超声在心血管植入式电子装置感染的微生物学诊断中的作用:系统综述、荟萃分析和荟萃回归。

IF 3.6 2区 医学 Q1 MICROBIOLOGY
Guillermo Martín-Gutiérrez, Carlos Martín-Pérez, José Manuel Ortiz-de la Rosa, Encarnación Gutiérrez-Carretero, Arístides de Alarcón, José Antonio Lepe
{"title":"超声在心血管植入式电子装置感染的微生物学诊断中的作用:系统综述、荟萃分析和荟萃回归。","authors":"Guillermo Martín-Gutiérrez, Carlos Martín-Pérez, José Manuel Ortiz-de la Rosa, Encarnación Gutiérrez-Carretero, Arístides de Alarcón, José Antonio Lepe","doi":"10.1186/s12941-024-00753-9","DOIUrl":null,"url":null,"abstract":"<p><strong>Background: </strong>Multiple studies have demonstrated the utility of sonication to improve culture yield in patients with cardiovascular implantable electronic device (CIED) infections.</p><p><strong>Objective: </strong>To analyze the usefulness of sonication in the microbiological diagnosis of CIED infections in comparison with traditional cultures.</p><p><strong>Methods: </strong>Systematic database searches were performed to identify studies that provided enough data concerning both sensitivity and specificity of traditional (non-sonicated) and sonicated cultures from CIED samples. The diagnostic accuracy measures were obtained by three different statistical approaches: (i) The univariate model; (ii) The bivariate random; and (iii) The Bayesian bivariate hierarchical model. Heterogeneity was assessed using meta-regression.</p><p><strong>Findings: </strong>Nine studies met the criteria for inclusion in the meta-analysis (1684 cultures). The summary estimates of sensitivity were higher for sonicated cultures (0.756) in comparison with non-sonicated cultures (0.446). On meta-regression, sonication of CIEDs significantly increased the sensitivity (p = 0.001) as well as the rates of false positive results (p = 0.003). The final model also showed that the studies that used a threshold for positivity were associated with lower rates of false positive results (p < 0.001).</p><p><strong>Interpretation: </strong>Our results suggest that sonication improves the microbiological diagnosis of CIED infections in comparison with traditional cultures, but a standardization of processes is necessary.</p>","PeriodicalId":8052,"journal":{"name":"Annals of Clinical Microbiology and Antimicrobials","volume":"23 1","pages":"96"},"PeriodicalIF":3.6000,"publicationDate":"2024-11-05","publicationTypes":"Journal Article","fieldsOfStudy":null,"isOpenAccess":false,"openAccessPdf":"https://www.ncbi.nlm.nih.gov/pmc/articles/PMC11536795/pdf/","citationCount":"0","resultStr":"{\"title\":\"Usefulness of sonication in the microbiological diagnosis of cardiovascular implantable electronic device infections: systematic review, meta-analysis and meta-regression.\",\"authors\":\"Guillermo Martín-Gutiérrez, Carlos Martín-Pérez, José Manuel Ortiz-de la Rosa, Encarnación Gutiérrez-Carretero, Arístides de Alarcón, José Antonio Lepe\",\"doi\":\"10.1186/s12941-024-00753-9\",\"DOIUrl\":null,\"url\":null,\"abstract\":\"<p><strong>Background: </strong>Multiple studies have demonstrated the utility of sonication to improve culture yield in patients with cardiovascular implantable electronic device (CIED) infections.</p><p><strong>Objective: </strong>To analyze the usefulness of sonication in the microbiological diagnosis of CIED infections in comparison with traditional cultures.</p><p><strong>Methods: </strong>Systematic database searches were performed to identify studies that provided enough data concerning both sensitivity and specificity of traditional (non-sonicated) and sonicated cultures from CIED samples. The diagnostic accuracy measures were obtained by three different statistical approaches: (i) The univariate model; (ii) The bivariate random; and (iii) The Bayesian bivariate hierarchical model. Heterogeneity was assessed using meta-regression.</p><p><strong>Findings: </strong>Nine studies met the criteria for inclusion in the meta-analysis (1684 cultures). The summary estimates of sensitivity were higher for sonicated cultures (0.756) in comparison with non-sonicated cultures (0.446). On meta-regression, sonication of CIEDs significantly increased the sensitivity (p = 0.001) as well as the rates of false positive results (p = 0.003). The final model also showed that the studies that used a threshold for positivity were associated with lower rates of false positive results (p < 0.001).</p><p><strong>Interpretation: </strong>Our results suggest that sonication improves the microbiological diagnosis of CIED infections in comparison with traditional cultures, but a standardization of processes is necessary.</p>\",\"PeriodicalId\":8052,\"journal\":{\"name\":\"Annals of Clinical Microbiology and Antimicrobials\",\"volume\":\"23 1\",\"pages\":\"96\"},\"PeriodicalIF\":3.6000,\"publicationDate\":\"2024-11-05\",\"publicationTypes\":\"Journal Article\",\"fieldsOfStudy\":null,\"isOpenAccess\":false,\"openAccessPdf\":\"https://www.ncbi.nlm.nih.gov/pmc/articles/PMC11536795/pdf/\",\"citationCount\":\"0\",\"resultStr\":null,\"platform\":\"Semanticscholar\",\"paperid\":null,\"PeriodicalName\":\"Annals of Clinical Microbiology and Antimicrobials\",\"FirstCategoryId\":\"3\",\"ListUrlMain\":\"https://doi.org/10.1186/s12941-024-00753-9\",\"RegionNum\":2,\"RegionCategory\":\"医学\",\"ArticlePicture\":[],\"TitleCN\":null,\"AbstractTextCN\":null,\"PMCID\":null,\"EPubDate\":\"\",\"PubModel\":\"\",\"JCR\":\"Q1\",\"JCRName\":\"MICROBIOLOGY\",\"Score\":null,\"Total\":0}","platform":"Semanticscholar","paperid":null,"PeriodicalName":"Annals of Clinical Microbiology and Antimicrobials","FirstCategoryId":"3","ListUrlMain":"https://doi.org/10.1186/s12941-024-00753-9","RegionNum":2,"RegionCategory":"医学","ArticlePicture":[],"TitleCN":null,"AbstractTextCN":null,"PMCID":null,"EPubDate":"","PubModel":"","JCR":"Q1","JCRName":"MICROBIOLOGY","Score":null,"Total":0}
引用次数: 0

摘要

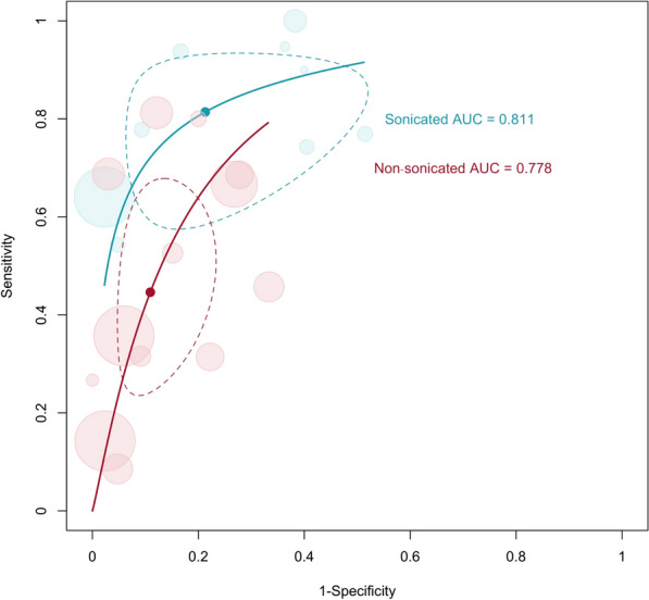
背景:多项研究表明,超声法可提高心血管植入式电子装置(CIED)感染患者的培养率:与传统培养方法相比,分析超声法在心血管植入式电子设备(CIED)感染的微生物诊断中的作用:方法:对数据库进行系统检索,以确定是否有研究提供了足够的数据,说明传统培养(非超声)和超声培养对CIED样本的敏感性和特异性。通过三种不同的统计方法获得了诊断准确性指标:(i) 单变量模型;(ii) 双变量随机模型;(iii) 贝叶斯双变量分层模型。使用元回归评估异质性:九项研究符合纳入荟萃分析的标准(1684 人)。与非超声培养物(0.446)相比,超声培养物的灵敏度总估计值更高(0.756)。在元回归中,对 CIED 进行超声处理可显著提高灵敏度(p = 0.001)和假阳性结果率(p = 0.003)。最终模型还显示,使用阳性阈值的研究与较低的假阳性结果率相关(p 解释:我们的研究结果表明,与传统的培养方法相比,超声法能提高 CIED 感染的微生物诊断率,但有必要实现流程的标准化。
本文章由计算机程序翻译,如有差异,请以英文原文为准。

Usefulness of sonication in the microbiological diagnosis of cardiovascular implantable electronic device infections: systematic review, meta-analysis and meta-regression.

Usefulness of sonication in the microbiological diagnosis of cardiovascular implantable electronic device infections: systematic review, meta-analysis and meta-regression.

Usefulness of sonication in the microbiological diagnosis of cardiovascular implantable electronic device infections: systematic review, meta-analysis and meta-regression.

Usefulness of sonication in the microbiological diagnosis of cardiovascular implantable electronic device infections: systematic review, meta-analysis and meta-regression.

Background: Multiple studies have demonstrated the utility of sonication to improve culture yield in patients with cardiovascular implantable electronic device (CIED) infections.

Objective: To analyze the usefulness of sonication in the microbiological diagnosis of CIED infections in comparison with traditional cultures.

Methods: Systematic database searches were performed to identify studies that provided enough data concerning both sensitivity and specificity of traditional (non-sonicated) and sonicated cultures from CIED samples. The diagnostic accuracy measures were obtained by three different statistical approaches: (i) The univariate model; (ii) The bivariate random; and (iii) The Bayesian bivariate hierarchical model. Heterogeneity was assessed using meta-regression.

Findings: Nine studies met the criteria for inclusion in the meta-analysis (1684 cultures). The summary estimates of sensitivity were higher for sonicated cultures (0.756) in comparison with non-sonicated cultures (0.446). On meta-regression, sonication of CIEDs significantly increased the sensitivity (p = 0.001) as well as the rates of false positive results (p = 0.003). The final model also showed that the studies that used a threshold for positivity were associated with lower rates of false positive results (p < 0.001).

Interpretation: Our results suggest that sonication improves the microbiological diagnosis of CIED infections in comparison with traditional cultures, but a standardization of processes is necessary.

求助全文
通过发布文献求助,成功后即可免费获取论文全文。 去求助
来源期刊
CiteScore
8.60
自引率
0.00%
发文量
49
审稿时长
>12 weeks
期刊介绍: Annals of Clinical Microbiology and Antimicrobials considers good quality, novel and international research of more than regional relevance. Research must include epidemiological and/or clinical information about isolates, and the journal covers the clinical microbiology of bacteria, viruses and fungi, as well as antimicrobial treatment of infectious diseases. Annals of Clinical Microbiology and Antimicrobials is an open access, peer-reviewed journal focusing on information concerning clinical microbiology, infectious diseases and antimicrobials. The management of infectious disease is dependent on correct diagnosis and appropriate antimicrobial treatment, and with this in mind, the journal aims to improve the communication between laboratory and clinical science in the field of clinical microbiology and antimicrobial treatment. Furthermore, the journal has no restrictions on space or access; this ensures that the journal can reach the widest possible audience.
×
引用
GB/T 7714-2015
复制
MLA
复制
APA
复制
导出至
BibTeX EndNote RefMan NoteFirst NoteExpress
×
提示
您的信息不完整,为了账户安全,请先补充。
现在去补充
×
提示
您因"违规操作"
具体请查看互助需知
我知道了
×
提示
确定
请完成安全验证×
copy
已复制链接
快去分享给好友吧!
我知道了
右上角分享
点击右上角分享
0
联系我们:info@booksci.cn Book学术提供免费学术资源搜索服务,方便国内外学者检索中英文文献。致力于提供最便捷和优质的服务体验。 Copyright © 2023 布克学术 All rights reserved.
京ICP备2023020795号-1
ghs 京公网安备 11010802042870号
Book学术文献互助
Book学术文献互助群
群 号:604180095
Book学术官方微信