针对坚持药物治疗、有益心脏健康的饮食和心血管体育锻炼的应对量表的开发和心理测量学特性。

IF 1.6 Q3 PSYCHOLOGY, MULTIDISCIPLINARY
Psychology in Russia-State of the Art Pub Date : 2024-09-15 eCollection Date: 2024-01-01 DOI:10.11621/pir.2024.0307
Jessica Berenice Flores-Mendoza, Mirna García Méndez, Andrea Bravo Doddoli, Rolando Díaz-Loving
{"title":"针对坚持药物治疗、有益心脏健康的饮食和心血管体育锻炼的应对量表的开发和心理测量学特性。","authors":"Jessica Berenice Flores-Mendoza, Mirna García Méndez, Andrea Bravo Doddoli, Rolando Díaz-Loving","doi":"10.11621/pir.2024.0307","DOIUrl":null,"url":null,"abstract":"<p><strong>Background: </strong>Coping, within Lazarus transactional theoretical framework, is conceptualized as a dynamic set of cognitive and behavioral processes that adapt continually to manage specific demands, whether internal or external, perceived as exceeding an individual's available resources. This framework supports understanding healthy coping behaviors, especially regarding adherence to treatment in cardiovascular disease management.</p><p><strong>Objective: </strong>Develop and validate coping scales designed to assess adherence to pharmacological treatment, heart-healthy eating, and cardiovascular physical exercise in mexican patients diagnosed with ischemic heart disease.</p><p><strong>Design: </strong>The research employed both qualitative (focus groups) and quantitative (exploratory and confirmatory factor analysis) methodologies to ensure robustness. The coping scales underwent rigorous testing, including exploratory factor analysis (EFA) and confirmatory factor analysis (CFA), which revealed a two-factor solution for medication adherence coping, a three factors solution for physical exercise adherence coping, and a three factors solution for healthy eating adherence coping.</p><p><strong>Results: </strong>The findings suggest that coping strategies, although universal in nature, are sensitive to cultural nuances among patients with ischemic heart disease. By capturing the complexities of coping behaviors within a specific cultural context, these scales provide valuable insights into the multifaceted nature of adherence to primary prevention measures.</p><p><strong>Conclusion: </strong>This study contributes to the understanding of how coping mechanisms intersect with cultural factors in the management of chronic conditions such as ischemic heart disease, highlighting the importance of tailored interventions that consider patients cultural backgrounds and individual coping styles.</p>","PeriodicalId":44621,"journal":{"name":"Psychology in Russia-State of the Art","volume":"17 3","pages":"97-113"},"PeriodicalIF":1.6000,"publicationDate":"2024-09-15","publicationTypes":"Journal Article","fieldsOfStudy":null,"isOpenAccess":false,"openAccessPdf":"https://www.ncbi.nlm.nih.gov/pmc/articles/PMC11574567/pdf/","citationCount":"0","resultStr":"{\"title\":\"Development and Psychometric Properties of Coping Scales towards Adherence to Pharmacological Treatment, Heart-healthy Eating and Cardiovascular Physical Exercise.\",\"authors\":\"Jessica Berenice Flores-Mendoza, Mirna García Méndez, Andrea Bravo Doddoli, Rolando Díaz-Loving\",\"doi\":\"10.11621/pir.2024.0307\",\"DOIUrl\":null,\"url\":null,\"abstract\":\"<p><strong>Background: </strong>Coping, within Lazarus transactional theoretical framework, is conceptualized as a dynamic set of cognitive and behavioral processes that adapt continually to manage specific demands, whether internal or external, perceived as exceeding an individual's available resources. This framework supports understanding healthy coping behaviors, especially regarding adherence to treatment in cardiovascular disease management.</p><p><strong>Objective: </strong>Develop and validate coping scales designed to assess adherence to pharmacological treatment, heart-healthy eating, and cardiovascular physical exercise in mexican patients diagnosed with ischemic heart disease.</p><p><strong>Design: </strong>The research employed both qualitative (focus groups) and quantitative (exploratory and confirmatory factor analysis) methodologies to ensure robustness. The coping scales underwent rigorous testing, including exploratory factor analysis (EFA) and confirmatory factor analysis (CFA), which revealed a two-factor solution for medication adherence coping, a three factors solution for physical exercise adherence coping, and a three factors solution for healthy eating adherence coping.</p><p><strong>Results: </strong>The findings suggest that coping strategies, although universal in nature, are sensitive to cultural nuances among patients with ischemic heart disease. By capturing the complexities of coping behaviors within a specific cultural context, these scales provide valuable insights into the multifaceted nature of adherence to primary prevention measures.</p><p><strong>Conclusion: </strong>This study contributes to the understanding of how coping mechanisms intersect with cultural factors in the management of chronic conditions such as ischemic heart disease, highlighting the importance of tailored interventions that consider patients cultural backgrounds and individual coping styles.</p>\",\"PeriodicalId\":44621,\"journal\":{\"name\":\"Psychology in Russia-State of the Art\",\"volume\":\"17 3\",\"pages\":\"97-113\"},\"PeriodicalIF\":1.6000,\"publicationDate\":\"2024-09-15\",\"publicationTypes\":\"Journal Article\",\"fieldsOfStudy\":null,\"isOpenAccess\":false,\"openAccessPdf\":\"https://www.ncbi.nlm.nih.gov/pmc/articles/PMC11574567/pdf/\",\"citationCount\":\"0\",\"resultStr\":null,\"platform\":\"Semanticscholar\",\"paperid\":null,\"PeriodicalName\":\"Psychology in Russia-State of the Art\",\"FirstCategoryId\":\"1085\",\"ListUrlMain\":\"https://doi.org/10.11621/pir.2024.0307\",\"RegionNum\":0,\"RegionCategory\":null,\"ArticlePicture\":[],\"TitleCN\":null,\"AbstractTextCN\":null,\"PMCID\":null,\"EPubDate\":\"2024/1/1 0:00:00\",\"PubModel\":\"eCollection\",\"JCR\":\"Q3\",\"JCRName\":\"PSYCHOLOGY, MULTIDISCIPLINARY\",\"Score\":null,\"Total\":0}","platform":"Semanticscholar","paperid":null,"PeriodicalName":"Psychology in Russia-State of the Art","FirstCategoryId":"1085","ListUrlMain":"https://doi.org/10.11621/pir.2024.0307","RegionNum":0,"RegionCategory":null,"ArticlePicture":[],"TitleCN":null,"AbstractTextCN":null,"PMCID":null,"EPubDate":"2024/1/1 0:00:00","PubModel":"eCollection","JCR":"Q3","JCRName":"PSYCHOLOGY, MULTIDISCIPLINARY","Score":null,"Total":0}
引用次数: 0

摘要

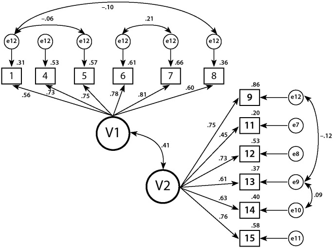
背景:在拉扎勒斯交易理论框架中,应对被概念化为一套动态的认知和行为过程,这些过程不断进行调整,以管理超出个人可用资源的特定需求,无论是内部需求还是外部需求。这一框架有助于理解健康的应对行为,尤其是在心血管疾病管理中坚持治疗的应对行为:开发并验证应对量表,以评估墨西哥缺血性心脏病患者坚持药物治疗、健康饮食和心血管体育锻炼的情况:研究采用了定性(焦点小组)和定量(探索性和确认性因素分析)方法,以确保其稳健性。应对量表经过了严格的测试,包括探索性因子分析(EFA)和确认性因子分析(CFA),结果显示,坚持服药应对策略有两个因子,坚持体育锻炼应对策略有三个因子,坚持健康饮食应对策略有三个因子:结果:研究结果表明,应对策略虽然具有普遍性,但对缺血性心脏病患者的文化差异非常敏感。通过捕捉特定文化背景下应对行为的复杂性,这些量表为了解坚持一级预防措施的多面性提供了有价值的见解:这项研究有助于人们了解在管理缺血性心脏病等慢性疾病时,应对机制是如何与文化因素交织在一起的,并强调了考虑患者文化背景和个人应对方式的定制干预措施的重要性。
本文章由计算机程序翻译,如有差异,请以英文原文为准。

Development and Psychometric Properties of Coping Scales towards Adherence to Pharmacological Treatment, Heart-healthy Eating and Cardiovascular Physical Exercise.

Development and Psychometric Properties of Coping Scales towards Adherence to Pharmacological Treatment, Heart-healthy Eating and Cardiovascular Physical Exercise.

Development and Psychometric Properties of Coping Scales towards Adherence to Pharmacological Treatment, Heart-healthy Eating and Cardiovascular Physical Exercise.

Development and Psychometric Properties of Coping Scales towards Adherence to Pharmacological Treatment, Heart-healthy Eating and Cardiovascular Physical Exercise.

Background: Coping, within Lazarus transactional theoretical framework, is conceptualized as a dynamic set of cognitive and behavioral processes that adapt continually to manage specific demands, whether internal or external, perceived as exceeding an individual's available resources. This framework supports understanding healthy coping behaviors, especially regarding adherence to treatment in cardiovascular disease management.

Objective: Develop and validate coping scales designed to assess adherence to pharmacological treatment, heart-healthy eating, and cardiovascular physical exercise in mexican patients diagnosed with ischemic heart disease.

Design: The research employed both qualitative (focus groups) and quantitative (exploratory and confirmatory factor analysis) methodologies to ensure robustness. The coping scales underwent rigorous testing, including exploratory factor analysis (EFA) and confirmatory factor analysis (CFA), which revealed a two-factor solution for medication adherence coping, a three factors solution for physical exercise adherence coping, and a three factors solution for healthy eating adherence coping.

Results: The findings suggest that coping strategies, although universal in nature, are sensitive to cultural nuances among patients with ischemic heart disease. By capturing the complexities of coping behaviors within a specific cultural context, these scales provide valuable insights into the multifaceted nature of adherence to primary prevention measures.

Conclusion: This study contributes to the understanding of how coping mechanisms intersect with cultural factors in the management of chronic conditions such as ischemic heart disease, highlighting the importance of tailored interventions that consider patients cultural backgrounds and individual coping styles.

求助全文
通过发布文献求助,成功后即可免费获取论文全文。 去求助
来源期刊
Psychology in Russia-State of the Art
Psychology in Russia-State of the Art PSYCHOLOGY, MULTIDISCIPLINARY-
CiteScore
2.00
自引率
11.10%
发文量
11
审稿时长
14 weeks
期刊介绍: Established in 2008, the Russian Psychological Society''s Journal «Psychology in Russia: State of the Art» publishes original research on all aspects of general psychology including cognitive, clinical, developmental, social, neuropsychology, psychophysiology, psychology of labor and ergonomics, and methodology of psychological science. Journal''s list of authors comprises prominent scientists, practitioners and experts from leading Russian universities, research institutions, state ministries and private practice. Addressing current challenges of psychology, it also reviews developments in novel areas such as security, sport, and art psychology, as well as psychology of negotiations, cyberspace and virtual reality. The journal builds upon theoretical foundations laid by the works of Vygotsky, Luria and other Russian scientists whose works contributed to shaping the psychological science worldwide, and welcomes international submissions which make major contributions across the range of psychology, especially appreciating the ones conducted in the paradigm of the Russian psychological tradition. It enjoys a wide international readership and features reports of empirical studies, book reviews and theoretical contributions, which aim to further our understanding of psychology.
×
引用
GB/T 7714-2015
复制
MLA
复制
APA
复制
导出至
BibTeX EndNote RefMan NoteFirst NoteExpress
×
提示
您的信息不完整,为了账户安全,请先补充。
现在去补充
×
提示
您因"违规操作"
具体请查看互助需知
我知道了
×
提示
确定
请完成安全验证×
copy
已复制链接
快去分享给好友吧!
我知道了
右上角分享
点击右上角分享
0
联系我们:info@booksci.cn Book学术提供免费学术资源搜索服务,方便国内外学者检索中英文文献。致力于提供最便捷和优质的服务体验。 Copyright © 2023 布克学术 All rights reserved.
京ICP备2023020795号-1
ghs 京公网安备 11010802042870号
Book学术文献互助
Book学术文献互助群
群 号:604180095
Book学术官方微信