痤疮疤痕对沙特阿拉伯利雅得成年人生活质量和治疗费用支付意愿的影响:横断面研究。

Q3 Medicine
Journal of Cutaneous and Aesthetic Surgery Pub Date : 2024-07-01 Epub Date: 2024-08-29 DOI:10.25259/jcas_154_23
Salim Alkeraye, Khalid Alosaimi, Hamad F Alrabiah, Rema Alkahtani, Naif Ahmed Alshehri, Bander Ahmed Alharbi
{"title":"痤疮疤痕对沙特阿拉伯利雅得成年人生活质量和治疗费用支付意愿的影响:横断面研究。","authors":"Salim Alkeraye, Khalid Alosaimi, Hamad F Alrabiah, Rema Alkahtani, Naif Ahmed Alshehri, Bander Ahmed Alharbi","doi":"10.25259/jcas_154_23","DOIUrl":null,"url":null,"abstract":"<p><strong>Objectives: </strong>Acne scarring occurs from skin damage following acne healing. Treatments such as chemical peels, dermabrasion, and laser therapy can effectively enhance scars' appearance but could be expensive. This study aimed to reflect participants' awareness of treatment options and their willingness to pay (WTP), evaluating their association with sociodemographics, severity, and quality of life (QoL).</p><p><strong>Material and methods: </strong>A cross-sectional study was conducted in Riyadh, Saudi Arabia, from June to July of 2023. Study participants were chosen using a non-probability sampling technique. Participants were aged 18 or older, had acne scarring, and resided in Riyadh. Data analysis was performed using RStudio, with <i>P</i> < 0.05 indicating statistical significance.</p><p><strong>Results: </strong>A total of 401 adult participants were included in the study. The prevalence of acne scarring among the participants was 63.4%. About 45.8% of the participants expressed a WTP of <1000 Saudi Riyals (SAR), while 42.2% were willing to pay 1000-6000 SAR. The most well-recognized acne scar management modalities were laser resurfacing (66.3%) and chemical peels (64.1%), while the least recognized were collagen/fat filler injections (23.9%) and radiofrequency microneedling (27.7%).</p><p><strong>Conclusion: </strong>The most recognized acne scar treatment modalities were laser resurfacing and chemical peels. Participants were willing to pay for reasons such as psychological impact, income levels, and awareness of treatment modalities. The findings could influence dermatologists to start awareness campaigns to debunk misconceptions about acne scar treatment modalities and their efficacy in improving QoL.</p>","PeriodicalId":15415,"journal":{"name":"Journal of Cutaneous and Aesthetic Surgery","volume":"17 3","pages":"205-213"},"PeriodicalIF":0.0000,"publicationDate":"2024-07-01","publicationTypes":"Journal Article","fieldsOfStudy":null,"isOpenAccess":false,"openAccessPdf":"https://www.ncbi.nlm.nih.gov/pmc/articles/PMC11497542/pdf/","citationCount":"0","resultStr":"{\"title\":\"Acne scars impact on the quality of life and the willingness to pay for treatments among adults in Riyadh, Saudi Arabia: A cross-sectional study.\",\"authors\":\"Salim Alkeraye, Khalid Alosaimi, Hamad F Alrabiah, Rema Alkahtani, Naif Ahmed Alshehri, Bander Ahmed Alharbi\",\"doi\":\"10.25259/jcas_154_23\",\"DOIUrl\":null,\"url\":null,\"abstract\":\"<p><strong>Objectives: </strong>Acne scarring occurs from skin damage following acne healing. Treatments such as chemical peels, dermabrasion, and laser therapy can effectively enhance scars' appearance but could be expensive. This study aimed to reflect participants' awareness of treatment options and their willingness to pay (WTP), evaluating their association with sociodemographics, severity, and quality of life (QoL).</p><p><strong>Material and methods: </strong>A cross-sectional study was conducted in Riyadh, Saudi Arabia, from June to July of 2023. Study participants were chosen using a non-probability sampling technique. Participants were aged 18 or older, had acne scarring, and resided in Riyadh. Data analysis was performed using RStudio, with <i>P</i> < 0.05 indicating statistical significance.</p><p><strong>Results: </strong>A total of 401 adult participants were included in the study. The prevalence of acne scarring among the participants was 63.4%. About 45.8% of the participants expressed a WTP of <1000 Saudi Riyals (SAR), while 42.2% were willing to pay 1000-6000 SAR. The most well-recognized acne scar management modalities were laser resurfacing (66.3%) and chemical peels (64.1%), while the least recognized were collagen/fat filler injections (23.9%) and radiofrequency microneedling (27.7%).</p><p><strong>Conclusion: </strong>The most recognized acne scar treatment modalities were laser resurfacing and chemical peels. Participants were willing to pay for reasons such as psychological impact, income levels, and awareness of treatment modalities. The findings could influence dermatologists to start awareness campaigns to debunk misconceptions about acne scar treatment modalities and their efficacy in improving QoL.</p>\",\"PeriodicalId\":15415,\"journal\":{\"name\":\"Journal of Cutaneous and Aesthetic Surgery\",\"volume\":\"17 3\",\"pages\":\"205-213\"},\"PeriodicalIF\":0.0000,\"publicationDate\":\"2024-07-01\",\"publicationTypes\":\"Journal Article\",\"fieldsOfStudy\":null,\"isOpenAccess\":false,\"openAccessPdf\":\"https://www.ncbi.nlm.nih.gov/pmc/articles/PMC11497542/pdf/\",\"citationCount\":\"0\",\"resultStr\":null,\"platform\":\"Semanticscholar\",\"paperid\":null,\"PeriodicalName\":\"Journal of Cutaneous and Aesthetic Surgery\",\"FirstCategoryId\":\"1085\",\"ListUrlMain\":\"https://doi.org/10.25259/jcas_154_23\",\"RegionNum\":0,\"RegionCategory\":null,\"ArticlePicture\":[],\"TitleCN\":null,\"AbstractTextCN\":null,\"PMCID\":null,\"EPubDate\":\"2024/8/29 0:00:00\",\"PubModel\":\"Epub\",\"JCR\":\"Q3\",\"JCRName\":\"Medicine\",\"Score\":null,\"Total\":0}","platform":"Semanticscholar","paperid":null,"PeriodicalName":"Journal of Cutaneous and Aesthetic Surgery","FirstCategoryId":"1085","ListUrlMain":"https://doi.org/10.25259/jcas_154_23","RegionNum":0,"RegionCategory":null,"ArticlePicture":[],"TitleCN":null,"AbstractTextCN":null,"PMCID":null,"EPubDate":"2024/8/29 0:00:00","PubModel":"Epub","JCR":"Q3","JCRName":"Medicine","Score":null,"Total":0}
引用次数: 0

摘要

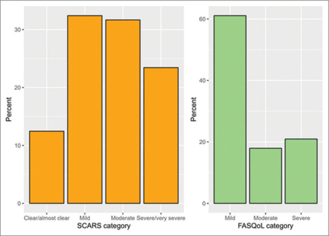
目的:痤疮疤痕是痤疮愈合后皮肤损伤造成的。化学换肤、磨皮和激光治疗等方法可有效改善疤痕外观,但价格昂贵。本研究旨在反映参与者对治疗方案的认识及其支付意愿(WTP),评估其与社会人口统计学、严重程度和生活质量(QoL)的关系:一项横断面研究于 2023 年 6 月至 7 月在沙特阿拉伯利雅得进行。研究参与者采用非概率抽样技术选出。参与者年龄在 18 岁以上,患有痤疮疤痕,居住在利雅得。数据分析使用 RStudio,P < 0.05 表示统计学意义:共有 401 名成年参与者参与了研究。痤疮瘢痕的发病率为 63.4%。约 45.8%的参与者表示WTP为 "结论":最受认可的痤疮疤痕治疗方法是激光换肤和化学换肤。由于心理影响、收入水平和对治疗方式的认识等原因,参与者愿意付费。研究结果可能会影响皮肤科医生开展宣传活动,以消除人们对痤疮疤痕治疗方法及其改善 QoL 的功效的误解。
本文章由计算机程序翻译,如有差异,请以英文原文为准。

Acne scars impact on the quality of life and the willingness to pay for treatments among adults in Riyadh, Saudi Arabia: A cross-sectional study.

Acne scars impact on the quality of life and the willingness to pay for treatments among adults in Riyadh, Saudi Arabia: A cross-sectional study.

Acne scars impact on the quality of life and the willingness to pay for treatments among adults in Riyadh, Saudi Arabia: A cross-sectional study.

Acne scars impact on the quality of life and the willingness to pay for treatments among adults in Riyadh, Saudi Arabia: A cross-sectional study.

Objectives: Acne scarring occurs from skin damage following acne healing. Treatments such as chemical peels, dermabrasion, and laser therapy can effectively enhance scars' appearance but could be expensive. This study aimed to reflect participants' awareness of treatment options and their willingness to pay (WTP), evaluating their association with sociodemographics, severity, and quality of life (QoL).

Material and methods: A cross-sectional study was conducted in Riyadh, Saudi Arabia, from June to July of 2023. Study participants were chosen using a non-probability sampling technique. Participants were aged 18 or older, had acne scarring, and resided in Riyadh. Data analysis was performed using RStudio, with P < 0.05 indicating statistical significance.

Results: A total of 401 adult participants were included in the study. The prevalence of acne scarring among the participants was 63.4%. About 45.8% of the participants expressed a WTP of <1000 Saudi Riyals (SAR), while 42.2% were willing to pay 1000-6000 SAR. The most well-recognized acne scar management modalities were laser resurfacing (66.3%) and chemical peels (64.1%), while the least recognized were collagen/fat filler injections (23.9%) and radiofrequency microneedling (27.7%).

Conclusion: The most recognized acne scar treatment modalities were laser resurfacing and chemical peels. Participants were willing to pay for reasons such as psychological impact, income levels, and awareness of treatment modalities. The findings could influence dermatologists to start awareness campaigns to debunk misconceptions about acne scar treatment modalities and their efficacy in improving QoL.

求助全文
通过发布文献求助,成功后即可免费获取论文全文。 去求助
来源期刊
CiteScore
1.10
自引率
0.00%
发文量
60
审稿时长
29 weeks
期刊介绍: The journal will cover aspects of Dermatosurgery and Aesthetic surgery, including cutaneous surgical procedures, lasers, light based treatments and aesthetic treatments. Authors of articles addressing topics such as skin tumours, pigmentary disorders, histopathology, diagnostic techniques, drugs, applications of cosmeceuticals surgical aspects, including pre and post procedural care are highly encouraged to submit with us. The journal also publishes articles on topics in allied specialities suh as plastic surgery, maxillofacial surgery vascular surgery, oculoplastic surgery etc. that are relevant to Dermatosurgery. The journal gives preference to clinically oriented studies over experimental and animal studies. The Journal would publish peer-reviewed Original Research Articles, Systematic reviews, Narrative Reviews, Case reports, Innovations and Debates. Letters to the editor, practice points, pearls in cutaneous and aesthetic surgery, quiz page, images, novel techniques, newer uses of instruments and video presentations and ethical aspects of cutaneous and aesthetic surgery are also invited.
×
引用
GB/T 7714-2015
复制
MLA
复制
APA
复制
导出至
BibTeX EndNote RefMan NoteFirst NoteExpress
×
提示
您的信息不完整,为了账户安全,请先补充。
现在去补充
×
提示
您因"违规操作"
具体请查看互助需知
我知道了
×
提示
确定
请完成安全验证×
copy
已复制链接
快去分享给好友吧!
我知道了
右上角分享
点击右上角分享
0
联系我们:info@booksci.cn Book学术提供免费学术资源搜索服务,方便国内外学者检索中英文文献。致力于提供最便捷和优质的服务体验。 Copyright © 2023 布克学术 All rights reserved.
京ICP备2023020795号-1
ghs 京公网安备 11010802042870号
Book学术文献互助
Book学术文献互助群
群 号:604180095
Book学术官方微信