袋鼠妈妈护理对提前出院并入住新生儿重症监护室的早产儿灌注指数、心率和氧饱和度的影响:随机对照试验

IF 0.8 Q4 NURSING
Kübra Yılgör Becerikli, Yazile Sayın
{"title":"袋鼠妈妈护理对提前出院并入住新生儿重症监护室的早产儿灌注指数、心率和氧饱和度的影响:随机对照试验","authors":"Kübra Yılgör Becerikli, Yazile Sayın","doi":"10.5152/FNJN.2024.23256","DOIUrl":null,"url":null,"abstract":"<p><strong>Aim: </strong>To determine the effect of kangaroo mother care (KMC) on perfusion index, heart rate, and oxygen saturation in premature infants who were discharged early and admitted to the neonatal intensive care unit (NICU) in the following days.</p><p><strong>Methods: </strong>This study has a randomized controlled experimental design and uses a pretest-posttest control group model. This study included infants between December 2019 and December 2020 who were discharged early and subsequently admitted to the NICU. Experimental (n=38) and control (n=38) groups were assigned using the simple randomization technique at the NICU of a private university hospital in Istanbul, Türkiye. Heart rate, perfusion index, and oxygen saturation levels of the experimental group in which KMC was applied and the control group in which KMC was not applied were compared. Measurements of these parameters were made at 15-minute intervals for 45 minutes (0-1, 15, 30, 45 minutes). Data were collected via the Mother and Infant Introductory Information Form, Kangaroo Mother Care Preparation Checklist, Kangaroo Mother Care Physiological Parameter Monitoring Form, and Noninvaziv Pulse Co-Oximetry. Statistics of these data were performed with the independent sample t-test, Pearson's Chi-square, Fisher's exact test.</p><p><strong>Results: </strong>In the experimental and control groups, infants' gestational age (31.11 ± 3.25 and 31.61 ± 3.04, respectively; p = .491) and weight (1778.29 ± 436.93 and 1953.29 ± 345.74, respectively; p = .057) were similar, and the differences were statistically insignificant. Before KMC, there was no difference between the heart rate, oxygen saturation, and perfusion index values of the experimental and control groups (p > .05). From the first 15 minutes after the application of KMC to 45 minutes post-KMC, there was a significant decrease in (p=0.001) and stabilization of heart rate and oxygen saturation in the experimental group compared with the control group. The heart rates in the experimental group at 15th, 30th, and 45th minutes during KMC were lower than in the control group (147.63 ± 11.04; 142.47 ± 11.94; 136.82 ± 13.22 and 153.13 ± 8.73; 154.50 ± 7.27; 154.84 ± 7.05, respectively). Also, their oxygen saturation during KMC was higher than in the control group (96.68 ± 2.08; 97.24 ± 2.18; 97.87 ± 1.66 and 94.79 ± 1.27; 94.66 ± 1.45; 94.39 ± 1.38, respectively). This significant difference between KMC on heart rate and oxygen saturation in the experimental group compared to the control group continued for 45 minutes after KMC. The perfusion index was significantly higher at 30 minutes and 45 minutes during KMC. However, although it continued after KMC, this change in perfusion index was not statistically significant.</p><p><strong>Conclusion: </strong>Kangaroo mother care helps to regulate the heart rate, oxygen saturation, and perfusion index of premature infants who were discharged early and admitted to the NICU in the following days.</p>","PeriodicalId":73033,"journal":{"name":"Florence Nightingale journal of nursing","volume":"32 3","pages":"221-231"},"PeriodicalIF":0.8000,"publicationDate":"2024-11-06","publicationTypes":"Journal Article","fieldsOfStudy":null,"isOpenAccess":false,"openAccessPdf":"https://www.ncbi.nlm.nih.gov/pmc/articles/PMC11562260/pdf/","citationCount":"0","resultStr":"{\"title\":\"Kangaroo Mother Care on Perfusion Index, Heart Rate, and Oxygen Saturation in Premature Infants Who were Discharged Early and Admitted to The Neonatal Intensive Care Unit: A Randomized Control Tria.\",\"authors\":\"Kübra Yılgör Becerikli, Yazile Sayın\",\"doi\":\"10.5152/FNJN.2024.23256\",\"DOIUrl\":null,\"url\":null,\"abstract\":\"<p><strong>Aim: </strong>To determine the effect of kangaroo mother care (KMC) on perfusion index, heart rate, and oxygen saturation in premature infants who were discharged early and admitted to the neonatal intensive care unit (NICU) in the following days.</p><p><strong>Methods: </strong>This study has a randomized controlled experimental design and uses a pretest-posttest control group model. This study included infants between December 2019 and December 2020 who were discharged early and subsequently admitted to the NICU. Experimental (n=38) and control (n=38) groups were assigned using the simple randomization technique at the NICU of a private university hospital in Istanbul, Türkiye. Heart rate, perfusion index, and oxygen saturation levels of the experimental group in which KMC was applied and the control group in which KMC was not applied were compared. Measurements of these parameters were made at 15-minute intervals for 45 minutes (0-1, 15, 30, 45 minutes). Data were collected via the Mother and Infant Introductory Information Form, Kangaroo Mother Care Preparation Checklist, Kangaroo Mother Care Physiological Parameter Monitoring Form, and Noninvaziv Pulse Co-Oximetry. Statistics of these data were performed with the independent sample t-test, Pearson's Chi-square, Fisher's exact test.</p><p><strong>Results: </strong>In the experimental and control groups, infants' gestational age (31.11 ± 3.25 and 31.61 ± 3.04, respectively; p = .491) and weight (1778.29 ± 436.93 and 1953.29 ± 345.74, respectively; p = .057) were similar, and the differences were statistically insignificant. Before KMC, there was no difference between the heart rate, oxygen saturation, and perfusion index values of the experimental and control groups (p > .05). From the first 15 minutes after the application of KMC to 45 minutes post-KMC, there was a significant decrease in (p=0.001) and stabilization of heart rate and oxygen saturation in the experimental group compared with the control group. The heart rates in the experimental group at 15th, 30th, and 45th minutes during KMC were lower than in the control group (147.63 ± 11.04; 142.47 ± 11.94; 136.82 ± 13.22 and 153.13 ± 8.73; 154.50 ± 7.27; 154.84 ± 7.05, respectively). Also, their oxygen saturation during KMC was higher than in the control group (96.68 ± 2.08; 97.24 ± 2.18; 97.87 ± 1.66 and 94.79 ± 1.27; 94.66 ± 1.45; 94.39 ± 1.38, respectively). This significant difference between KMC on heart rate and oxygen saturation in the experimental group compared to the control group continued for 45 minutes after KMC. The perfusion index was significantly higher at 30 minutes and 45 minutes during KMC. However, although it continued after KMC, this change in perfusion index was not statistically significant.</p><p><strong>Conclusion: </strong>Kangaroo mother care helps to regulate the heart rate, oxygen saturation, and perfusion index of premature infants who were discharged early and admitted to the NICU in the following days.</p>\",\"PeriodicalId\":73033,\"journal\":{\"name\":\"Florence Nightingale journal of nursing\",\"volume\":\"32 3\",\"pages\":\"221-231\"},\"PeriodicalIF\":0.8000,\"publicationDate\":\"2024-11-06\",\"publicationTypes\":\"Journal Article\",\"fieldsOfStudy\":null,\"isOpenAccess\":false,\"openAccessPdf\":\"https://www.ncbi.nlm.nih.gov/pmc/articles/PMC11562260/pdf/\",\"citationCount\":\"0\",\"resultStr\":null,\"platform\":\"Semanticscholar\",\"paperid\":null,\"PeriodicalName\":\"Florence Nightingale journal of nursing\",\"FirstCategoryId\":\"1085\",\"ListUrlMain\":\"https://doi.org/10.5152/FNJN.2024.23256\",\"RegionNum\":0,\"RegionCategory\":null,\"ArticlePicture\":[],\"TitleCN\":null,\"AbstractTextCN\":null,\"PMCID\":null,\"EPubDate\":\"\",\"PubModel\":\"\",\"JCR\":\"Q4\",\"JCRName\":\"NURSING\",\"Score\":null,\"Total\":0}","platform":"Semanticscholar","paperid":null,"PeriodicalName":"Florence Nightingale journal of nursing","FirstCategoryId":"1085","ListUrlMain":"https://doi.org/10.5152/FNJN.2024.23256","RegionNum":0,"RegionCategory":null,"ArticlePicture":[],"TitleCN":null,"AbstractTextCN":null,"PMCID":null,"EPubDate":"","PubModel":"","JCR":"Q4","JCRName":"NURSING","Score":null,"Total":0}
引用次数: 0

摘要

目的:确定袋鼠妈妈护理(Kangaroo Mother Care,KMC)对提前出院并在随后几天入住新生儿重症监护室(NICU)的早产儿的灌注指数、心率和血氧饱和度的影响:本研究采用随机对照实验设计,采用前测-后测对照组模式。本研究纳入了2019年12月至2020年12月期间提前出院并随后入住新生儿重症监护室的婴儿。实验组(38 人)和对照组(38 人)在土耳其伊斯坦布尔一家私立大学医院的新生儿重症监护室采用简单随机技术分配。比较了使用 KMC 的实验组和未使用 KMC 的对照组的心率、灌注指数和血氧饱和度水平。在 45 分钟内(0-1、15、30、45 分钟),每隔 15 分钟测量一次这些参数。数据通过母婴介绍信息表、袋鼠妈妈护理准备检查表、袋鼠妈妈护理生理参数监测表和非因瓦济夫脉搏共氧仪收集。这些数据的统计采用了独立样本 t 检验、皮尔逊卡方检验和费雪精确检验:实验组和对照组婴儿的胎龄(分别为 31.11 ± 3.25 和 31.61 ± 3.04;P = .491)和体重(分别为 1778.29 ± 436.93 和 1953.29 ± 345.74;P = .057)相似,差异无统计学意义。在使用 KMC 前,实验组和对照组的心率、血氧饱和度和灌注指数值均无差异(p > .05)。从使用 KMC 后的 15 分钟到 45 分钟,实验组的心率和血氧饱和度与对照组相比显著下降(p=0.001)并趋于稳定。实验组在 KMC 期间第 15、30 和 45 分钟的心率低于对照组(分别为 147.63 ± 11.04;142.47 ± 11.94;136.82 ± 13.22 和 153.13 ± 8.73;154.50 ± 7.27;154.84 ± 7.05)。此外,他们在 KMC 期间的血氧饱和度也高于对照组(分别为 96.68 ± 2.08;97.24 ± 2.18;97.87 ± 1.66 和 94.79 ± 1.27;94.66 ± 1.45;94.39 ± 1.38)。与对照组相比,实验组的 KMC 对心率和血氧饱和度的影响在 KMC 后 45 分钟内仍有明显差异。KMC 30 分钟和 45 分钟时的灌注指数明显较高。结论:袋鼠妈妈护理有助于调节婴儿的心率和血氧饱和度:结论:袋鼠妈妈护理有助于调节早产儿的心率、血氧饱和度和灌注指数。
本文章由计算机程序翻译,如有差异,请以英文原文为准。

Kangaroo Mother Care on Perfusion Index, Heart Rate, and Oxygen Saturation in Premature Infants Who were Discharged Early and Admitted to The Neonatal Intensive Care Unit: A Randomized Control Tria.

Kangaroo Mother Care on Perfusion Index, Heart Rate, and Oxygen Saturation in Premature Infants Who were Discharged Early and Admitted to The Neonatal Intensive Care Unit: A Randomized Control Tria.

Kangaroo Mother Care on Perfusion Index, Heart Rate, and Oxygen Saturation in Premature Infants Who were Discharged Early and Admitted to The Neonatal Intensive Care Unit: A Randomized Control Tria.

Kangaroo Mother Care on Perfusion Index, Heart Rate, and Oxygen Saturation in Premature Infants Who were Discharged Early and Admitted to The Neonatal Intensive Care Unit: A Randomized Control Tria.

Aim: To determine the effect of kangaroo mother care (KMC) on perfusion index, heart rate, and oxygen saturation in premature infants who were discharged early and admitted to the neonatal intensive care unit (NICU) in the following days.

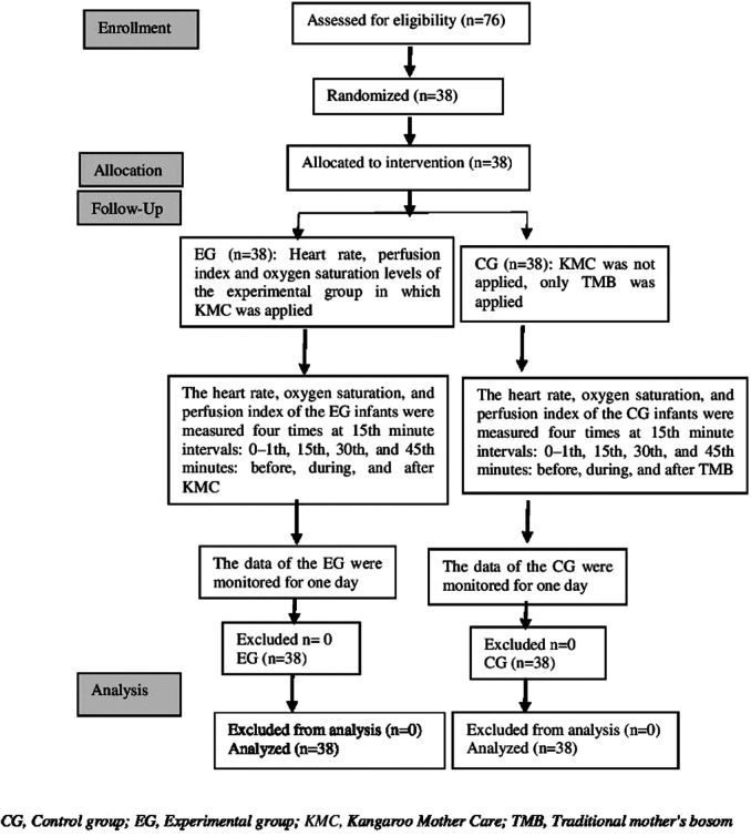
Methods: This study has a randomized controlled experimental design and uses a pretest-posttest control group model. This study included infants between December 2019 and December 2020 who were discharged early and subsequently admitted to the NICU. Experimental (n=38) and control (n=38) groups were assigned using the simple randomization technique at the NICU of a private university hospital in Istanbul, Türkiye. Heart rate, perfusion index, and oxygen saturation levels of the experimental group in which KMC was applied and the control group in which KMC was not applied were compared. Measurements of these parameters were made at 15-minute intervals for 45 minutes (0-1, 15, 30, 45 minutes). Data were collected via the Mother and Infant Introductory Information Form, Kangaroo Mother Care Preparation Checklist, Kangaroo Mother Care Physiological Parameter Monitoring Form, and Noninvaziv Pulse Co-Oximetry. Statistics of these data were performed with the independent sample t-test, Pearson's Chi-square, Fisher's exact test.

Results: In the experimental and control groups, infants' gestational age (31.11 ± 3.25 and 31.61 ± 3.04, respectively; p = .491) and weight (1778.29 ± 436.93 and 1953.29 ± 345.74, respectively; p = .057) were similar, and the differences were statistically insignificant. Before KMC, there was no difference between the heart rate, oxygen saturation, and perfusion index values of the experimental and control groups (p > .05). From the first 15 minutes after the application of KMC to 45 minutes post-KMC, there was a significant decrease in (p=0.001) and stabilization of heart rate and oxygen saturation in the experimental group compared with the control group. The heart rates in the experimental group at 15th, 30th, and 45th minutes during KMC were lower than in the control group (147.63 ± 11.04; 142.47 ± 11.94; 136.82 ± 13.22 and 153.13 ± 8.73; 154.50 ± 7.27; 154.84 ± 7.05, respectively). Also, their oxygen saturation during KMC was higher than in the control group (96.68 ± 2.08; 97.24 ± 2.18; 97.87 ± 1.66 and 94.79 ± 1.27; 94.66 ± 1.45; 94.39 ± 1.38, respectively). This significant difference between KMC on heart rate and oxygen saturation in the experimental group compared to the control group continued for 45 minutes after KMC. The perfusion index was significantly higher at 30 minutes and 45 minutes during KMC. However, although it continued after KMC, this change in perfusion index was not statistically significant.

Conclusion: Kangaroo mother care helps to regulate the heart rate, oxygen saturation, and perfusion index of premature infants who were discharged early and admitted to the NICU in the following days.

求助全文
通过发布文献求助,成功后即可免费获取论文全文。 去求助
来源期刊
CiteScore
0.60
自引率
0.00%
发文量
0
审稿时长
12 weeks
×
引用
GB/T 7714-2015
复制
MLA
复制
APA
复制
导出至
BibTeX EndNote RefMan NoteFirst NoteExpress
×
提示
您的信息不完整,为了账户安全,请先补充。
现在去补充
×
提示
您因"违规操作"
具体请查看互助需知
我知道了
×
提示
确定
请完成安全验证×
copy
已复制链接
快去分享给好友吧!
我知道了
右上角分享
点击右上角分享
0
联系我们:info@booksci.cn Book学术提供免费学术资源搜索服务,方便国内外学者检索中英文文献。致力于提供最便捷和优质的服务体验。 Copyright © 2023 布克学术 All rights reserved.
京ICP备2023020795号-1
ghs 京公网安备 11010802042870号
Book学术文献互助
Book学术文献互助群
群 号:604180095
Book学术官方微信