依赖型女性的自我态度与反思:比较研究。

IF 1.6 Q3 PSYCHOLOGY, MULTIDISCIPLINARY
Psychology in Russia-State of the Art Pub Date : 2024-03-15 eCollection Date: 2024-01-01 DOI:10.11621/pir.2024.0107
Anastasya S Kolenova, Anna M Kukulyar, Ekaterina G Denisova, Pavel N Ermakov
{"title":"依赖型女性的自我态度与反思:比较研究。","authors":"Anastasya S Kolenova, Anna M Kukulyar, Ekaterina G Denisova, Pavel N Ermakov","doi":"10.11621/pir.2024.0107","DOIUrl":null,"url":null,"abstract":"<p><strong>Background: </strong>Currently, psychological knowledge integrates theories on codependent behavior, advancing our understanding of this phenomenon. However, empirical research is lacking to understand its specific manifestations in relation to different types of addiction.</p><p><strong>Objective: </strong>To identify the features of self-attitude and reflection in codependent women.</p><p><strong>Design: </strong>The study included 233 women (ages 18-70), including 102 in relationships with a person addicted to alcohol, drugs, or suffering from a non-chemical addiction). The study was conducted using the following methods: Self-Attitude Questionnaire (Stolin & Panteleev, 1988); Differential Type of Reflection Questionnaire (Leontiev, 2009); and Codependency Self-Inventory Scale (CSIS; Weinhold & Weinhold, 1989; translated by A. G. Cheslavskaya, 2002).</p><p><strong>Results: </strong>Significant differences were observed in self-attitude and reflection. Women with high codependency have lower self-esteem and tend to underestimate their abilities, compared to the control group. They also exhibit a lower sense of control over their lives, lower self-consistency; they tend to focus on their weaknesses and shortcomings and are more inclined to self-blame. Quasi-reflexivity is more common in codependent women who have relationships with non-chemical addicts or do not identify an addict in their lives.</p><p><strong>Conclusion: </strong>There are significant differences in self-attitude and reflection between the control group and subgroups of women in relationships with different types of addicts; the same differences were observed in comparison of women with low and high codependency levels. The study contributes to a better understanding of the psychological mechanisms underlying codependent behavior in women and has implications for future research and clinical practice.</p>","PeriodicalId":44621,"journal":{"name":"Psychology in Russia-State of the Art","volume":"17 1","pages":"116-132"},"PeriodicalIF":1.6000,"publicationDate":"2024-03-15","publicationTypes":"Journal Article","fieldsOfStudy":null,"isOpenAccess":false,"openAccessPdf":"https://www.ncbi.nlm.nih.gov/pmc/articles/PMC11556258/pdf/","citationCount":"0","resultStr":"{\"title\":\"Self-Attitude and Reflection in Codependent Women: A Comparative Study.\",\"authors\":\"Anastasya S Kolenova, Anna M Kukulyar, Ekaterina G Denisova, Pavel N Ermakov\",\"doi\":\"10.11621/pir.2024.0107\",\"DOIUrl\":null,\"url\":null,\"abstract\":\"<p><strong>Background: </strong>Currently, psychological knowledge integrates theories on codependent behavior, advancing our understanding of this phenomenon. However, empirical research is lacking to understand its specific manifestations in relation to different types of addiction.</p><p><strong>Objective: </strong>To identify the features of self-attitude and reflection in codependent women.</p><p><strong>Design: </strong>The study included 233 women (ages 18-70), including 102 in relationships with a person addicted to alcohol, drugs, or suffering from a non-chemical addiction). The study was conducted using the following methods: Self-Attitude Questionnaire (Stolin & Panteleev, 1988); Differential Type of Reflection Questionnaire (Leontiev, 2009); and Codependency Self-Inventory Scale (CSIS; Weinhold & Weinhold, 1989; translated by A. G. Cheslavskaya, 2002).</p><p><strong>Results: </strong>Significant differences were observed in self-attitude and reflection. Women with high codependency have lower self-esteem and tend to underestimate their abilities, compared to the control group. They also exhibit a lower sense of control over their lives, lower self-consistency; they tend to focus on their weaknesses and shortcomings and are more inclined to self-blame. Quasi-reflexivity is more common in codependent women who have relationships with non-chemical addicts or do not identify an addict in their lives.</p><p><strong>Conclusion: </strong>There are significant differences in self-attitude and reflection between the control group and subgroups of women in relationships with different types of addicts; the same differences were observed in comparison of women with low and high codependency levels. The study contributes to a better understanding of the psychological mechanisms underlying codependent behavior in women and has implications for future research and clinical practice.</p>\",\"PeriodicalId\":44621,\"journal\":{\"name\":\"Psychology in Russia-State of the Art\",\"volume\":\"17 1\",\"pages\":\"116-132\"},\"PeriodicalIF\":1.6000,\"publicationDate\":\"2024-03-15\",\"publicationTypes\":\"Journal Article\",\"fieldsOfStudy\":null,\"isOpenAccess\":false,\"openAccessPdf\":\"https://www.ncbi.nlm.nih.gov/pmc/articles/PMC11556258/pdf/\",\"citationCount\":\"0\",\"resultStr\":null,\"platform\":\"Semanticscholar\",\"paperid\":null,\"PeriodicalName\":\"Psychology in Russia-State of the Art\",\"FirstCategoryId\":\"1085\",\"ListUrlMain\":\"https://doi.org/10.11621/pir.2024.0107\",\"RegionNum\":0,\"RegionCategory\":null,\"ArticlePicture\":[],\"TitleCN\":null,\"AbstractTextCN\":null,\"PMCID\":null,\"EPubDate\":\"2024/1/1 0:00:00\",\"PubModel\":\"eCollection\",\"JCR\":\"Q3\",\"JCRName\":\"PSYCHOLOGY, MULTIDISCIPLINARY\",\"Score\":null,\"Total\":0}","platform":"Semanticscholar","paperid":null,"PeriodicalName":"Psychology in Russia-State of the Art","FirstCategoryId":"1085","ListUrlMain":"https://doi.org/10.11621/pir.2024.0107","RegionNum":0,"RegionCategory":null,"ArticlePicture":[],"TitleCN":null,"AbstractTextCN":null,"PMCID":null,"EPubDate":"2024/1/1 0:00:00","PubModel":"eCollection","JCR":"Q3","JCRName":"PSYCHOLOGY, MULTIDISCIPLINARY","Score":null,"Total":0}
引用次数: 0

摘要

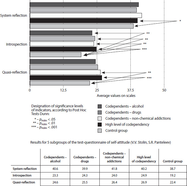
背景:目前,心理学知识整合了关于依赖行为的理论,加深了我们对这一现象的理解。然而,我们还缺乏实证研究来了解其在不同成瘾类型中的具体表现:设计:研究对象包括 233 名女性(18-70 岁),其中 102 人与酗酒者、吸毒者或非化学成瘾者有关系。)研究采用以下方法进行:自我态度问卷》(Stolin & Panteleev,1988 年);《反思类型差异问卷》(Leontiev,2009 年);《依赖性自我量表》(CSIS;Weinhold & Weinhold,1989 年;A. G. Cheslavskaya 译,2002 年):结果:在自我态度和反思方面发现了显著差异。与对照组相比,高度依赖他人的女性自尊心较低,往往低估自己的能力。她们还表现出对生活的控制感较低,自我一致性较低;她们倾向于关注自己的弱点和缺点,更倾向于自责。在与非化学成瘾者有关系或在生活中没有发现成瘾者的依赖女性中,准反射性更为常见:对照组和与不同类型成瘾者有关系的妇女分组之间在自我态度和反思方面存在明显差异;在比较低度和高度依赖妇女时也观察到同样的差异。这项研究有助于更好地理解女性依赖行为的心理机制,并对未来的研究和临床实践产生影响。
本文章由计算机程序翻译,如有差异,请以英文原文为准。

Self-Attitude and Reflection in Codependent Women: A Comparative Study.

Self-Attitude and Reflection in Codependent Women: A Comparative Study.

Self-Attitude and Reflection in Codependent Women: A Comparative Study.

Self-Attitude and Reflection in Codependent Women: A Comparative Study.

Background: Currently, psychological knowledge integrates theories on codependent behavior, advancing our understanding of this phenomenon. However, empirical research is lacking to understand its specific manifestations in relation to different types of addiction.

Objective: To identify the features of self-attitude and reflection in codependent women.

Design: The study included 233 women (ages 18-70), including 102 in relationships with a person addicted to alcohol, drugs, or suffering from a non-chemical addiction). The study was conducted using the following methods: Self-Attitude Questionnaire (Stolin & Panteleev, 1988); Differential Type of Reflection Questionnaire (Leontiev, 2009); and Codependency Self-Inventory Scale (CSIS; Weinhold & Weinhold, 1989; translated by A. G. Cheslavskaya, 2002).

Results: Significant differences were observed in self-attitude and reflection. Women with high codependency have lower self-esteem and tend to underestimate their abilities, compared to the control group. They also exhibit a lower sense of control over their lives, lower self-consistency; they tend to focus on their weaknesses and shortcomings and are more inclined to self-blame. Quasi-reflexivity is more common in codependent women who have relationships with non-chemical addicts or do not identify an addict in their lives.

Conclusion: There are significant differences in self-attitude and reflection between the control group and subgroups of women in relationships with different types of addicts; the same differences were observed in comparison of women with low and high codependency levels. The study contributes to a better understanding of the psychological mechanisms underlying codependent behavior in women and has implications for future research and clinical practice.

求助全文
通过发布文献求助,成功后即可免费获取论文全文。 去求助
来源期刊
Psychology in Russia-State of the Art
Psychology in Russia-State of the Art PSYCHOLOGY, MULTIDISCIPLINARY-
CiteScore
2.00
自引率
11.10%
发文量
11
审稿时长
14 weeks
期刊介绍: Established in 2008, the Russian Psychological Society''s Journal «Psychology in Russia: State of the Art» publishes original research on all aspects of general psychology including cognitive, clinical, developmental, social, neuropsychology, psychophysiology, psychology of labor and ergonomics, and methodology of psychological science. Journal''s list of authors comprises prominent scientists, practitioners and experts from leading Russian universities, research institutions, state ministries and private practice. Addressing current challenges of psychology, it also reviews developments in novel areas such as security, sport, and art psychology, as well as psychology of negotiations, cyberspace and virtual reality. The journal builds upon theoretical foundations laid by the works of Vygotsky, Luria and other Russian scientists whose works contributed to shaping the psychological science worldwide, and welcomes international submissions which make major contributions across the range of psychology, especially appreciating the ones conducted in the paradigm of the Russian psychological tradition. It enjoys a wide international readership and features reports of empirical studies, book reviews and theoretical contributions, which aim to further our understanding of psychology.
×
引用
GB/T 7714-2015
复制
MLA
复制
APA
复制
导出至
BibTeX EndNote RefMan NoteFirst NoteExpress
×
提示
您的信息不完整,为了账户安全,请先补充。
现在去补充
×
提示
您因"违规操作"
具体请查看互助需知
我知道了
×
提示
确定
请完成安全验证×
copy
已复制链接
快去分享给好友吧!
我知道了
右上角分享
点击右上角分享
0
联系我们:info@booksci.cn Book学术提供免费学术资源搜索服务,方便国内外学者检索中英文文献。致力于提供最便捷和优质的服务体验。 Copyright © 2023 布克学术 All rights reserved.
京ICP备2023020795号-1
ghs 京公网安备 11010802042870号
Book学术文献互助
Book学术文献互助群
群 号:604180095
Book学术官方微信