评估英国生物库中血糖控制与骨脆性之间的关系:观察性分析和单样本孟德尔随机分析。

IF 2.4 Q2 ENDOCRINOLOGY & METABOLISM
JBMR Plus Pub Date : 2024-10-17 eCollection Date: 2024-11-01 DOI:10.1093/jbmrpl/ziae126
Samuel Ghatan, Fjorda Koromani, Katerina Trajanoska, Evert F S van Velsen, Maryam Kavousi, M Carola Zillikens, Carolina Medina-Gomez, Ling Oei, Fernando Rivadeneira
{"title":"评估英国生物库中血糖控制与骨脆性之间的关系:观察性分析和单样本孟德尔随机分析。","authors":"Samuel Ghatan, Fjorda Koromani, Katerina Trajanoska, Evert F S van Velsen, Maryam Kavousi, M Carola Zillikens, Carolina Medina-Gomez, Ling Oei, Fernando Rivadeneira","doi":"10.1093/jbmrpl/ziae126","DOIUrl":null,"url":null,"abstract":"<p><p>We aimed to: (1) examine the relationship between glycemic control, BMD estimated from heel ultrasound (eBMD) and fracture risk in individuals with type 1 (T1D) and type 2 diabetes (T2D) and (2) perform a one-sample Mendelian randomization (MR) study to explore potential causal associations between glycemic control, eBMD, and fractures. This study comprised 452 131 individuals from the UK Biobank with glycated hemoglobin A1C (HbA<sub>1c</sub>) and eBMD levels. At baseline, 4078 participants were diagnosed with T1D and 23 682 with T2D. HbA<sub>1c</sub> was used to classify patients into \"adequately-\" (ACD; <i>n</i> = 17 078; HbA<sub>1c</sub> < 7.0%/53 mmol/mol) and \"inadequately-\" (ICD; <i>n</i> = 10 682; HbA<sub>1c</sub> ≥ 7.0%/53 mmol/mol) controlled diabetes. In individuals with T1D, a 1% unit (11 mmol/mol) increase in HbA<sub>1c</sub> levels was associated with a 12% increase in fracture risk (HR: 1.12, 95% CI [1.05-1.19]). Fracture risk was highest in individuals with T1D and ICD (HR 2.84, 95%CI [2.53, 3.19]), followed by those with ACD (HR 2.26, 95%CI [1.91, 2.69]), as compared to subjects without diabetes. Evidence for a non-linear association between HbA<sub>1c</sub> and fracture risk was observed (F-test ANOVA <i>p</i>-value = 0.002) in individuals with T2D, with risk being increased at both low and high levels of HbA<sub>1c</sub>. Fracture risk between the T2D ACD and ICD groups was not significantly different (HR: 0.97, 95%CI [0.91-1.16]), despite increased BMD. In MR analyses genetically predicted higher HbA<sub>1c</sub> levels were not significantly associated with fracture risk (causal risk ratio: 1.04, 95%CI [0.95-1.14]). We did observe evidence of a non-linear causal association with eBMD (quadratic test <i>p</i>-value = 0.0002), indicating U-shaped relationship between HbA<sub>1c</sub> and eBMD. We obtained evidence that lower HbA<sub>1c</sub> levels will reduce fracture risk in patients with T1D. In individuals with T2D, lowering HbA<sub>1c</sub> levels can mitigate the risk of fractures up to a threshold, beyond which the risk may begin to rise again.</p>","PeriodicalId":14611,"journal":{"name":"JBMR Plus","volume":"8 11","pages":"ziae126"},"PeriodicalIF":2.4000,"publicationDate":"2024-10-17","publicationTypes":"Journal Article","fieldsOfStudy":null,"isOpenAccess":false,"openAccessPdf":"https://www.ncbi.nlm.nih.gov/pmc/articles/PMC11515132/pdf/","citationCount":"0","resultStr":"{\"title\":\"Evaluating the relationship between glycemic control and bone fragility within the UK Biobank: observational and one-sample Mendelian randomization analyses.\",\"authors\":\"Samuel Ghatan, Fjorda Koromani, Katerina Trajanoska, Evert F S van Velsen, Maryam Kavousi, M Carola Zillikens, Carolina Medina-Gomez, Ling Oei, Fernando Rivadeneira\",\"doi\":\"10.1093/jbmrpl/ziae126\",\"DOIUrl\":null,\"url\":null,\"abstract\":\"<p><p>We aimed to: (1) examine the relationship between glycemic control, BMD estimated from heel ultrasound (eBMD) and fracture risk in individuals with type 1 (T1D) and type 2 diabetes (T2D) and (2) perform a one-sample Mendelian randomization (MR) study to explore potential causal associations between glycemic control, eBMD, and fractures. This study comprised 452 131 individuals from the UK Biobank with glycated hemoglobin A1C (HbA<sub>1c</sub>) and eBMD levels. At baseline, 4078 participants were diagnosed with T1D and 23 682 with T2D. HbA<sub>1c</sub> was used to classify patients into \\\"adequately-\\\" (ACD; <i>n</i> = 17 078; HbA<sub>1c</sub> < 7.0%/53 mmol/mol) and \\\"inadequately-\\\" (ICD; <i>n</i> = 10 682; HbA<sub>1c</sub> ≥ 7.0%/53 mmol/mol) controlled diabetes. In individuals with T1D, a 1% unit (11 mmol/mol) increase in HbA<sub>1c</sub> levels was associated with a 12% increase in fracture risk (HR: 1.12, 95% CI [1.05-1.19]). Fracture risk was highest in individuals with T1D and ICD (HR 2.84, 95%CI [2.53, 3.19]), followed by those with ACD (HR 2.26, 95%CI [1.91, 2.69]), as compared to subjects without diabetes. Evidence for a non-linear association between HbA<sub>1c</sub> and fracture risk was observed (F-test ANOVA <i>p</i>-value = 0.002) in individuals with T2D, with risk being increased at both low and high levels of HbA<sub>1c</sub>. Fracture risk between the T2D ACD and ICD groups was not significantly different (HR: 0.97, 95%CI [0.91-1.16]), despite increased BMD. In MR analyses genetically predicted higher HbA<sub>1c</sub> levels were not significantly associated with fracture risk (causal risk ratio: 1.04, 95%CI [0.95-1.14]). We did observe evidence of a non-linear causal association with eBMD (quadratic test <i>p</i>-value = 0.0002), indicating U-shaped relationship between HbA<sub>1c</sub> and eBMD. We obtained evidence that lower HbA<sub>1c</sub> levels will reduce fracture risk in patients with T1D. In individuals with T2D, lowering HbA<sub>1c</sub> levels can mitigate the risk of fractures up to a threshold, beyond which the risk may begin to rise again.</p>\",\"PeriodicalId\":14611,\"journal\":{\"name\":\"JBMR Plus\",\"volume\":\"8 11\",\"pages\":\"ziae126\"},\"PeriodicalIF\":2.4000,\"publicationDate\":\"2024-10-17\",\"publicationTypes\":\"Journal Article\",\"fieldsOfStudy\":null,\"isOpenAccess\":false,\"openAccessPdf\":\"https://www.ncbi.nlm.nih.gov/pmc/articles/PMC11515132/pdf/\",\"citationCount\":\"0\",\"resultStr\":null,\"platform\":\"Semanticscholar\",\"paperid\":null,\"PeriodicalName\":\"JBMR Plus\",\"FirstCategoryId\":\"1085\",\"ListUrlMain\":\"https://doi.org/10.1093/jbmrpl/ziae126\",\"RegionNum\":0,\"RegionCategory\":null,\"ArticlePicture\":[],\"TitleCN\":null,\"AbstractTextCN\":null,\"PMCID\":null,\"EPubDate\":\"2024/11/1 0:00:00\",\"PubModel\":\"eCollection\",\"JCR\":\"Q2\",\"JCRName\":\"ENDOCRINOLOGY & METABOLISM\",\"Score\":null,\"Total\":0}","platform":"Semanticscholar","paperid":null,"PeriodicalName":"JBMR Plus","FirstCategoryId":"1085","ListUrlMain":"https://doi.org/10.1093/jbmrpl/ziae126","RegionNum":0,"RegionCategory":null,"ArticlePicture":[],"TitleCN":null,"AbstractTextCN":null,"PMCID":null,"EPubDate":"2024/11/1 0:00:00","PubModel":"eCollection","JCR":"Q2","JCRName":"ENDOCRINOLOGY & METABOLISM","Score":null,"Total":0}
引用次数: 0

摘要

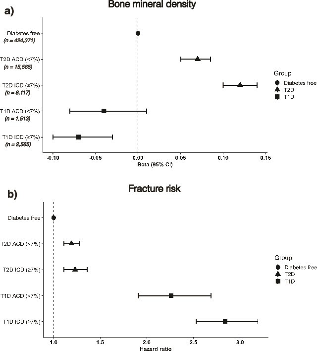
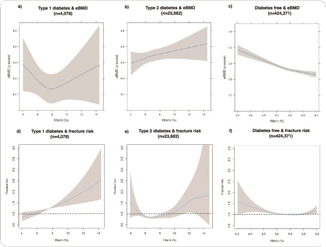
我们的目的是(1) 研究 1 型糖尿病 (T1D) 和 2 型糖尿病 (T2D) 患者的血糖控制、足跟超声估测的 BMD(eBMD)和骨折风险之间的关系;(2) 进行单样本孟德尔随机化 (MR) 研究,探索血糖控制、eBMD 和骨折之间的潜在因果关系。这项研究包括英国生物库中的 452 131 名糖化血红蛋白 A1C (HbA1c) 和 eBMD 水平的个体。基线时,4078 名参与者被诊断为 T1D,23682 名参与者被诊断为 T2D。HbA1c 用于将患者划分为 "充分"(ACD;n = 17 078;HbA1c n = 10 682;HbA1c ≥ 7.0%/53 mmol/mol)控制的糖尿病患者。在 T1D 患者中,HbA1c 水平每增加 1%(11 mmol/mol),骨折风险就会增加 12%(HR:1.12,95% CI [1.05-1.19])。与没有糖尿病的受试者相比,患有 T1D 和 ICD 的受试者骨折风险最高(HR 2.84,95%CI [2.53,3.19]),其次是患有 ACD 的受试者(HR 2.26,95%CI [1.91,2.69])。在 T2D 患者中,有证据表明 HbA1c 与骨折风险之间存在非线性关系(F 检验方差分析 p 值 = 0.002),HbA1c 水平越低和越高,骨折风险越高。尽管 BMD 增加,但 T2D ACD 组和 ICD 组之间的骨折风险并无显著差异(HR:0.97,95%CI [0.91-1.16])。在 MR 分析中,遗传预测的较高 HbA1c 水平与骨折风险无显著相关性(因果风险比:1.04,95%CI [0.95-1.14])。我们确实观察到与 eBMD 存在非线性因果关系的证据(二次检验 p 值 = 0.0002),表明 HbA1c 与 eBMD 之间存在 U 型关系。我们获得的证据表明,降低 HbA1c 水平可降低 T1D 患者的骨折风险。对于 T2D 患者,降低 HbA1c 水平可减轻骨折风险,但需达到一定的临界值,超过该临界值,骨折风险可能会开始回升。
本文章由计算机程序翻译,如有差异,请以英文原文为准。

Evaluating the relationship between glycemic control and bone fragility within the UK Biobank: observational and one-sample Mendelian randomization analyses.

Evaluating the relationship between glycemic control and bone fragility within the UK Biobank: observational and one-sample Mendelian randomization analyses.

Evaluating the relationship between glycemic control and bone fragility within the UK Biobank: observational and one-sample Mendelian randomization analyses.

We aimed to: (1) examine the relationship between glycemic control, BMD estimated from heel ultrasound (eBMD) and fracture risk in individuals with type 1 (T1D) and type 2 diabetes (T2D) and (2) perform a one-sample Mendelian randomization (MR) study to explore potential causal associations between glycemic control, eBMD, and fractures. This study comprised 452 131 individuals from the UK Biobank with glycated hemoglobin A1C (HbA1c) and eBMD levels. At baseline, 4078 participants were diagnosed with T1D and 23 682 with T2D. HbA1c was used to classify patients into "adequately-" (ACD; n = 17 078; HbA1c < 7.0%/53 mmol/mol) and "inadequately-" (ICD; n = 10 682; HbA1c ≥ 7.0%/53 mmol/mol) controlled diabetes. In individuals with T1D, a 1% unit (11 mmol/mol) increase in HbA1c levels was associated with a 12% increase in fracture risk (HR: 1.12, 95% CI [1.05-1.19]). Fracture risk was highest in individuals with T1D and ICD (HR 2.84, 95%CI [2.53, 3.19]), followed by those with ACD (HR 2.26, 95%CI [1.91, 2.69]), as compared to subjects without diabetes. Evidence for a non-linear association between HbA1c and fracture risk was observed (F-test ANOVA p-value = 0.002) in individuals with T2D, with risk being increased at both low and high levels of HbA1c. Fracture risk between the T2D ACD and ICD groups was not significantly different (HR: 0.97, 95%CI [0.91-1.16]), despite increased BMD. In MR analyses genetically predicted higher HbA1c levels were not significantly associated with fracture risk (causal risk ratio: 1.04, 95%CI [0.95-1.14]). We did observe evidence of a non-linear causal association with eBMD (quadratic test p-value = 0.0002), indicating U-shaped relationship between HbA1c and eBMD. We obtained evidence that lower HbA1c levels will reduce fracture risk in patients with T1D. In individuals with T2D, lowering HbA1c levels can mitigate the risk of fractures up to a threshold, beyond which the risk may begin to rise again.

求助全文
通过发布文献求助,成功后即可免费获取论文全文。 去求助
来源期刊
JBMR Plus
JBMR Plus Medicine-Orthopedics and Sports Medicine
CiteScore
5.80
自引率
2.60%
发文量
103
审稿时长
8 weeks
×
引用
GB/T 7714-2015
复制
MLA
复制
APA
复制
导出至
BibTeX EndNote RefMan NoteFirst NoteExpress
×
提示
您的信息不完整,为了账户安全,请先补充。
现在去补充
×
提示
您因"违规操作"
具体请查看互助需知
我知道了
×
提示
确定
请完成安全验证×
copy
已复制链接
快去分享给好友吧!
我知道了
右上角分享
点击右上角分享
0
联系我们:info@booksci.cn Book学术提供免费学术资源搜索服务,方便国内外学者检索中英文文献。致力于提供最便捷和优质的服务体验。 Copyright © 2023 布克学术 All rights reserved.
京ICP备2023020795号-1
ghs 京公网安备 11010802042870号
Book学术文献互助
Book学术文献互助群
群 号:604180095
Book学术官方微信