紧急腹股沟疝修补术后院内静脉血栓栓塞的风险因素和预后。

IF 0.8 4区 医学 Q3 EMERGENCY MEDICINE
Emergency Medicine International Pub Date : 2024-11-12 eCollection Date: 2024-01-01 DOI:10.1155/2024/6670898
Wei Yang, Jie Ling, Yun Zhou, Pengcheng Yang, Jiejing Chen
{"title":"紧急腹股沟疝修补术后院内静脉血栓栓塞的风险因素和预后。","authors":"Wei Yang, Jie Ling, Yun Zhou, Pengcheng Yang, Jiejing Chen","doi":"10.1155/2024/6670898","DOIUrl":null,"url":null,"abstract":"<p><p><b>Background:</b> The risk factors and association of venous thromboembolism (VTE) following emergent ventral hernia repair (EVHR) remains uncertain. This aim of the study aims was to establish the predictors of VTE after EVHR and its influence on the long-term outcomes. <b>Methods:</b> A total of 2093 patients from the MIMIC-IV database who underwent EVHR were recruited. Multivariate logistic regression and nomogram models were developed to predict in-hospital VTE and mortality. Calibration and receiver operating characteristic (ROC) curves were utilized to assess the model's effectiveness and reliability. Decision curve analysis (DCA) was performed to evaluate the net clinical benefits of the model. <b>Results:</b> The rate of in-hospital VTE was 1.6% (33/2093) after EVHR. Four independent potential factors were established after multivariate analysis, and the abovementioned risk factors fit into the nomogram. The prediction model presented good performance metrics (C-index: 0.857), the calibration and ROC curves demonstrated the accurate prediction power, and DCA indicated the superior net benefit of the established model. In-hospital and 1-year mortality rates were 0.8% (17/2093) and 4.1% (86/2076) after EVHR. The potential factors were included in the mortality prediction nomogram. The prediction model presented good performance metrics (C-index of 0.957 and 0.828, respectively), the calibration and ROC curves were consistent with the actual results, and DCA indicated the superior net benefit of the established model. <b>Conclusion:</b> The nomogram, derived from the logistic regression model, demonstrated excellent predictive performance for VTE occurrence and prognosis in patients following EVHR. This model could serve as a valuable reference for clinical decision-making regarding VTE prevention and for enhancing post-EVHR prognosis.</p>","PeriodicalId":11528,"journal":{"name":"Emergency Medicine International","volume":"2024 ","pages":"6670898"},"PeriodicalIF":0.8000,"publicationDate":"2024-11-12","publicationTypes":"Journal Article","fieldsOfStudy":null,"isOpenAccess":false,"openAccessPdf":"https://www.ncbi.nlm.nih.gov/pmc/articles/PMC11576084/pdf/","citationCount":"0","resultStr":"{\"title\":\"Risk Factors of In-Hospital Venous Thromboembolism and Prognosis After Emergent Ventral Hernia Repair.\",\"authors\":\"Wei Yang, Jie Ling, Yun Zhou, Pengcheng Yang, Jiejing Chen\",\"doi\":\"10.1155/2024/6670898\",\"DOIUrl\":null,\"url\":null,\"abstract\":\"<p><p><b>Background:</b> The risk factors and association of venous thromboembolism (VTE) following emergent ventral hernia repair (EVHR) remains uncertain. This aim of the study aims was to establish the predictors of VTE after EVHR and its influence on the long-term outcomes. <b>Methods:</b> A total of 2093 patients from the MIMIC-IV database who underwent EVHR were recruited. Multivariate logistic regression and nomogram models were developed to predict in-hospital VTE and mortality. Calibration and receiver operating characteristic (ROC) curves were utilized to assess the model's effectiveness and reliability. Decision curve analysis (DCA) was performed to evaluate the net clinical benefits of the model. <b>Results:</b> The rate of in-hospital VTE was 1.6% (33/2093) after EVHR. Four independent potential factors were established after multivariate analysis, and the abovementioned risk factors fit into the nomogram. The prediction model presented good performance metrics (C-index: 0.857), the calibration and ROC curves demonstrated the accurate prediction power, and DCA indicated the superior net benefit of the established model. In-hospital and 1-year mortality rates were 0.8% (17/2093) and 4.1% (86/2076) after EVHR. The potential factors were included in the mortality prediction nomogram. The prediction model presented good performance metrics (C-index of 0.957 and 0.828, respectively), the calibration and ROC curves were consistent with the actual results, and DCA indicated the superior net benefit of the established model. <b>Conclusion:</b> The nomogram, derived from the logistic regression model, demonstrated excellent predictive performance for VTE occurrence and prognosis in patients following EVHR. This model could serve as a valuable reference for clinical decision-making regarding VTE prevention and for enhancing post-EVHR prognosis.</p>\",\"PeriodicalId\":11528,\"journal\":{\"name\":\"Emergency Medicine International\",\"volume\":\"2024 \",\"pages\":\"6670898\"},\"PeriodicalIF\":0.8000,\"publicationDate\":\"2024-11-12\",\"publicationTypes\":\"Journal Article\",\"fieldsOfStudy\":null,\"isOpenAccess\":false,\"openAccessPdf\":\"https://www.ncbi.nlm.nih.gov/pmc/articles/PMC11576084/pdf/\",\"citationCount\":\"0\",\"resultStr\":null,\"platform\":\"Semanticscholar\",\"paperid\":null,\"PeriodicalName\":\"Emergency Medicine International\",\"FirstCategoryId\":\"3\",\"ListUrlMain\":\"https://doi.org/10.1155/2024/6670898\",\"RegionNum\":4,\"RegionCategory\":\"医学\",\"ArticlePicture\":[],\"TitleCN\":null,\"AbstractTextCN\":null,\"PMCID\":null,\"EPubDate\":\"2024/1/1 0:00:00\",\"PubModel\":\"eCollection\",\"JCR\":\"Q3\",\"JCRName\":\"EMERGENCY MEDICINE\",\"Score\":null,\"Total\":0}","platform":"Semanticscholar","paperid":null,"PeriodicalName":"Emergency Medicine International","FirstCategoryId":"3","ListUrlMain":"https://doi.org/10.1155/2024/6670898","RegionNum":4,"RegionCategory":"医学","ArticlePicture":[],"TitleCN":null,"AbstractTextCN":null,"PMCID":null,"EPubDate":"2024/1/1 0:00:00","PubModel":"eCollection","JCR":"Q3","JCRName":"EMERGENCY MEDICINE","Score":null,"Total":0}
引用次数: 0

摘要

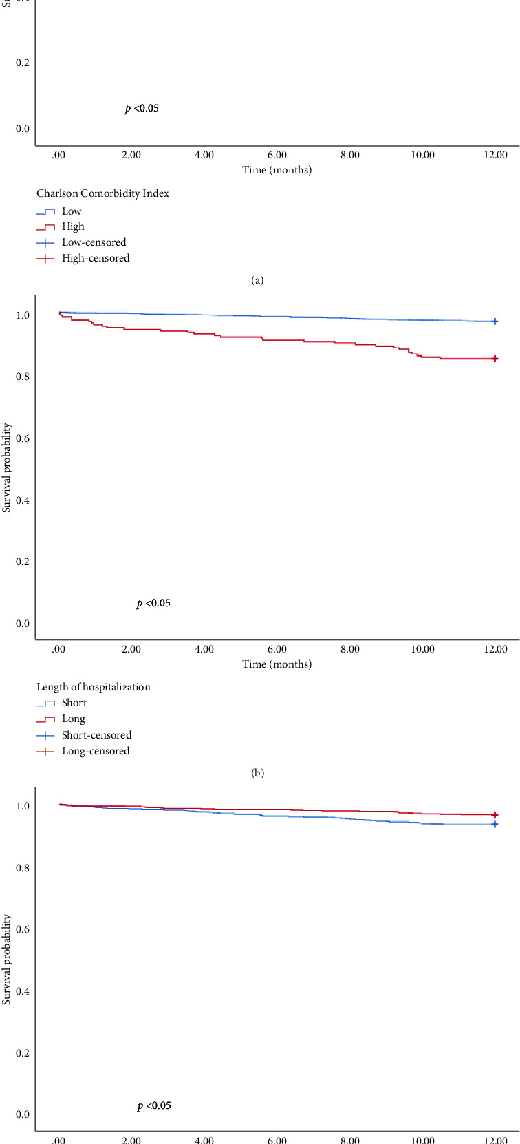
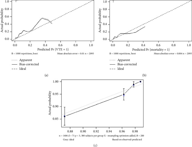
背景:急诊腹股沟疝修补术(EVHR)后静脉血栓栓塞症(VTE)的风险因素及其相关性仍不确定。本研究旨在确定 EVHR 术后 VTE 的预测因素及其对长期预后的影响。研究方法从 MIMIC-IV 数据库中招募了 2093 名接受过 EVHR 的患者。建立了多变量逻辑回归和提名图模型来预测院内 VTE 和死亡率。利用校准和接收器操作特征曲线(ROC)来评估模型的有效性和可靠性。还进行了决策曲线分析 (DCA),以评估模型的临床净效益。结果显示EVHR 后的院内 VTE 发生率为 1.6%(33/2093)。多变量分析后确定了四个独立的潜在因素,上述风险因素符合提名图。预测模型的性能指标良好(C-指数:0.857),校准和 ROC 曲线显示了准确的预测能力,DCA 显示了所建立模型的卓越净效益。EVHR 后的院内死亡率和 1 年死亡率分别为 0.8%(17/2093)和 4.1%(86/2076)。死亡率预测提名图中包含了潜在因素。预测模型的性能指标良好(C 指数分别为 0.957 和 0.828),校准和 ROC 曲线与实际结果一致,DCA 表明既定模型的净效益更优。结论由逻辑回归模型推导出的提名图对 EVHR 患者的 VTE 发生率和预后具有极佳的预测性。该模型可作为预防 VTE 的临床决策和改善 EVHR 后预后的重要参考。
本文章由计算机程序翻译,如有差异,请以英文原文为准。

Risk Factors of In-Hospital Venous Thromboembolism and Prognosis After Emergent Ventral Hernia Repair.

Risk Factors of In-Hospital Venous Thromboembolism and Prognosis After Emergent Ventral Hernia Repair.

Risk Factors of In-Hospital Venous Thromboembolism and Prognosis After Emergent Ventral Hernia Repair.

Risk Factors of In-Hospital Venous Thromboembolism and Prognosis After Emergent Ventral Hernia Repair.

Background: The risk factors and association of venous thromboembolism (VTE) following emergent ventral hernia repair (EVHR) remains uncertain. This aim of the study aims was to establish the predictors of VTE after EVHR and its influence on the long-term outcomes. Methods: A total of 2093 patients from the MIMIC-IV database who underwent EVHR were recruited. Multivariate logistic regression and nomogram models were developed to predict in-hospital VTE and mortality. Calibration and receiver operating characteristic (ROC) curves were utilized to assess the model's effectiveness and reliability. Decision curve analysis (DCA) was performed to evaluate the net clinical benefits of the model. Results: The rate of in-hospital VTE was 1.6% (33/2093) after EVHR. Four independent potential factors were established after multivariate analysis, and the abovementioned risk factors fit into the nomogram. The prediction model presented good performance metrics (C-index: 0.857), the calibration and ROC curves demonstrated the accurate prediction power, and DCA indicated the superior net benefit of the established model. In-hospital and 1-year mortality rates were 0.8% (17/2093) and 4.1% (86/2076) after EVHR. The potential factors were included in the mortality prediction nomogram. The prediction model presented good performance metrics (C-index of 0.957 and 0.828, respectively), the calibration and ROC curves were consistent with the actual results, and DCA indicated the superior net benefit of the established model. Conclusion: The nomogram, derived from the logistic regression model, demonstrated excellent predictive performance for VTE occurrence and prognosis in patients following EVHR. This model could serve as a valuable reference for clinical decision-making regarding VTE prevention and for enhancing post-EVHR prognosis.

求助全文
通过发布文献求助,成功后即可免费获取论文全文。 去求助
来源期刊
Emergency Medicine International
Emergency Medicine International EMERGENCY MEDICINE-
CiteScore
0.10
自引率
0.00%
发文量
187
审稿时长
17 weeks
期刊介绍: Emergency Medicine International is a peer-reviewed, Open Access journal that provides a forum for doctors, nurses, paramedics and ambulance staff. The journal publishes original research articles, review articles, and clinical studies related to prehospital care, disaster preparedness and response, acute medical and paediatric emergencies, critical care, sports medicine, wound care, and toxicology.
×
引用
GB/T 7714-2015
复制
MLA
复制
APA
复制
导出至
BibTeX EndNote RefMan NoteFirst NoteExpress
×
提示
您的信息不完整,为了账户安全,请先补充。
现在去补充
×
提示
您因"违规操作"
具体请查看互助需知
我知道了
×
提示
确定
请完成安全验证×
copy
已复制链接
快去分享给好友吧!
我知道了
右上角分享
点击右上角分享
0
联系我们:info@booksci.cn Book学术提供免费学术资源搜索服务,方便国内外学者检索中英文文献。致力于提供最便捷和优质的服务体验。 Copyright © 2023 布克学术 All rights reserved.
京ICP备2023020795号-1
ghs 京公网安备 11010802042870号
Book学术文献互助
Book学术文献互助群
群 号:604180095
Book学术官方微信