氮水相互作用对暖温带森林优势物种叶片功能特征的影响

IF 5
Forestry research Pub Date : 2024-03-15 eCollection Date: 2024-01-01 DOI:10.48130/forres-0024-0006
Wen Li, Mingyang Liu, Mengke Li, Ruomin Sun, Tenglong Zhou, Yaqi He, Jianing Mao, Chang Liu, Lei Ma, Shenglei Fu
{"title":"氮水相互作用对暖温带森林优势物种叶片功能特征的影响","authors":"Wen Li, Mingyang Liu, Mengke Li, Ruomin Sun, Tenglong Zhou, Yaqi He, Jianing Mao, Chang Liu, Lei Ma, Shenglei Fu","doi":"10.48130/forres-0024-0006","DOIUrl":null,"url":null,"abstract":"<p><p>Plant functional traits are indicative of plant responses to environmental changes, influencing ecosystem functions. Leaves, as a key focus in studying plant functional traits, present an area where the impact of nitrogen deposition and altered rainfall patterns on functional diversity remains ambiguous. To elucidate plant response mechanisms to environmental factors, we employed a canopy-based platform to add nitrogen, water, and their combination. We assessed the functional traits and community-weighted mean of the leaves of three dominant trees and three dominant shrubs. The results showed that nitrogen addition to the canopy significantly increased the leaf dry matter content of the <i>Celtis sinensis</i> Pers, but markedly decreased the specific leaf area of the <i>Liquidambar formosana</i> Hance. The nitrogen-water interaction did not notably affect the specific leaf area and equivalent water thickness of leaves. Canopy addition of nitrogen, water, and their combined interaction substantially lowered leaf nitrogen content and markedly increased leaf C/N. The structural equation model demonstrated a significant negative correlation between leaf dry matter content, equivalent water thickness, and leaf nitrogen content, as well as between equivalent water thickness and leaf phosphorus content. Our results provide evidence for the adaptation of plants to the environment and different strategies for resource and energy utilization.</p>","PeriodicalId":520285,"journal":{"name":"Forestry research","volume":"4 ","pages":"e009"},"PeriodicalIF":5.0000,"publicationDate":"2024-03-15","publicationTypes":"Journal Article","fieldsOfStudy":null,"isOpenAccess":false,"openAccessPdf":"https://www.ncbi.nlm.nih.gov/pmc/articles/PMC11524285/pdf/","citationCount":"0","resultStr":"{\"title\":\"Influence of nitrogen water interaction on leaf functional traits of dominant species in warm temperate forest.\",\"authors\":\"Wen Li, Mingyang Liu, Mengke Li, Ruomin Sun, Tenglong Zhou, Yaqi He, Jianing Mao, Chang Liu, Lei Ma, Shenglei Fu\",\"doi\":\"10.48130/forres-0024-0006\",\"DOIUrl\":null,\"url\":null,\"abstract\":\"<p><p>Plant functional traits are indicative of plant responses to environmental changes, influencing ecosystem functions. Leaves, as a key focus in studying plant functional traits, present an area where the impact of nitrogen deposition and altered rainfall patterns on functional diversity remains ambiguous. To elucidate plant response mechanisms to environmental factors, we employed a canopy-based platform to add nitrogen, water, and their combination. We assessed the functional traits and community-weighted mean of the leaves of three dominant trees and three dominant shrubs. The results showed that nitrogen addition to the canopy significantly increased the leaf dry matter content of the <i>Celtis sinensis</i> Pers, but markedly decreased the specific leaf area of the <i>Liquidambar formosana</i> Hance. The nitrogen-water interaction did not notably affect the specific leaf area and equivalent water thickness of leaves. Canopy addition of nitrogen, water, and their combined interaction substantially lowered leaf nitrogen content and markedly increased leaf C/N. The structural equation model demonstrated a significant negative correlation between leaf dry matter content, equivalent water thickness, and leaf nitrogen content, as well as between equivalent water thickness and leaf phosphorus content. Our results provide evidence for the adaptation of plants to the environment and different strategies for resource and energy utilization.</p>\",\"PeriodicalId\":520285,\"journal\":{\"name\":\"Forestry research\",\"volume\":\"4 \",\"pages\":\"e009\"},\"PeriodicalIF\":5.0000,\"publicationDate\":\"2024-03-15\",\"publicationTypes\":\"Journal Article\",\"fieldsOfStudy\":null,\"isOpenAccess\":false,\"openAccessPdf\":\"https://www.ncbi.nlm.nih.gov/pmc/articles/PMC11524285/pdf/\",\"citationCount\":\"0\",\"resultStr\":null,\"platform\":\"Semanticscholar\",\"paperid\":null,\"PeriodicalName\":\"Forestry research\",\"FirstCategoryId\":\"1085\",\"ListUrlMain\":\"https://doi.org/10.48130/forres-0024-0006\",\"RegionNum\":0,\"RegionCategory\":null,\"ArticlePicture\":[],\"TitleCN\":null,\"AbstractTextCN\":null,\"PMCID\":null,\"EPubDate\":\"2024/1/1 0:00:00\",\"PubModel\":\"eCollection\",\"JCR\":\"\",\"JCRName\":\"\",\"Score\":null,\"Total\":0}","platform":"Semanticscholar","paperid":null,"PeriodicalName":"Forestry research","FirstCategoryId":"1085","ListUrlMain":"https://doi.org/10.48130/forres-0024-0006","RegionNum":0,"RegionCategory":null,"ArticlePicture":[],"TitleCN":null,"AbstractTextCN":null,"PMCID":null,"EPubDate":"2024/1/1 0:00:00","PubModel":"eCollection","JCR":"","JCRName":"","Score":null,"Total":0}
引用次数: 0

摘要

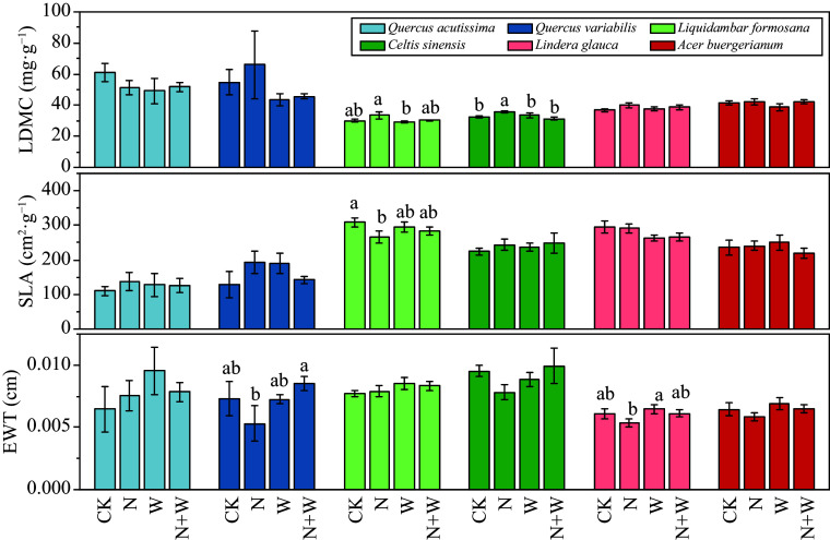
植物功能特征表明植物对环境变化的反应,影响生态系统的功能。叶片是研究植物功能性状的重点,氮沉积和降雨模式的改变对叶片功能多样性的影响仍不明确。为了阐明植物对环境因素的反应机制,我们采用了一个基于冠层的平台来添加氮、水及其组合。我们评估了三种优势乔木和三种优势灌木叶片的功能特征和群落加权平均值。结果表明,在树冠中添加氮元素能显著增加 Celtis sinensis Pers 的叶片干物质含量,但明显减少 Liquidambar formosana Hance 的比叶面积。氮水相互作用对叶片的比叶面积和等效水厚度没有明显影响。在树冠中添加氮、水以及它们的共同作用大大降低了叶片的含氮量,显著提高了叶片的 C/N 值。结构方程模型表明,叶片干物质含量、等效水厚度和叶片氮含量之间以及等效水厚度和叶片磷含量之间存在显著的负相关。我们的研究结果证明了植物对环境的适应性以及利用资源和能量的不同策略。
本文章由计算机程序翻译,如有差异,请以英文原文为准。

Influence of nitrogen water interaction on leaf functional traits of dominant species in warm temperate forest.

Influence of nitrogen water interaction on leaf functional traits of dominant species in warm temperate forest.

Influence of nitrogen water interaction on leaf functional traits of dominant species in warm temperate forest.

Influence of nitrogen water interaction on leaf functional traits of dominant species in warm temperate forest.

Plant functional traits are indicative of plant responses to environmental changes, influencing ecosystem functions. Leaves, as a key focus in studying plant functional traits, present an area where the impact of nitrogen deposition and altered rainfall patterns on functional diversity remains ambiguous. To elucidate plant response mechanisms to environmental factors, we employed a canopy-based platform to add nitrogen, water, and their combination. We assessed the functional traits and community-weighted mean of the leaves of three dominant trees and three dominant shrubs. The results showed that nitrogen addition to the canopy significantly increased the leaf dry matter content of the Celtis sinensis Pers, but markedly decreased the specific leaf area of the Liquidambar formosana Hance. The nitrogen-water interaction did not notably affect the specific leaf area and equivalent water thickness of leaves. Canopy addition of nitrogen, water, and their combined interaction substantially lowered leaf nitrogen content and markedly increased leaf C/N. The structural equation model demonstrated a significant negative correlation between leaf dry matter content, equivalent water thickness, and leaf nitrogen content, as well as between equivalent water thickness and leaf phosphorus content. Our results provide evidence for the adaptation of plants to the environment and different strategies for resource and energy utilization.

求助全文
通过发布文献求助,成功后即可免费获取论文全文。 去求助
来源期刊
自引率
0.00%
发文量
0
×
引用
GB/T 7714-2015
复制
MLA
复制
APA
复制
导出至
BibTeX EndNote RefMan NoteFirst NoteExpress
×
提示
您的信息不完整,为了账户安全,请先补充。
现在去补充
×
提示
您因"违规操作"
具体请查看互助需知
我知道了
×
提示
确定
请完成安全验证×
copy
已复制链接
快去分享给好友吧!
我知道了
右上角分享
点击右上角分享
0
联系我们:info@booksci.cn Book学术提供免费学术资源搜索服务,方便国内外学者检索中英文文献。致力于提供最便捷和优质的服务体验。 Copyright © 2023 布克学术 All rights reserved.
京ICP备2023020795号-1
ghs 京公网安备 11010802042870号
Book学术文献互助
Book学术文献互助群
群 号:604180095
Book学术官方微信