在英国各地开展循证重症监护实践:英国范围内成人病房的多站点服务评估。

IF 1.4 Q3 CRITICAL CARE MEDICINE
Journal of the Intensive Care Society Pub Date : 2024-11-22 eCollection Date: 2025-05-01 DOI:10.1177/17511437241293917
William R Thomson, Zudin Puthucheary, Panayiotis Stavrinou, Dalia Barghouthy, Shreekant Champanerkar, Douglas Findlay, Sarah Gordon, David McWilliams, Kate Tantam, Helen Woodward, Timothy J Stephens
{"title":"在英国各地开展循证重症监护实践:英国范围内成人病房的多站点服务评估。","authors":"William R Thomson, Zudin Puthucheary, Panayiotis Stavrinou, Dalia Barghouthy, Shreekant Champanerkar, Douglas Findlay, Sarah Gordon, David McWilliams, Kate Tantam, Helen Woodward, Timothy J Stephens","doi":"10.1177/17511437241293917","DOIUrl":null,"url":null,"abstract":"<p><strong>Background: </strong>The ICU Liberation Bundle was developed to improve outcomes for patients admitted to critical care. Despite a lack of Bundle adoption in the UK, the individual evidence-based practices (EBPs) within the bundle are defined as standards of care by the UK Intensive Care Society. There are limited data on the delivery of these EBPs.</p><p><strong>Objective: </strong>To evaluate current delivery of the EBPs of the ICU Liberation bundle in a sample of hospitals in the UK National Health Service (NHS) presenting delivery of EBP's between hospitals, their stability of delivery across multiple weeks and in comparison to US hospitals in the original ICU Liberation Bundle study.</p><p><strong>Methods: </strong>Multi-centre service evaluation, using modified definitions of compliance from the ICU Liberation Bundle study. We sampled six representative units from across the UK; data collection totalled 1116 patient days. Data were analysed using descriptive statistics.</p><p><strong>Results: </strong>Across all six units, patients received a median of 42.9% (IQR 40%-60%) of all possible bundle EBPs. Unit bundle proportional compliance (number of components completed/eligible number of components) ranged from 40.0% (IQR 28.6%-50.0%) to 71.4% (IQR 57.1%-80.0%). Units completed spontaneous awakening trials most regularly in 80.1% of eligible patients (149/186). Delirium assessments were the least adhered to EBP with only 32.2% (359/1116) of patients receiving at least two validated delirium assessments per day. Full bundle compliance was lower in the UK cohort in comparison to the original trial (4% vs 8%).</p><p><strong>Discussion: </strong>We identified substantial variation in the delivery of seven evidence-based practices that are considered standards of care in the UK. Variation existed between hospitals and within each hospital over time. These data begin to describe the current state of EBP adherence in a selection of critical care units.</p>","PeriodicalId":39161,"journal":{"name":"Journal of the Intensive Care Society","volume":" ","pages":"137-145"},"PeriodicalIF":1.4000,"publicationDate":"2024-11-22","publicationTypes":"Journal Article","fieldsOfStudy":null,"isOpenAccess":false,"openAccessPdf":"https://www.ncbi.nlm.nih.gov/pmc/articles/PMC11585010/pdf/","citationCount":"0","resultStr":"{\"title\":\"Delivery of evidence-based critical care practices across the United Kingdom: A UK-wide multi-site service evaluation in adult units.\",\"authors\":\"William R Thomson, Zudin Puthucheary, Panayiotis Stavrinou, Dalia Barghouthy, Shreekant Champanerkar, Douglas Findlay, Sarah Gordon, David McWilliams, Kate Tantam, Helen Woodward, Timothy J Stephens\",\"doi\":\"10.1177/17511437241293917\",\"DOIUrl\":null,\"url\":null,\"abstract\":\"<p><strong>Background: </strong>The ICU Liberation Bundle was developed to improve outcomes for patients admitted to critical care. Despite a lack of Bundle adoption in the UK, the individual evidence-based practices (EBPs) within the bundle are defined as standards of care by the UK Intensive Care Society. There are limited data on the delivery of these EBPs.</p><p><strong>Objective: </strong>To evaluate current delivery of the EBPs of the ICU Liberation bundle in a sample of hospitals in the UK National Health Service (NHS) presenting delivery of EBP's between hospitals, their stability of delivery across multiple weeks and in comparison to US hospitals in the original ICU Liberation Bundle study.</p><p><strong>Methods: </strong>Multi-centre service evaluation, using modified definitions of compliance from the ICU Liberation Bundle study. We sampled six representative units from across the UK; data collection totalled 1116 patient days. Data were analysed using descriptive statistics.</p><p><strong>Results: </strong>Across all six units, patients received a median of 42.9% (IQR 40%-60%) of all possible bundle EBPs. Unit bundle proportional compliance (number of components completed/eligible number of components) ranged from 40.0% (IQR 28.6%-50.0%) to 71.4% (IQR 57.1%-80.0%). Units completed spontaneous awakening trials most regularly in 80.1% of eligible patients (149/186). Delirium assessments were the least adhered to EBP with only 32.2% (359/1116) of patients receiving at least two validated delirium assessments per day. Full bundle compliance was lower in the UK cohort in comparison to the original trial (4% vs 8%).</p><p><strong>Discussion: </strong>We identified substantial variation in the delivery of seven evidence-based practices that are considered standards of care in the UK. Variation existed between hospitals and within each hospital over time. These data begin to describe the current state of EBP adherence in a selection of critical care units.</p>\",\"PeriodicalId\":39161,\"journal\":{\"name\":\"Journal of the Intensive Care Society\",\"volume\":\" \",\"pages\":\"137-145\"},\"PeriodicalIF\":1.4000,\"publicationDate\":\"2024-11-22\",\"publicationTypes\":\"Journal Article\",\"fieldsOfStudy\":null,\"isOpenAccess\":false,\"openAccessPdf\":\"https://www.ncbi.nlm.nih.gov/pmc/articles/PMC11585010/pdf/\",\"citationCount\":\"0\",\"resultStr\":null,\"platform\":\"Semanticscholar\",\"paperid\":null,\"PeriodicalName\":\"Journal of the Intensive Care Society\",\"FirstCategoryId\":\"1085\",\"ListUrlMain\":\"https://doi.org/10.1177/17511437241293917\",\"RegionNum\":0,\"RegionCategory\":null,\"ArticlePicture\":[],\"TitleCN\":null,\"AbstractTextCN\":null,\"PMCID\":null,\"EPubDate\":\"2025/5/1 0:00:00\",\"PubModel\":\"eCollection\",\"JCR\":\"Q3\",\"JCRName\":\"CRITICAL CARE MEDICINE\",\"Score\":null,\"Total\":0}","platform":"Semanticscholar","paperid":null,"PeriodicalName":"Journal of the Intensive Care Society","FirstCategoryId":"1085","ListUrlMain":"https://doi.org/10.1177/17511437241293917","RegionNum":0,"RegionCategory":null,"ArticlePicture":[],"TitleCN":null,"AbstractTextCN":null,"PMCID":null,"EPubDate":"2025/5/1 0:00:00","PubModel":"eCollection","JCR":"Q3","JCRName":"CRITICAL CARE MEDICINE","Score":null,"Total":0}
引用次数: 0

摘要

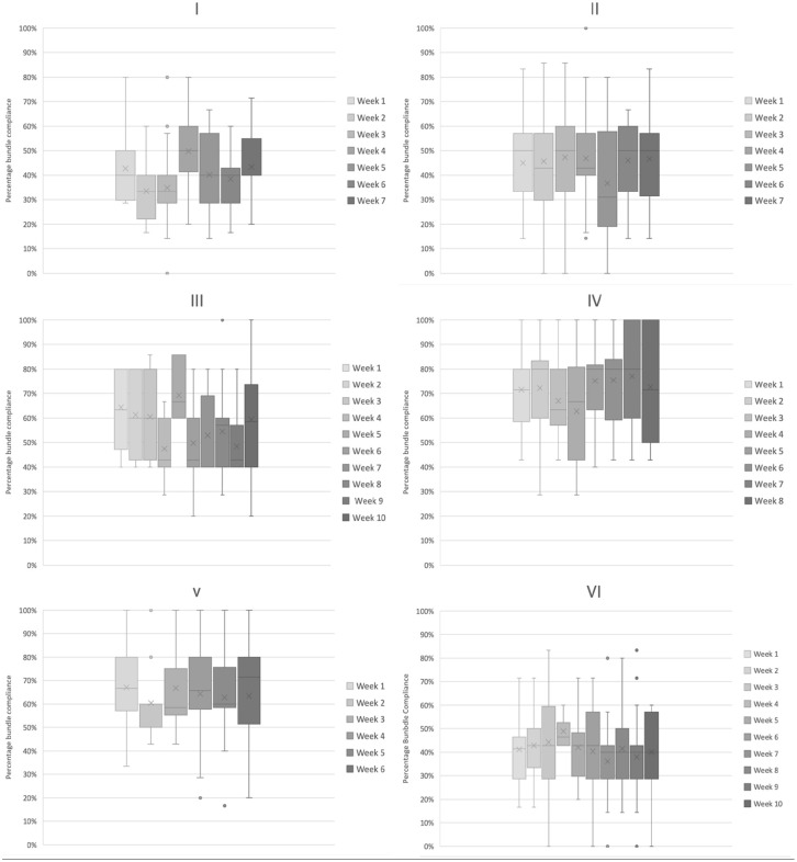
背景:重症监护室解放束的开发旨在改善重症监护患者的治疗效果。尽管英国尚未采用该捆绑方案,但英国重症监护学会已将捆绑方案中的个别循证实践(EBPs)定义为护理标准。有关这些 EBPs 实施情况的数据十分有限:目的:评估英国国民医疗服务体系(NHS)抽样医院目前提供的重症监护病房解放捆绑包 EBPs 的情况,介绍各医院之间提供 EBPs 的情况、在多周内提供 EBPs 的稳定性,并与最初的重症监护病房解放捆绑包研究中的美国医院进行比较:方法:多中心服务评估,使用重症监护室解放束研究中修改过的合规性定义。我们从英国各地抽取了六个具有代表性的单位,共收集了 1116 个病人日的数据。我们使用描述性统计对数据进行了分析:结果:在所有六个病房中,患者接受所有可能的捆绑 EBPs 的中位数为 42.9%(IQR 40%-60%)。病房捆绑治疗比例达标率(完成的治疗项目数/合格的治疗项目数)从 40.0% (IQR 28.6%-50.0%) 到 71.4% (IQR 57.1%-80.0%) 不等。在符合条件的患者中,80.1%的患者(149/186)定期完成了自发觉醒试验。谵妄评估是遵守EBP最少的项目,只有32.2%的患者(359/1116)每天至少接受两次有效的谵妄评估。与最初的试验相比,英国队列中的完全捆绑治疗依从性较低(4% vs 8%):讨论:我们发现,在英国,七项循证实践被认为是护理标准,但在实施过程中却存在很大差异。医院之间以及每家医院内部随着时间的推移都存在差异。这些数据开始描述一些重症监护病房在遵循循证实践方面的现状。
本文章由计算机程序翻译,如有差异,请以英文原文为准。

Delivery of evidence-based critical care practices across the United Kingdom: A UK-wide multi-site service evaluation in adult units.

Delivery of evidence-based critical care practices across the United Kingdom: A UK-wide multi-site service evaluation in adult units.

Delivery of evidence-based critical care practices across the United Kingdom: A UK-wide multi-site service evaluation in adult units.

Delivery of evidence-based critical care practices across the United Kingdom: A UK-wide multi-site service evaluation in adult units.

Background: The ICU Liberation Bundle was developed to improve outcomes for patients admitted to critical care. Despite a lack of Bundle adoption in the UK, the individual evidence-based practices (EBPs) within the bundle are defined as standards of care by the UK Intensive Care Society. There are limited data on the delivery of these EBPs.

Objective: To evaluate current delivery of the EBPs of the ICU Liberation bundle in a sample of hospitals in the UK National Health Service (NHS) presenting delivery of EBP's between hospitals, their stability of delivery across multiple weeks and in comparison to US hospitals in the original ICU Liberation Bundle study.

Methods: Multi-centre service evaluation, using modified definitions of compliance from the ICU Liberation Bundle study. We sampled six representative units from across the UK; data collection totalled 1116 patient days. Data were analysed using descriptive statistics.

Results: Across all six units, patients received a median of 42.9% (IQR 40%-60%) of all possible bundle EBPs. Unit bundle proportional compliance (number of components completed/eligible number of components) ranged from 40.0% (IQR 28.6%-50.0%) to 71.4% (IQR 57.1%-80.0%). Units completed spontaneous awakening trials most regularly in 80.1% of eligible patients (149/186). Delirium assessments were the least adhered to EBP with only 32.2% (359/1116) of patients receiving at least two validated delirium assessments per day. Full bundle compliance was lower in the UK cohort in comparison to the original trial (4% vs 8%).

Discussion: We identified substantial variation in the delivery of seven evidence-based practices that are considered standards of care in the UK. Variation existed between hospitals and within each hospital over time. These data begin to describe the current state of EBP adherence in a selection of critical care units.

求助全文
通过发布文献求助,成功后即可免费获取论文全文。 去求助
来源期刊
Journal of the Intensive Care Society
Journal of the Intensive Care Society Nursing-Critical Care Nursing
CiteScore
4.40
自引率
0.00%
发文量
45
期刊介绍: The Journal of the Intensive Care Society (JICS) is an international, peer-reviewed journal that strives to disseminate clinically and scientifically relevant peer-reviewed research, evaluation, experience and opinion to all staff working in the field of intensive care medicine. Our aim is to inform clinicians on the provision of best practice and provide direction for innovative scientific research in what is one of the broadest and most multi-disciplinary healthcare specialties. While original articles and systematic reviews lie at the heart of the Journal, we also value and recognise the need for opinion articles, case reports and correspondence to guide clinically and scientifically important areas in which conclusive evidence is lacking. The style of the Journal is based on its founding mission statement to ‘instruct, inform and entertain by encompassing the best aspects of both tabloid and broadsheet''.
×
引用
GB/T 7714-2015
复制
MLA
复制
APA
复制
导出至
BibTeX EndNote RefMan NoteFirst NoteExpress
×
提示
您的信息不完整,为了账户安全,请先补充。
现在去补充
×
提示
您因"违规操作"
具体请查看互助需知
我知道了
×
提示
确定
请完成安全验证×
copy
已复制链接
快去分享给好友吧!
我知道了
右上角分享
点击右上角分享
0
联系我们:info@booksci.cn Book学术提供免费学术资源搜索服务,方便国内外学者检索中英文文献。致力于提供最便捷和优质的服务体验。 Copyright © 2023 布克学术 All rights reserved.
京ICP备2023020795号-1
ghs 京公网安备 11010802042870号
Book学术文献互助
Book学术文献互助群
群 号:604180095
Book学术官方微信