语义特征分析疗法对双语失语症患者叙事能力的内部和跨语言泛化。

IF 0.7 4区 医学 Q3 AUDIOLOGY & SPEECH-LANGUAGE PATHOLOGY
Folia Phoniatrica et Logopaedica Pub Date : 2025-01-01 Epub Date: 2024-11-07 DOI:10.1159/000542477
Alina Bihovsky, Michal Ben-Shachar, Natalia Meir
{"title":"语义特征分析疗法对双语失语症患者叙事能力的内部和跨语言泛化。","authors":"Alina Bihovsky, Michal Ben-Shachar, Natalia Meir","doi":"10.1159/000542477","DOIUrl":null,"url":null,"abstract":"<p><strong>Introduction: </strong>Semantic Feature Analysis (SFA) therapy is a widely used approach for single-word naming treatment in monolingual and bilingual persons with aphasia (BiPWAs). There is evidence that SFA leads to naming improvements in both treated and untreated languages of BiPWAs. However, research on the generalization effects of SFA on narrative production is scarce. This study investigated the within- and cross-language generalization effects of SFA on narrative production and its relationship to naming gains in a group of L1-Russian-L2-Hebrew chronic-stage BiPWAs.</p><p><strong>Methods: </strong>The study included two groups of BiPWAs. In the experimental group, ten individuals received one or two blocks of SFA, while ten participants who did not receive therapy served as a control group. We compared the changes in narrative production between the experimental and control groups and examined whether the narrative changes in the experimental group were related to naming gains.</p><p><strong>Results: </strong>The results indicated that SFA generalized to narrative production in the experimental group. Within-language generalization was observed following SFA in L1, while cross-language generalization was found following SFA in both L1 and L2.</p><p><strong>Conclusion: </strong>Although SFA has the potential to generalize to narrative production in BiPWAs, this effect did not consistently align with the therapy gains in naming. To achieve greater within- and cross-language generalization effects, we recommend providing SFA in the L1 of BiPWAs.</p>","PeriodicalId":12114,"journal":{"name":"Folia Phoniatrica et Logopaedica","volume":" ","pages":"284-299"},"PeriodicalIF":0.7000,"publicationDate":"2025-01-01","publicationTypes":"Journal Article","fieldsOfStudy":null,"isOpenAccess":false,"openAccessPdf":"https://www.ncbi.nlm.nih.gov/pmc/articles/PMC12151528/pdf/","citationCount":"0","resultStr":"{\"title\":\"Within- and Cross-Language Generalization in Narrative Production of Bilingual Persons with Aphasia following Semantic Feature Analysis Therapy.\",\"authors\":\"Alina Bihovsky, Michal Ben-Shachar, Natalia Meir\",\"doi\":\"10.1159/000542477\",\"DOIUrl\":null,\"url\":null,\"abstract\":\"<p><strong>Introduction: </strong>Semantic Feature Analysis (SFA) therapy is a widely used approach for single-word naming treatment in monolingual and bilingual persons with aphasia (BiPWAs). There is evidence that SFA leads to naming improvements in both treated and untreated languages of BiPWAs. However, research on the generalization effects of SFA on narrative production is scarce. This study investigated the within- and cross-language generalization effects of SFA on narrative production and its relationship to naming gains in a group of L1-Russian-L2-Hebrew chronic-stage BiPWAs.</p><p><strong>Methods: </strong>The study included two groups of BiPWAs. In the experimental group, ten individuals received one or two blocks of SFA, while ten participants who did not receive therapy served as a control group. We compared the changes in narrative production between the experimental and control groups and examined whether the narrative changes in the experimental group were related to naming gains.</p><p><strong>Results: </strong>The results indicated that SFA generalized to narrative production in the experimental group. Within-language generalization was observed following SFA in L1, while cross-language generalization was found following SFA in both L1 and L2.</p><p><strong>Conclusion: </strong>Although SFA has the potential to generalize to narrative production in BiPWAs, this effect did not consistently align with the therapy gains in naming. To achieve greater within- and cross-language generalization effects, we recommend providing SFA in the L1 of BiPWAs.</p>\",\"PeriodicalId\":12114,\"journal\":{\"name\":\"Folia Phoniatrica et Logopaedica\",\"volume\":\" \",\"pages\":\"284-299\"},\"PeriodicalIF\":0.7000,\"publicationDate\":\"2025-01-01\",\"publicationTypes\":\"Journal Article\",\"fieldsOfStudy\":null,\"isOpenAccess\":false,\"openAccessPdf\":\"https://www.ncbi.nlm.nih.gov/pmc/articles/PMC12151528/pdf/\",\"citationCount\":\"0\",\"resultStr\":null,\"platform\":\"Semanticscholar\",\"paperid\":null,\"PeriodicalName\":\"Folia Phoniatrica et Logopaedica\",\"FirstCategoryId\":\"3\",\"ListUrlMain\":\"https://doi.org/10.1159/000542477\",\"RegionNum\":4,\"RegionCategory\":\"医学\",\"ArticlePicture\":[],\"TitleCN\":null,\"AbstractTextCN\":null,\"PMCID\":null,\"EPubDate\":\"2024/11/7 0:00:00\",\"PubModel\":\"Epub\",\"JCR\":\"Q3\",\"JCRName\":\"AUDIOLOGY & SPEECH-LANGUAGE PATHOLOGY\",\"Score\":null,\"Total\":0}","platform":"Semanticscholar","paperid":null,"PeriodicalName":"Folia Phoniatrica et Logopaedica","FirstCategoryId":"3","ListUrlMain":"https://doi.org/10.1159/000542477","RegionNum":4,"RegionCategory":"医学","ArticlePicture":[],"TitleCN":null,"AbstractTextCN":null,"PMCID":null,"EPubDate":"2024/11/7 0:00:00","PubModel":"Epub","JCR":"Q3","JCRName":"AUDIOLOGY & SPEECH-LANGUAGE PATHOLOGY","Score":null,"Total":0}
引用次数: 0

摘要

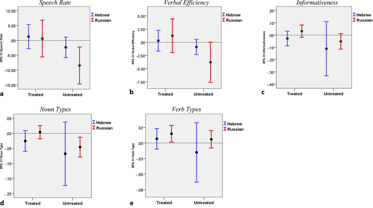
简介语义特征分析疗法(SFA)是一种广泛应用于单语和双语失语症患者(BiPWAs)单词命名治疗的方法。有证据表明,语义特征分析疗法可改善双语失语症患者在治疗和未治疗语言中的命名能力。然而,有关 SFA 对叙事能力的推广效果的研究却很少:本研究调查了 SFA 对一组 L1-Russian - L2-Hebrew 慢性阶段 BiPWAs 的叙事能力产生的语言内和跨语言泛化效果及其与命名能力提高之间的关系:研究包括两组 BiPWAs。在实验组中,10 人接受了一到两个 SFA 治疗,而 10 名未接受治疗的参与者作为对照组。我们比较了实验组和对照组在叙事能力方面的变化,并研究了实验组的叙事能力变化是否与命名能力的提高有关:结果:结果表明,在实验组中,SFA 在叙事能力方面产生了普遍性。结果:结果表明,SFA 对实验组的叙事能力产生了普遍影响,在 L1 的 SFA 之后观察到了语言内的普遍性,而在 L1 和 L2 的 SFA 之后发现了跨语言的普遍性:结论:尽管 SFA 有可能对双语残疾人的叙事能力产生影响,但这种影响与命名方面的治疗效果并不一致。为了实现更大的语言内和跨语言泛化效果,我们建议为双语残疾人提供 L1 的 SFA。
本文章由计算机程序翻译,如有差异,请以英文原文为准。

Within- and Cross-Language Generalization in Narrative Production of Bilingual Persons with Aphasia following Semantic Feature Analysis Therapy.

Within- and Cross-Language Generalization in Narrative Production of Bilingual Persons with Aphasia following Semantic Feature Analysis Therapy.

Within- and Cross-Language Generalization in Narrative Production of Bilingual Persons with Aphasia following Semantic Feature Analysis Therapy.

Introduction: Semantic Feature Analysis (SFA) therapy is a widely used approach for single-word naming treatment in monolingual and bilingual persons with aphasia (BiPWAs). There is evidence that SFA leads to naming improvements in both treated and untreated languages of BiPWAs. However, research on the generalization effects of SFA on narrative production is scarce. This study investigated the within- and cross-language generalization effects of SFA on narrative production and its relationship to naming gains in a group of L1-Russian-L2-Hebrew chronic-stage BiPWAs.

Methods: The study included two groups of BiPWAs. In the experimental group, ten individuals received one or two blocks of SFA, while ten participants who did not receive therapy served as a control group. We compared the changes in narrative production between the experimental and control groups and examined whether the narrative changes in the experimental group were related to naming gains.

Results: The results indicated that SFA generalized to narrative production in the experimental group. Within-language generalization was observed following SFA in L1, while cross-language generalization was found following SFA in both L1 and L2.

Conclusion: Although SFA has the potential to generalize to narrative production in BiPWAs, this effect did not consistently align with the therapy gains in naming. To achieve greater within- and cross-language generalization effects, we recommend providing SFA in the L1 of BiPWAs.

求助全文
通过发布文献求助,成功后即可免费获取论文全文。 去求助
来源期刊
Folia Phoniatrica et Logopaedica
Folia Phoniatrica et Logopaedica AUDIOLOGY & SPEECH-LANGUAGE PATHOLOGY-OTORHINOLARYNGOLOGY
CiteScore
2.30
自引率
10.00%
发文量
28
审稿时长
>12 weeks
期刊介绍: Published since 1947, ''Folia Phoniatrica et Logopaedica'' provides a forum for international research on the anatomy, physiology, and pathology of structures of the speech, language, and hearing mechanisms. Original papers published in this journal report new findings on basic function, assessment, management, and test development in communication sciences and disorders, as well as experiments designed to test specific theories of speech, language, and hearing function. Review papers of high quality are also welcomed.
×
引用
GB/T 7714-2015
复制
MLA
复制
APA
复制
导出至
BibTeX EndNote RefMan NoteFirst NoteExpress
×
提示
您的信息不完整,为了账户安全,请先补充。
现在去补充
×
提示
您因"违规操作"
具体请查看互助需知
我知道了
×
提示
确定
请完成安全验证×
copy
已复制链接
快去分享给好友吧!
我知道了
右上角分享
点击右上角分享
0
联系我们:info@booksci.cn Book学术提供免费学术资源搜索服务,方便国内外学者检索中英文文献。致力于提供最便捷和优质的服务体验。 Copyright © 2023 布克学术 All rights reserved.
京ICP备2023020795号-1
ghs 京公网安备 11010802042870号
Book学术文献互助
Book学术文献互助群
群 号:604180095
Book学术官方微信