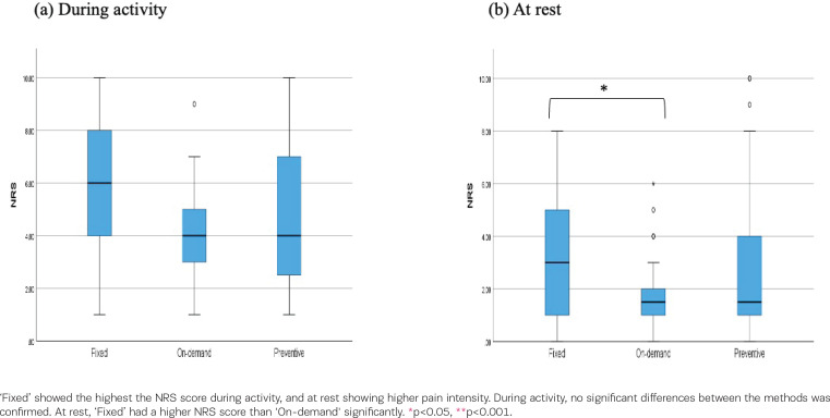
介绍:剖宫产术(CS)后开始育儿的妇女的疼痛自我管理尚未得到证实。本研究旨在探讨产后妇女在剖宫产术后第 5 天(POD)的疼痛强度、自我管理和自我效能之间的关系:方法: 在 CS 术后第 5 天进行了一项横断面在线调查。调查对象于 2023 年 8 月至 2024 年 4 月在日本三重县通过方便抽样的方式招募。采用数字评分量表(NRS)对活动和休息时的疼痛进行评估,得分越高表示疼痛越重。疼痛自我效能采用日语版疼痛自我效能问卷(PSEQ-J)进行评估,并对疼痛的自我管理进行了调查。数据分析采用 SPSS 29.0 版,PResults:分析了 124 名参与者(有效应答率:73.8%)的数据。活动时的 NRS 中位数(IQR)为 4.5(3-6),休息时为 2.0(1-4)。根据活动时口服镇痛剂的方法,两者之间存在明显差异(P2=0.21,P2=0.12,P结论:POD5活动时的疼痛强度为中度,需要止痛治疗。术后急性期的疼痛控制与 POD5 的疼痛强度有关,这表明术后早期疼痛控制的重要性。今后的研究还需要探讨疼痛自我效能感与其他心理因素之间的关系。
本文章由计算机程序翻译,如有差异,请以英文原文为准。

Exploring the relationship between pain intensity, self-management of pain and pain self-efficacy on post-operative pain on day 5 after cesarean section: A cross-sectional study in Mie prefecture in Japan.

Exploring the relationship between pain intensity, self-management of pain and pain self-efficacy on post-operative pain on day 5 after cesarean section: A cross-sectional study in Mie prefecture in Japan.

Exploring the relationship between pain intensity, self-management of pain and pain self-efficacy on post-operative pain on day 5 after cesarean section: A cross-sectional study in Mie prefecture in Japan.

Introduction: Pain self-management among women who begin child-rearing after a cesarean section (CS) has not been ascertained. This study aimed to explore the relationship among pain intensity, self-management, and self-efficacy on post-operative day (POD) 5 after CS in postpartum women.

Methods: A cross-sectional online survey was conducted on POD5 after CS. Participants were recruited through convenience sampling in Mie Prefecture, Japan, from August 2023 to April 2024. Pain was assessed using a numerical rating scale (NRS), both during activity and at rest, with higher scores indicating greater pain. Pain self-efficacy was assessed using the Japanese version of the Pain Self-Efficacy Questionnaire (PSEQ-J), and pain self-management was investigated. SPSS version 29.0 was used for data analysis, and p<0.05 was set as the significance level.

Results: Data from 124 participants (valid response rate: 73.8%) were analyzed. The median (IQR) of the NRS was 4.5 (3-6) during activity and 2.0 (1-4) at rest. There were significant differences according to method of oral analgesia during activity (p<0.049) and at rest (p<0.015). Multiple regression analysis revealed that NRS scores at maximum pain after CS significantly influenced pain on POD5. However, the number of oral analgesics and PSEQ-J scores were not influenced (during activity: R2=0.21, p<0.001, at rest: R2=0.12, p<0.001).

Conclusions: Pain intensity during activity on POD5 was moderate and required pain-management. Acute post-operative pain-management was related to pain intensity on POD5, suggesting the importance of early post-operative pain control. Future studies are needed to examine the association between pain self-efficacy and other psychological factors.

求助全文
通过发布文献求助,成功后即可免费获取论文全文。 去求助
来源期刊
European Journal of Midwifery
European Journal of Midwifery Nursing-Maternity and Midwifery
CiteScore
2.20
自引率
15.80%
发文量
65
审稿时长
16 weeks
×
引用
GB/T 7714-2015
复制
MLA
复制
APA
复制
导出至
BibTeX EndNote RefMan NoteFirst NoteExpress
×
提示
您的信息不完整,为了账户安全,请先补充。
现在去补充
×
提示
您因"违规操作"
具体请查看互助需知
我知道了
×
提示
确定
请完成安全验证×
copy
已复制链接
快去分享给好友吧!
我知道了
右上角分享
点击右上角分享
0
联系我们:info@booksci.cn Book学术提供免费学术资源搜索服务,方便国内外学者检索中英文文献。致力于提供最便捷和优质的服务体验。 Copyright © 2023 布克学术 All rights reserved.
京ICP备2023020795号-1
ghs 京公网安备 11010802042870号
Book学术文献互助
Book学术文献互助群
群 号:604180095
Book学术官方微信