GLPG3970 对健康成人磺胺沙拉嗪和甲氨蝶呤药代动力学的影响:两项开放标签 I 期药物相互作用研究

IF 5.5 2区 医学 Q1 PHARMACOLOGY & PHARMACY
Mariska van der Plas, Justine Dao, Volha Zabela, Fien Gistelinck, Susan Bellaire
{"title":"GLPG3970 对健康成人磺胺沙拉嗪和甲氨蝶呤药代动力学的影响:两项开放标签 I 期药物相互作用研究","authors":"Mariska van der Plas,&nbsp;Justine Dao,&nbsp;Volha Zabela,&nbsp;Fien Gistelinck,&nbsp;Susan Bellaire","doi":"10.1002/cpt.3438","DOIUrl":null,"url":null,"abstract":"<p>GLPG3970 is a selective salt-inducible kinase 2/3 inhibitor intended for the treatment of inflammatory diseases. <i>In vitro</i> studies suggest GLPG3970 strongly inhibits breast cancer resistance protein (BCRP), indicating a possible interaction with BCRP substrates such as sulfasalazine (SSZ; a probe substrate for intestinal BCRP inhibition) and methotrexate (MTX), both inflammatory disease medications. Two open-label, nonrandomized, phase I, drug–drug interaction (DDI) studies assessed the pharmacokinetics of SSZ 1,000 mg (NCT04720183) and MTX 7.5 mg (EudraCT: 2020-000391-37) with and without GLPG3970 350 mg. Healthy participants aged 18–55 years with wild-type homozygous BCRP genotype (c421C/C) received: SSZ on day (D)1, GLPG3970 + SSZ on D5, and GLPG3970 2 hours after SSZ on D9 (<i>N</i> = 8; SSZ/GLPG3970 DDI study); MTX on D1, GLPG3970 + MTX on D5, and GLPG3970 on D6–8 (<i>N</i> = 15; MTX/GLPG3970 DDI study). Primary end points were AUC and <i>C</i><sub>max</sub> (“exposure”) of SSZ and its metabolite (sulfapyridine [SPD]), SPD:SSZ AUC ratio (SSZ/GLPG3970 study), and AUC and <i>C</i><sub>max</sub> (“exposure”) of MTX (MTX/GLPG3970 study). DDIs were evaluated using the geometric mean ratio of each end point; a &gt; 2-fold increase in SSZ or MTX exposure was deemed clinically relevant. GLPG3970 demonstrated mild inhibition of intestinal BCRP <i>in vivo</i>: GLPG3970 + SSZ increased SSZ exposure ~1.7–1.8-fold and decreased SPD:SSZ ratio ~ 2-fold vs. SSZ alone. GLPG3970 administered 2 hours after SSZ did not change the magnitude of the interaction. GLPG3970 + MTX had no relevant effect on MTX pharmacokinetics vs. MTX alone. Therefore, the strong <i>in vitro</i> BCRP inhibition was not confirmed <i>in vivo</i>. No safety concerns were observed when GLPG3970 was coadministered with SSZ or MTX.</p>","PeriodicalId":153,"journal":{"name":"Clinical Pharmacology & Therapeutics","volume":"117 2","pages":"427-435"},"PeriodicalIF":5.5000,"publicationDate":"2024-11-08","publicationTypes":"Journal Article","fieldsOfStudy":null,"isOpenAccess":false,"openAccessPdf":"https://www.ncbi.nlm.nih.gov/pmc/articles/PMC11739741/pdf/","citationCount":"0","resultStr":"{\"title\":\"Effects of GLPG3970 on Sulfasalazine and Methotrexate Pharmacokinetics in Healthy Adults: Two Open-Label, Phase I, Drug–Drug Interaction Studies\",\"authors\":\"Mariska van der Plas,&nbsp;Justine Dao,&nbsp;Volha Zabela,&nbsp;Fien Gistelinck,&nbsp;Susan Bellaire\",\"doi\":\"10.1002/cpt.3438\",\"DOIUrl\":null,\"url\":null,\"abstract\":\"<p>GLPG3970 is a selective salt-inducible kinase 2/3 inhibitor intended for the treatment of inflammatory diseases. <i>In vitro</i> studies suggest GLPG3970 strongly inhibits breast cancer resistance protein (BCRP), indicating a possible interaction with BCRP substrates such as sulfasalazine (SSZ; a probe substrate for intestinal BCRP inhibition) and methotrexate (MTX), both inflammatory disease medications. Two open-label, nonrandomized, phase I, drug–drug interaction (DDI) studies assessed the pharmacokinetics of SSZ 1,000 mg (NCT04720183) and MTX 7.5 mg (EudraCT: 2020-000391-37) with and without GLPG3970 350 mg. Healthy participants aged 18–55 years with wild-type homozygous BCRP genotype (c421C/C) received: SSZ on day (D)1, GLPG3970 + SSZ on D5, and GLPG3970 2 hours after SSZ on D9 (<i>N</i> = 8; SSZ/GLPG3970 DDI study); MTX on D1, GLPG3970 + MTX on D5, and GLPG3970 on D6–8 (<i>N</i> = 15; MTX/GLPG3970 DDI study). Primary end points were AUC and <i>C</i><sub>max</sub> (“exposure”) of SSZ and its metabolite (sulfapyridine [SPD]), SPD:SSZ AUC ratio (SSZ/GLPG3970 study), and AUC and <i>C</i><sub>max</sub> (“exposure”) of MTX (MTX/GLPG3970 study). DDIs were evaluated using the geometric mean ratio of each end point; a &gt; 2-fold increase in SSZ or MTX exposure was deemed clinically relevant. GLPG3970 demonstrated mild inhibition of intestinal BCRP <i>in vivo</i>: GLPG3970 + SSZ increased SSZ exposure ~1.7–1.8-fold and decreased SPD:SSZ ratio ~ 2-fold vs. SSZ alone. GLPG3970 administered 2 hours after SSZ did not change the magnitude of the interaction. GLPG3970 + MTX had no relevant effect on MTX pharmacokinetics vs. MTX alone. Therefore, the strong <i>in vitro</i> BCRP inhibition was not confirmed <i>in vivo</i>. No safety concerns were observed when GLPG3970 was coadministered with SSZ or MTX.</p>\",\"PeriodicalId\":153,\"journal\":{\"name\":\"Clinical Pharmacology & Therapeutics\",\"volume\":\"117 2\",\"pages\":\"427-435\"},\"PeriodicalIF\":5.5000,\"publicationDate\":\"2024-11-08\",\"publicationTypes\":\"Journal Article\",\"fieldsOfStudy\":null,\"isOpenAccess\":false,\"openAccessPdf\":\"https://www.ncbi.nlm.nih.gov/pmc/articles/PMC11739741/pdf/\",\"citationCount\":\"0\",\"resultStr\":null,\"platform\":\"Semanticscholar\",\"paperid\":null,\"PeriodicalName\":\"Clinical Pharmacology & Therapeutics\",\"FirstCategoryId\":\"3\",\"ListUrlMain\":\"https://ascpt.onlinelibrary.wiley.com/doi/10.1002/cpt.3438\",\"RegionNum\":2,\"RegionCategory\":\"医学\",\"ArticlePicture\":[],\"TitleCN\":null,\"AbstractTextCN\":null,\"PMCID\":null,\"EPubDate\":\"\",\"PubModel\":\"\",\"JCR\":\"Q1\",\"JCRName\":\"PHARMACOLOGY & PHARMACY\",\"Score\":null,\"Total\":0}","platform":"Semanticscholar","paperid":null,"PeriodicalName":"Clinical Pharmacology & Therapeutics","FirstCategoryId":"3","ListUrlMain":"https://ascpt.onlinelibrary.wiley.com/doi/10.1002/cpt.3438","RegionNum":2,"RegionCategory":"医学","ArticlePicture":[],"TitleCN":null,"AbstractTextCN":null,"PMCID":null,"EPubDate":"","PubModel":"","JCR":"Q1","JCRName":"PHARMACOLOGY & PHARMACY","Score":null,"Total":0}
引用次数: 0

摘要

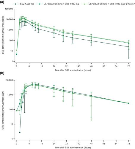
GLPG3970 是一种选择性盐诱导激酶 2/3 抑制剂,用于治疗炎症性疾病。体外研究表明,GLPG3970 能强烈抑制乳腺癌抗性蛋白 (BCRP),这表明它可能与磺胺沙拉嗪 (SSZ; 抑制肠道 BCRP 的探针底物) 和甲氨蝶呤 (MTX) 等 BCRP 底物发生相互作用,这两种药物都是治疗炎症性疾病的药物。两项开放标签、非随机、I 期药物相互作用 (DDI) 研究评估了 SSZ 1,000 mg(NCT04720183)和 MTX 7.5 mg(EudraCT:2020-000391-37)与 GLPG3970 350 mg 和不与 GLPG3970 350 mg 的药代动力学。年龄在 18-55 岁、具有野生型同型 BCRP 基因型(c421C/C)的健康参与者接受了以下治疗:第 1 天接受 SSZ,第 5 天接受 GLPG3970 + SSZ,第 9 天接受 SSZ 2 小时后的 GLPG3970(N = 8;SSZ/GLPG3970 DDI 研究);第 1 天接受 MTX,第 5 天接受 GLPG3970 + MTX,第 6-8 天接受 GLPG3970(N = 15;MTX/GLPG3970 DDI 研究)。主要终点为 SSZ 及其代谢物(磺胺吡啶 [SPD])的 AUC 和 Cmax("暴露量")、SPD:SSZ AUC 比值(SSZ/GLPG3970 研究)以及 MTX 的 AUC 和 Cmax("暴露量")(MTX/GLPG3970 研究)。使用各终点的几何平均比值评估DDI;SSZ或MTX暴露量增加>2倍被视为具有临床相关性。GLPG3970 对体内肠道 BCRP 有轻度抑制作用:与单独使用 SSZ 相比,GLPG3970 + SSZ 可使 SSZ 暴露增加约 1.7-1.8 倍,使 SPD:SSZ 比率降低约 2 倍。在 SSZ 给药 2 小时后再给 GLPG3970 不会改变相互作用的程度。与单独使用 MTX 相比,GLPG3970 + MTX 对 MTX 的药代动力学没有相关影响。因此,体外对 BCRP 的强烈抑制作用并未在体内得到证实。GLPG3970 与 SSZ 或 MTX 联合用药时未发现任何安全性问题。
本文章由计算机程序翻译,如有差异,请以英文原文为准。

Effects of GLPG3970 on Sulfasalazine and Methotrexate Pharmacokinetics in Healthy Adults: Two Open-Label, Phase I, Drug–Drug Interaction Studies

Effects of GLPG3970 on Sulfasalazine and Methotrexate Pharmacokinetics in Healthy Adults: Two Open-Label, Phase I, Drug–Drug Interaction Studies

Effects of GLPG3970 on Sulfasalazine and Methotrexate Pharmacokinetics in Healthy Adults: Two Open-Label, Phase I, Drug–Drug Interaction Studies

Effects of GLPG3970 on Sulfasalazine and Methotrexate Pharmacokinetics in Healthy Adults: Two Open-Label, Phase I, Drug–Drug Interaction Studies

Effects of GLPG3970 on Sulfasalazine and Methotrexate Pharmacokinetics in Healthy Adults: Two Open-Label, Phase I, Drug–Drug Interaction Studies

GLPG3970 is a selective salt-inducible kinase 2/3 inhibitor intended for the treatment of inflammatory diseases. In vitro studies suggest GLPG3970 strongly inhibits breast cancer resistance protein (BCRP), indicating a possible interaction with BCRP substrates such as sulfasalazine (SSZ; a probe substrate for intestinal BCRP inhibition) and methotrexate (MTX), both inflammatory disease medications. Two open-label, nonrandomized, phase I, drug–drug interaction (DDI) studies assessed the pharmacokinetics of SSZ 1,000 mg (NCT04720183) and MTX 7.5 mg (EudraCT: 2020-000391-37) with and without GLPG3970 350 mg. Healthy participants aged 18–55 years with wild-type homozygous BCRP genotype (c421C/C) received: SSZ on day (D)1, GLPG3970 + SSZ on D5, and GLPG3970 2 hours after SSZ on D9 (N = 8; SSZ/GLPG3970 DDI study); MTX on D1, GLPG3970 + MTX on D5, and GLPG3970 on D6–8 (N = 15; MTX/GLPG3970 DDI study). Primary end points were AUC and Cmax (“exposure”) of SSZ and its metabolite (sulfapyridine [SPD]), SPD:SSZ AUC ratio (SSZ/GLPG3970 study), and AUC and Cmax (“exposure”) of MTX (MTX/GLPG3970 study). DDIs were evaluated using the geometric mean ratio of each end point; a > 2-fold increase in SSZ or MTX exposure was deemed clinically relevant. GLPG3970 demonstrated mild inhibition of intestinal BCRP in vivo: GLPG3970 + SSZ increased SSZ exposure ~1.7–1.8-fold and decreased SPD:SSZ ratio ~ 2-fold vs. SSZ alone. GLPG3970 administered 2 hours after SSZ did not change the magnitude of the interaction. GLPG3970 + MTX had no relevant effect on MTX pharmacokinetics vs. MTX alone. Therefore, the strong in vitro BCRP inhibition was not confirmed in vivo. No safety concerns were observed when GLPG3970 was coadministered with SSZ or MTX.

求助全文
通过发布文献求助,成功后即可免费获取论文全文。 去求助
来源期刊
CiteScore
12.70
自引率
7.50%
发文量
290
审稿时长
2 months
期刊介绍: Clinical Pharmacology & Therapeutics (CPT) is the authoritative cross-disciplinary journal in experimental and clinical medicine devoted to publishing advances in the nature, action, efficacy, and evaluation of therapeutics. CPT welcomes original Articles in the emerging areas of translational, predictive and personalized medicine; new therapeutic modalities including gene and cell therapies; pharmacogenomics, proteomics and metabolomics; bioinformation and applied systems biology complementing areas of pharmacokinetics and pharmacodynamics, human investigation and clinical trials, pharmacovigilence, pharmacoepidemiology, pharmacometrics, and population pharmacology.
×
引用
GB/T 7714-2015
复制
MLA
复制
APA
复制
导出至
BibTeX EndNote RefMan NoteFirst NoteExpress
×
提示
您的信息不完整,为了账户安全,请先补充。
现在去补充
×
提示
您因"违规操作"
具体请查看互助需知
我知道了
×
提示
确定
请完成安全验证×
copy
已复制链接
快去分享给好友吧!
我知道了
右上角分享
点击右上角分享
0
联系我们:info@booksci.cn Book学术提供免费学术资源搜索服务,方便国内外学者检索中英文文献。致力于提供最便捷和优质的服务体验。 Copyright © 2023 布克学术 All rights reserved.
京ICP备2023020795号-1
ghs 京公网安备 11010802042870号
Book学术文献互助
Book学术文献互助群
群 号:604180095
Book学术官方微信