社会经济背景较差的儿童从出生到 6 岁期间神经发育迟缓的发病时间较早,且差距越来越大。

IF 4 2区 医学 Q1 CLINICAL NEUROLOGY
Tae Hwan Han, Kyu Young Chae, Boeun Han, Ju Hee Kim, Eun Kyo Ha, Seonkyeong Rhie, Man Yong Han
{"title":"社会经济背景较差的儿童从出生到 6 岁期间神经发育迟缓的发病时间较早,且差距越来越大。","authors":"Tae Hwan Han, Kyu Young Chae, Boeun Han, Ju Hee Kim, Eun Kyo Ha, Seonkyeong Rhie, Man Yong Han","doi":"10.1186/s11689-024-09577-2","DOIUrl":null,"url":null,"abstract":"<p><strong>Objective: </strong>To analyze the complex relationship between socioeconomic status (SES) and neurodevelopmental achievements by investigating the temporal dynamics of these associations from birth to age 6.</p><p><strong>Methods: </strong>This retrospective cohort study was conducted over 6 years using population-based data from the National Health Insurance Service and integrated data from the National Health Screening Program for Infants and Children. Participants were children born between 2009 and 2011 in Korea without neurodevelopmental delays with potential developmental implications. We analyzed results from the Korean Developmental Screening Test, administered at age 6, which covered overall assessment and six domains of gross and fine motor function, cognition, language, sociality, and self-care. The secondary outcome was to determine when neurodevelopmental outcomes began after birth and how these differences changed over time.</p><p><strong>Results: </strong>Of 276,167 individuals (49.2% males), 66,325, 138,980, and 60,862 had low, intermediate, and high SES, respectively. Neurodevelopmental delays observed across all developmental domains were more prevalent in the low-SES group than in the high-SES group. Disparities in neurodevelopment according to these statuses were apparent as early as age 2 and tended to increase over time (interaction, P < 0.001). The cognition and language domains exhibited the most substantial disparities between SES levels. These disparities persisted in subgroup analyses of sex, birthweight, head circumference, birth data, and breastfeeding variables.</p><p><strong>Conclusions: </strong>Low SES was significantly associated with an increased risk of adverse neurodevelopmental outcomes in preschool children, particularly those affecting cognitive and language domains. These differences manifested in early childhood and widened over time.</p>","PeriodicalId":16530,"journal":{"name":"Journal of Neurodevelopmental Disorders","volume":"16 1","pages":"60"},"PeriodicalIF":4.0000,"publicationDate":"2024-11-05","publicationTypes":"Journal Article","fieldsOfStudy":null,"isOpenAccess":false,"openAccessPdf":"https://www.ncbi.nlm.nih.gov/pmc/articles/PMC11536651/pdf/","citationCount":"0","resultStr":"{\"title\":\"Early onset and increasing disparities in neurodevelopmental delays from birth to age 6 in children from low socioeconomic backgrounds.\",\"authors\":\"Tae Hwan Han, Kyu Young Chae, Boeun Han, Ju Hee Kim, Eun Kyo Ha, Seonkyeong Rhie, Man Yong Han\",\"doi\":\"10.1186/s11689-024-09577-2\",\"DOIUrl\":null,\"url\":null,\"abstract\":\"<p><strong>Objective: </strong>To analyze the complex relationship between socioeconomic status (SES) and neurodevelopmental achievements by investigating the temporal dynamics of these associations from birth to age 6.</p><p><strong>Methods: </strong>This retrospective cohort study was conducted over 6 years using population-based data from the National Health Insurance Service and integrated data from the National Health Screening Program for Infants and Children. Participants were children born between 2009 and 2011 in Korea without neurodevelopmental delays with potential developmental implications. We analyzed results from the Korean Developmental Screening Test, administered at age 6, which covered overall assessment and six domains of gross and fine motor function, cognition, language, sociality, and self-care. The secondary outcome was to determine when neurodevelopmental outcomes began after birth and how these differences changed over time.</p><p><strong>Results: </strong>Of 276,167 individuals (49.2% males), 66,325, 138,980, and 60,862 had low, intermediate, and high SES, respectively. Neurodevelopmental delays observed across all developmental domains were more prevalent in the low-SES group than in the high-SES group. Disparities in neurodevelopment according to these statuses were apparent as early as age 2 and tended to increase over time (interaction, P < 0.001). The cognition and language domains exhibited the most substantial disparities between SES levels. These disparities persisted in subgroup analyses of sex, birthweight, head circumference, birth data, and breastfeeding variables.</p><p><strong>Conclusions: </strong>Low SES was significantly associated with an increased risk of adverse neurodevelopmental outcomes in preschool children, particularly those affecting cognitive and language domains. These differences manifested in early childhood and widened over time.</p>\",\"PeriodicalId\":16530,\"journal\":{\"name\":\"Journal of Neurodevelopmental Disorders\",\"volume\":\"16 1\",\"pages\":\"60\"},\"PeriodicalIF\":4.0000,\"publicationDate\":\"2024-11-05\",\"publicationTypes\":\"Journal Article\",\"fieldsOfStudy\":null,\"isOpenAccess\":false,\"openAccessPdf\":\"https://www.ncbi.nlm.nih.gov/pmc/articles/PMC11536651/pdf/\",\"citationCount\":\"0\",\"resultStr\":null,\"platform\":\"Semanticscholar\",\"paperid\":null,\"PeriodicalName\":\"Journal of Neurodevelopmental Disorders\",\"FirstCategoryId\":\"3\",\"ListUrlMain\":\"https://doi.org/10.1186/s11689-024-09577-2\",\"RegionNum\":2,\"RegionCategory\":\"医学\",\"ArticlePicture\":[],\"TitleCN\":null,\"AbstractTextCN\":null,\"PMCID\":null,\"EPubDate\":\"\",\"PubModel\":\"\",\"JCR\":\"Q1\",\"JCRName\":\"CLINICAL NEUROLOGY\",\"Score\":null,\"Total\":0}","platform":"Semanticscholar","paperid":null,"PeriodicalName":"Journal of Neurodevelopmental Disorders","FirstCategoryId":"3","ListUrlMain":"https://doi.org/10.1186/s11689-024-09577-2","RegionNum":2,"RegionCategory":"医学","ArticlePicture":[],"TitleCN":null,"AbstractTextCN":null,"PMCID":null,"EPubDate":"","PubModel":"","JCR":"Q1","JCRName":"CLINICAL NEUROLOGY","Score":null,"Total":0}
引用次数: 0

摘要

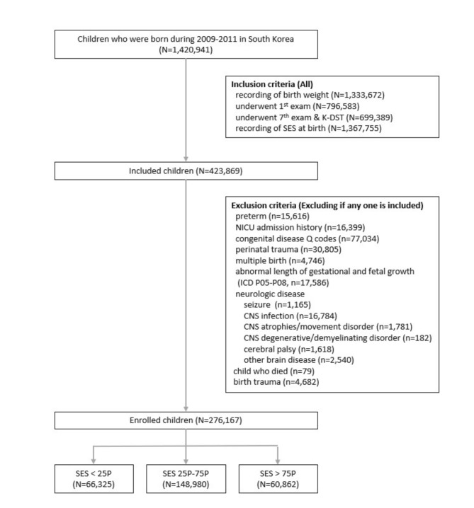
目的:分析社会经济地位(SES)与神经发育成就之间的复杂关系:分析社会经济地位(SES)与神经发育成就之间的复杂关系,研究这些关系从出生到 6 岁的时间动态:这项回顾性队列研究利用国民健康保险服务机构的人口数据和国民婴幼儿健康筛查项目的综合数据,历时6年。研究对象为 2009 年至 2011 年间出生的韩国儿童,他们没有神经发育迟缓,但对发育有潜在影响。我们分析了6岁时进行的韩国发育筛查测试的结果,该测试包括整体评估以及粗大和精细运动功能、认知、语言、社交和自理能力等六个领域。次要结果是确定出生后何时开始出现神经发育结果,以及随着时间的推移这些差异会发生怎样的变化:在 276,167 人(49.2% 为男性)中,分别有 66,325 人、138,980 人和 60,862 人的社会经济地位较低、中等和较高。与高社会经济地位组相比,低社会经济地位组在所有发育领域中的神经发育迟缓现象更为普遍。不同社会经济地位的儿童在神经发育方面的差异早在 2 岁时就已显现,并且随着时间的推移呈上升趋势(交互作用,P 结论):低社会经济地位与学龄前儿童神经发育不良后果的风险增加有很大关系,尤其是那些影响认知和语言领域的不良后果。这些差异在幼儿期就已显现,并随着时间的推移而扩大。
本文章由计算机程序翻译,如有差异,请以英文原文为准。

Early onset and increasing disparities in neurodevelopmental delays from birth to age 6 in children from low socioeconomic backgrounds.

Early onset and increasing disparities in neurodevelopmental delays from birth to age 6 in children from low socioeconomic backgrounds.

Early onset and increasing disparities in neurodevelopmental delays from birth to age 6 in children from low socioeconomic backgrounds.

Early onset and increasing disparities in neurodevelopmental delays from birth to age 6 in children from low socioeconomic backgrounds.

Objective: To analyze the complex relationship between socioeconomic status (SES) and neurodevelopmental achievements by investigating the temporal dynamics of these associations from birth to age 6.

Methods: This retrospective cohort study was conducted over 6 years using population-based data from the National Health Insurance Service and integrated data from the National Health Screening Program for Infants and Children. Participants were children born between 2009 and 2011 in Korea without neurodevelopmental delays with potential developmental implications. We analyzed results from the Korean Developmental Screening Test, administered at age 6, which covered overall assessment and six domains of gross and fine motor function, cognition, language, sociality, and self-care. The secondary outcome was to determine when neurodevelopmental outcomes began after birth and how these differences changed over time.

Results: Of 276,167 individuals (49.2% males), 66,325, 138,980, and 60,862 had low, intermediate, and high SES, respectively. Neurodevelopmental delays observed across all developmental domains were more prevalent in the low-SES group than in the high-SES group. Disparities in neurodevelopment according to these statuses were apparent as early as age 2 and tended to increase over time (interaction, P < 0.001). The cognition and language domains exhibited the most substantial disparities between SES levels. These disparities persisted in subgroup analyses of sex, birthweight, head circumference, birth data, and breastfeeding variables.

Conclusions: Low SES was significantly associated with an increased risk of adverse neurodevelopmental outcomes in preschool children, particularly those affecting cognitive and language domains. These differences manifested in early childhood and widened over time.

求助全文
通过发布文献求助,成功后即可免费获取论文全文。 去求助
来源期刊
CiteScore
7.60
自引率
4.10%
发文量
58
审稿时长
>12 weeks
期刊介绍: Journal of Neurodevelopmental Disorders is an open access journal that integrates current, cutting-edge research across a number of disciplines, including neurobiology, genetics, cognitive neuroscience, psychiatry and psychology. The journal’s primary focus is on the pathogenesis of neurodevelopmental disorders including autism, fragile X syndrome, tuberous sclerosis, Turner Syndrome, 22q Deletion Syndrome, Prader-Willi and Angelman Syndrome, Williams syndrome, lysosomal storage diseases, dyslexia, specific language impairment and fetal alcohol syndrome. With the discovery of specific genes underlying neurodevelopmental syndromes, the emergence of powerful tools for studying neural circuitry, and the development of new approaches for exploring molecular mechanisms, interdisciplinary research on the pathogenesis of neurodevelopmental disorders is now increasingly common. Journal of Neurodevelopmental Disorders provides a unique venue for researchers interested in comparing and contrasting mechanisms and characteristics related to the pathogenesis of the full range of neurodevelopmental disorders, sharpening our understanding of the etiology and relevant phenotypes of each condition.
×
引用
GB/T 7714-2015
复制
MLA
复制
APA
复制
导出至
BibTeX EndNote RefMan NoteFirst NoteExpress
×
提示
您的信息不完整,为了账户安全,请先补充。
现在去补充
×
提示
您因"违规操作"
具体请查看互助需知
我知道了
×
提示
确定
请完成安全验证×
copy
已复制链接
快去分享给好友吧!
我知道了
右上角分享
点击右上角分享
0
联系我们:info@booksci.cn Book学术提供免费学术资源搜索服务,方便国内外学者检索中英文文献。致力于提供最便捷和优质的服务体验。 Copyright © 2023 布克学术 All rights reserved.
京ICP备2023020795号-1
ghs 京公网安备 11010802042870号
Book学术文献互助
Book学术文献互助群
群 号:604180095
Book学术官方微信