瑞典特发性肺纤维化患者的抗纤维化药物治疗:一项以登记为基础的观察性研究。

IF 2.3 3区 医学 Q2 RESPIRATORY SYSTEM
Lisa Carlson, Dimitrios Kalafatis, Ida Pesonen, Jesper M Magnusson, Magnus Skold
{"title":"瑞典特发性肺纤维化患者的抗纤维化药物治疗:一项以登记为基础的观察性研究。","authors":"Lisa Carlson, Dimitrios Kalafatis, Ida Pesonen, Jesper M Magnusson, Magnus Skold","doi":"10.1177/14799731241299443","DOIUrl":null,"url":null,"abstract":"<p><strong>Objectives: </strong>Idiopathic pulmonary fibrosis (IPF) is characterized by progressive fibrosis of the lung parenchyma, resulting in respiratory failure. This study analysed differences in patient characteristics and antifibrotic treatment strategies during the first years after IPF diagnosis.</p><p><strong>Methods: </strong>Data from patients with IPF was extracted from the Swedish IPF registry. Patients were defined as treated (either as fully- or reduced treated) or non-treated with antifibrotic drugs. Differences in clinical parameters and side effects were defined.</p><p><strong>Results: </strong>Among 532 patients, 371 received treatment with antifibrotic drugs. Treated patients were younger, had worse lung function, higher body mass index (BMI), higher Gender-Age-Physiology stage, and were more often on oxygen treatment. Non-treated patients displayed a stable BMI, whereas patients treated with antifibrotics declined in BMI during follow-up. More than half (56%) of treated patients had reduced antifibrotic treatment. Sixty per cent reported side effects, with diarrhoea, nausea, and skin rash as the most common.</p><p><strong>Conclusions: </strong>Patients prescribed antifibrotic treatment had more advanced disease compared to patients not prescribed antifibrotics. A considerable proportion of the patients had reduced treatment, probably due to more side effects in this group. This indicates that individuals starting treatment at IPF diagnosis are considered to be in greater need of antifibrotic drug treatment by the prescriber, compared to individuals with less severe disease.</p>","PeriodicalId":10217,"journal":{"name":"Chronic Respiratory Disease","volume":"21 ","pages":"14799731241299443"},"PeriodicalIF":2.3000,"publicationDate":"2024-01-01","publicationTypes":"Journal Article","fieldsOfStudy":null,"isOpenAccess":false,"openAccessPdf":"https://www.ncbi.nlm.nih.gov/pmc/articles/PMC11558727/pdf/","citationCount":"0","resultStr":"{\"title\":\"Antifibrotic drug treatment of patients with idiopathic pulmonary fibrosis in Sweden: A registry-based observational study.\",\"authors\":\"Lisa Carlson, Dimitrios Kalafatis, Ida Pesonen, Jesper M Magnusson, Magnus Skold\",\"doi\":\"10.1177/14799731241299443\",\"DOIUrl\":null,\"url\":null,\"abstract\":\"<p><strong>Objectives: </strong>Idiopathic pulmonary fibrosis (IPF) is characterized by progressive fibrosis of the lung parenchyma, resulting in respiratory failure. This study analysed differences in patient characteristics and antifibrotic treatment strategies during the first years after IPF diagnosis.</p><p><strong>Methods: </strong>Data from patients with IPF was extracted from the Swedish IPF registry. Patients were defined as treated (either as fully- or reduced treated) or non-treated with antifibrotic drugs. Differences in clinical parameters and side effects were defined.</p><p><strong>Results: </strong>Among 532 patients, 371 received treatment with antifibrotic drugs. Treated patients were younger, had worse lung function, higher body mass index (BMI), higher Gender-Age-Physiology stage, and were more often on oxygen treatment. Non-treated patients displayed a stable BMI, whereas patients treated with antifibrotics declined in BMI during follow-up. More than half (56%) of treated patients had reduced antifibrotic treatment. Sixty per cent reported side effects, with diarrhoea, nausea, and skin rash as the most common.</p><p><strong>Conclusions: </strong>Patients prescribed antifibrotic treatment had more advanced disease compared to patients not prescribed antifibrotics. A considerable proportion of the patients had reduced treatment, probably due to more side effects in this group. This indicates that individuals starting treatment at IPF diagnosis are considered to be in greater need of antifibrotic drug treatment by the prescriber, compared to individuals with less severe disease.</p>\",\"PeriodicalId\":10217,\"journal\":{\"name\":\"Chronic Respiratory Disease\",\"volume\":\"21 \",\"pages\":\"14799731241299443\"},\"PeriodicalIF\":2.3000,\"publicationDate\":\"2024-01-01\",\"publicationTypes\":\"Journal Article\",\"fieldsOfStudy\":null,\"isOpenAccess\":false,\"openAccessPdf\":\"https://www.ncbi.nlm.nih.gov/pmc/articles/PMC11558727/pdf/\",\"citationCount\":\"0\",\"resultStr\":null,\"platform\":\"Semanticscholar\",\"paperid\":null,\"PeriodicalName\":\"Chronic Respiratory Disease\",\"FirstCategoryId\":\"3\",\"ListUrlMain\":\"https://doi.org/10.1177/14799731241299443\",\"RegionNum\":3,\"RegionCategory\":\"医学\",\"ArticlePicture\":[],\"TitleCN\":null,\"AbstractTextCN\":null,\"PMCID\":null,\"EPubDate\":\"\",\"PubModel\":\"\",\"JCR\":\"Q2\",\"JCRName\":\"RESPIRATORY SYSTEM\",\"Score\":null,\"Total\":0}","platform":"Semanticscholar","paperid":null,"PeriodicalName":"Chronic Respiratory Disease","FirstCategoryId":"3","ListUrlMain":"https://doi.org/10.1177/14799731241299443","RegionNum":3,"RegionCategory":"医学","ArticlePicture":[],"TitleCN":null,"AbstractTextCN":null,"PMCID":null,"EPubDate":"","PubModel":"","JCR":"Q2","JCRName":"RESPIRATORY SYSTEM","Score":null,"Total":0}
引用次数: 0

摘要

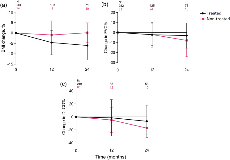
目的:特发性肺纤维化(IPF)的特点是肺实质进行性纤维化,导致呼吸衰竭。本研究分析了 IPF 诊断后最初几年患者特征和抗纤维化治疗策略的差异:方法:从瑞典 IPF 登记处提取 IPF 患者的数据。患者被定义为接受过治疗(完全治疗或减量治疗)或未接受过抗纤维化药物治疗。对临床参数和副作用的差异进行了界定:在532名患者中,371人接受了抗纤维化药物治疗。接受治疗的患者年龄更小、肺功能更差、体重指数(BMI)更高、性别-年龄-生理学分期更高,并且更经常接受氧气治疗。未接受治疗的患者体重指数保持稳定,而接受抗纤维化药物治疗的患者在随访期间体重指数有所下降。一半以上(56%)接受治疗的患者减少了抗纤维化治疗。60%的患者报告了副作用,其中最常见的是腹泻、恶心和皮疹:结论:与未接受抗纤维化治疗的患者相比,接受抗纤维化治疗的患者病情更严重。相当一部分患者减少了治疗,这可能是由于这部分患者的副作用较多。这表明,与病情较轻的患者相比,在确诊 IPF 时开始治疗的患者被处方医生认为更需要抗纤维化药物治疗。
本文章由计算机程序翻译,如有差异,请以英文原文为准。

Antifibrotic drug treatment of patients with idiopathic pulmonary fibrosis in Sweden: A registry-based observational study.

Antifibrotic drug treatment of patients with idiopathic pulmonary fibrosis in Sweden: A registry-based observational study.

Antifibrotic drug treatment of patients with idiopathic pulmonary fibrosis in Sweden: A registry-based observational study.

Antifibrotic drug treatment of patients with idiopathic pulmonary fibrosis in Sweden: A registry-based observational study.

Objectives: Idiopathic pulmonary fibrosis (IPF) is characterized by progressive fibrosis of the lung parenchyma, resulting in respiratory failure. This study analysed differences in patient characteristics and antifibrotic treatment strategies during the first years after IPF diagnosis.

Methods: Data from patients with IPF was extracted from the Swedish IPF registry. Patients were defined as treated (either as fully- or reduced treated) or non-treated with antifibrotic drugs. Differences in clinical parameters and side effects were defined.

Results: Among 532 patients, 371 received treatment with antifibrotic drugs. Treated patients were younger, had worse lung function, higher body mass index (BMI), higher Gender-Age-Physiology stage, and were more often on oxygen treatment. Non-treated patients displayed a stable BMI, whereas patients treated with antifibrotics declined in BMI during follow-up. More than half (56%) of treated patients had reduced antifibrotic treatment. Sixty per cent reported side effects, with diarrhoea, nausea, and skin rash as the most common.

Conclusions: Patients prescribed antifibrotic treatment had more advanced disease compared to patients not prescribed antifibrotics. A considerable proportion of the patients had reduced treatment, probably due to more side effects in this group. This indicates that individuals starting treatment at IPF diagnosis are considered to be in greater need of antifibrotic drug treatment by the prescriber, compared to individuals with less severe disease.

求助全文
通过发布文献求助,成功后即可免费获取论文全文。 去求助
来源期刊
Chronic Respiratory Disease
Chronic Respiratory Disease RESPIRATORY SYSTEM-
CiteScore
5.90
自引率
7.30%
发文量
47
审稿时长
11 weeks
期刊介绍: Chronic Respiratory Disease is a peer-reviewed, open access, scholarly journal, created in response to the rising incidence of chronic respiratory diseases worldwide. It publishes high quality research papers and original articles that have immediate relevance to clinical practice and its multi-disciplinary perspective reflects the nature of modern treatment. The journal provides a high quality, multi-disciplinary focus for the publication of original papers, reviews and commentary in the broad area of chronic respiratory disease, particularly its treatment and management.
×
引用
GB/T 7714-2015
复制
MLA
复制
APA
复制
导出至
BibTeX EndNote RefMan NoteFirst NoteExpress
×
提示
您的信息不完整,为了账户安全,请先补充。
现在去补充
×
提示
您因"违规操作"
具体请查看互助需知
我知道了
×
提示
确定
请完成安全验证×
copy
已复制链接
快去分享给好友吧!
我知道了
右上角分享
点击右上角分享
0
联系我们:info@booksci.cn Book学术提供免费学术资源搜索服务,方便国内外学者检索中英文文献。致力于提供最便捷和优质的服务体验。 Copyright © 2023 布克学术 All rights reserved.
京ICP备2023020795号-1
ghs 京公网安备 11010802042870号
Book学术文献互助
Book学术文献互助群
群 号:604180095
Book学术官方微信