胸椎和腰椎转移手术后功能效果和生活质量的短期评估。

IF 1.3 Q2 OTORHINOLARYNGOLOGY
Mahmoud Mohamed Abousayed, Hossam Salah El-Din Taha, Raafat Elsayed Farag, Mostafa Salahdin Salem, Walid Atef Ebeid
{"title":"胸椎和腰椎转移手术后功能效果和生活质量的短期评估。","authors":"Mahmoud Mohamed Abousayed, Hossam Salah El-Din Taha, Raafat Elsayed Farag, Mostafa Salahdin Salem, Walid Atef Ebeid","doi":"10.4103/jcvjs.jcvjs_112_24","DOIUrl":null,"url":null,"abstract":"<p><strong>Background: </strong>Because of improvements in initial tumor identification and treatment, as well as longer life expectancies, more people are receiving diagnoses for spinal metastases.</p><p><strong>Objective: </strong>The aim of this study was to assess early functional outcomes and quality of life (QOL) after surgical management of patients with spinal metastases.</p><p><strong>Patients and methods: </strong>In this prospective cohort study, a total of 33 patients with thoracic and lumbar spine metastases who underwent surgical management between November 2021 and August 2023 were followed up for 1 year or until death. Oswestry Disability Index and the Eastern Cooperative Oncology Group Performance Status were used for the functional outcome; QOL was assessed using European Quality of Life 5-Dimensions (EuroQOL-5D). Scores were recorded preoperatively, 4 weeks postoperatively, and 6 and 12 months postoperatively.</p><p><strong>Results: </strong>The mean age was 52.12 ± 13.4 years (range: 23-70 years), 22 (66.7%) were females, and 11 (33.3%) were males. Patients were divided into three groups according to the revised Katagiri score: 12 (36.4%) patients were at low risk (0-3), 18 (54.5%) patients were at intermediate risk (4-6), and 3 (9.1%) patients were at high risk (7-10). The mean survival was 5.44 ± 3.46 months (range 1-13), and there was no perioperative death (within 1 month postoperative). Sixteen (48.5%) patients survived for more than 1 year and 17 (51.5%) patients died from different causes related to the natural history of tumor metastasis.</p><p><strong>Conclusion: </strong>Following surgical treatment of the spinal metastases, improvements in QoL and functional results were seen in the short-term. For patients with a projected life expectancy of longer than 3 months, surgery is a good alternative.</p>","PeriodicalId":51721,"journal":{"name":"Journal of Craniovertebral Junction and Spine","volume":"15 3","pages":"353-360"},"PeriodicalIF":1.3000,"publicationDate":"2024-07-01","publicationTypes":"Journal Article","fieldsOfStudy":null,"isOpenAccess":false,"openAccessPdf":"https://www.ncbi.nlm.nih.gov/pmc/articles/PMC11524559/pdf/","citationCount":"0","resultStr":"{\"title\":\"Short-term assessment of functional outcomes and quality of life after thoracic and lumbar spinal metastasis surgery.\",\"authors\":\"Mahmoud Mohamed Abousayed, Hossam Salah El-Din Taha, Raafat Elsayed Farag, Mostafa Salahdin Salem, Walid Atef Ebeid\",\"doi\":\"10.4103/jcvjs.jcvjs_112_24\",\"DOIUrl\":null,\"url\":null,\"abstract\":\"<p><strong>Background: </strong>Because of improvements in initial tumor identification and treatment, as well as longer life expectancies, more people are receiving diagnoses for spinal metastases.</p><p><strong>Objective: </strong>The aim of this study was to assess early functional outcomes and quality of life (QOL) after surgical management of patients with spinal metastases.</p><p><strong>Patients and methods: </strong>In this prospective cohort study, a total of 33 patients with thoracic and lumbar spine metastases who underwent surgical management between November 2021 and August 2023 were followed up for 1 year or until death. Oswestry Disability Index and the Eastern Cooperative Oncology Group Performance Status were used for the functional outcome; QOL was assessed using European Quality of Life 5-Dimensions (EuroQOL-5D). Scores were recorded preoperatively, 4 weeks postoperatively, and 6 and 12 months postoperatively.</p><p><strong>Results: </strong>The mean age was 52.12 ± 13.4 years (range: 23-70 years), 22 (66.7%) were females, and 11 (33.3%) were males. Patients were divided into three groups according to the revised Katagiri score: 12 (36.4%) patients were at low risk (0-3), 18 (54.5%) patients were at intermediate risk (4-6), and 3 (9.1%) patients were at high risk (7-10). The mean survival was 5.44 ± 3.46 months (range 1-13), and there was no perioperative death (within 1 month postoperative). Sixteen (48.5%) patients survived for more than 1 year and 17 (51.5%) patients died from different causes related to the natural history of tumor metastasis.</p><p><strong>Conclusion: </strong>Following surgical treatment of the spinal metastases, improvements in QoL and functional results were seen in the short-term. For patients with a projected life expectancy of longer than 3 months, surgery is a good alternative.</p>\",\"PeriodicalId\":51721,\"journal\":{\"name\":\"Journal of Craniovertebral Junction and Spine\",\"volume\":\"15 3\",\"pages\":\"353-360\"},\"PeriodicalIF\":1.3000,\"publicationDate\":\"2024-07-01\",\"publicationTypes\":\"Journal Article\",\"fieldsOfStudy\":null,\"isOpenAccess\":false,\"openAccessPdf\":\"https://www.ncbi.nlm.nih.gov/pmc/articles/PMC11524559/pdf/\",\"citationCount\":\"0\",\"resultStr\":null,\"platform\":\"Semanticscholar\",\"paperid\":null,\"PeriodicalName\":\"Journal of Craniovertebral Junction and Spine\",\"FirstCategoryId\":\"1085\",\"ListUrlMain\":\"https://doi.org/10.4103/jcvjs.jcvjs_112_24\",\"RegionNum\":0,\"RegionCategory\":null,\"ArticlePicture\":[],\"TitleCN\":null,\"AbstractTextCN\":null,\"PMCID\":null,\"EPubDate\":\"2024/9/12 0:00:00\",\"PubModel\":\"Epub\",\"JCR\":\"Q2\",\"JCRName\":\"OTORHINOLARYNGOLOGY\",\"Score\":null,\"Total\":0}","platform":"Semanticscholar","paperid":null,"PeriodicalName":"Journal of Craniovertebral Junction and Spine","FirstCategoryId":"1085","ListUrlMain":"https://doi.org/10.4103/jcvjs.jcvjs_112_24","RegionNum":0,"RegionCategory":null,"ArticlePicture":[],"TitleCN":null,"AbstractTextCN":null,"PMCID":null,"EPubDate":"2024/9/12 0:00:00","PubModel":"Epub","JCR":"Q2","JCRName":"OTORHINOLARYNGOLOGY","Score":null,"Total":0}
引用次数: 0

摘要

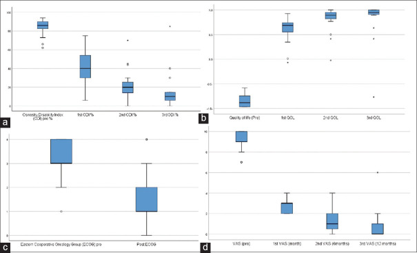
背景:由于最初的肿瘤鉴别和治疗方法的改进以及预期寿命的延长,越来越多的人被诊断为脊柱转移瘤:由于初期肿瘤识别和治疗的改进以及预期寿命的延长,越来越多的人被诊断出患有脊柱转移瘤:本研究旨在评估脊柱转移瘤患者手术治疗后的早期功能预后和生活质量(QOL):在这项前瞻性队列研究中,对2021年11月至2023年8月期间接受手术治疗的33例胸椎和腰椎转移瘤患者进行了为期1年或直至死亡的随访。功能结果采用奥斯韦特里残疾指数(Oswestry Disability Index)和东部合作肿瘤学组表现状态(Eastern Cooperative Oncology Group Performance Status);生活质量采用欧洲生活质量五维度(European Quality of Life 5-Dimensions,EuroQOL-5D)进行评估。评分记录为术前、术后4周、术后6个月和12个月:平均年龄为(52.12 ± 13.4)岁(23-70 岁),女性 22 例(66.7%),男性 11 例(33.3%)。根据修订后的片桐评分将患者分为三组:12(36.4%)名患者为低危(0-3),18(54.5%)名患者为中危(4-6),3(9.1%)名患者为高危(7-10)。平均生存期为 5.44 ± 3.46 个月(1-13 个月),没有围手术期死亡(术后 1 个月内)。16例(48.5%)患者存活超过1年,17例(51.5%)患者死于与肿瘤转移自然史相关的不同原因:结论:脊柱转移瘤手术治疗后,患者的生活质量和功能在短期内得到改善。对于预期寿命超过 3 个月的患者来说,手术治疗是一个不错的选择。
本文章由计算机程序翻译,如有差异,请以英文原文为准。

Short-term assessment of functional outcomes and quality of life after thoracic and lumbar spinal metastasis surgery.

Short-term assessment of functional outcomes and quality of life after thoracic and lumbar spinal metastasis surgery.

Short-term assessment of functional outcomes and quality of life after thoracic and lumbar spinal metastasis surgery.

Background: Because of improvements in initial tumor identification and treatment, as well as longer life expectancies, more people are receiving diagnoses for spinal metastases.

Objective: The aim of this study was to assess early functional outcomes and quality of life (QOL) after surgical management of patients with spinal metastases.

Patients and methods: In this prospective cohort study, a total of 33 patients with thoracic and lumbar spine metastases who underwent surgical management between November 2021 and August 2023 were followed up for 1 year or until death. Oswestry Disability Index and the Eastern Cooperative Oncology Group Performance Status were used for the functional outcome; QOL was assessed using European Quality of Life 5-Dimensions (EuroQOL-5D). Scores were recorded preoperatively, 4 weeks postoperatively, and 6 and 12 months postoperatively.

Results: The mean age was 52.12 ± 13.4 years (range: 23-70 years), 22 (66.7%) were females, and 11 (33.3%) were males. Patients were divided into three groups according to the revised Katagiri score: 12 (36.4%) patients were at low risk (0-3), 18 (54.5%) patients were at intermediate risk (4-6), and 3 (9.1%) patients were at high risk (7-10). The mean survival was 5.44 ± 3.46 months (range 1-13), and there was no perioperative death (within 1 month postoperative). Sixteen (48.5%) patients survived for more than 1 year and 17 (51.5%) patients died from different causes related to the natural history of tumor metastasis.

Conclusion: Following surgical treatment of the spinal metastases, improvements in QoL and functional results were seen in the short-term. For patients with a projected life expectancy of longer than 3 months, surgery is a good alternative.

求助全文
通过发布文献求助,成功后即可免费获取论文全文。 去求助
来源期刊
CiteScore
1.90
自引率
9.10%
发文量
57
审稿时长
12 weeks
×
引用
GB/T 7714-2015
复制
MLA
复制
APA
复制
导出至
BibTeX EndNote RefMan NoteFirst NoteExpress
×
提示
您的信息不完整,为了账户安全,请先补充。
现在去补充
×
提示
您因"违规操作"
具体请查看互助需知
我知道了
×
提示
确定
请完成安全验证×
copy
已复制链接
快去分享给好友吧!
我知道了
右上角分享
点击右上角分享
0
联系我们:info@booksci.cn Book学术提供免费学术资源搜索服务,方便国内外学者检索中英文文献。致力于提供最便捷和优质的服务体验。 Copyright © 2023 布克学术 All rights reserved.
京ICP备2023020795号-1
ghs 京公网安备 11010802042870号
Book学术文献互助
Book学术文献互助群
群 号:604180095
Book学术官方微信