基因表达权衡决定了细菌的生存和对抗生素压力的适应。

PRX life Pub Date : 2024-01-01 Epub Date: 2024-02-29 DOI:10.1103/prxlife.2.013010
Josiah C Kratz, Shiladitya Banerjee
{"title":"基因表达权衡决定了细菌的生存和对抗生素压力的适应。","authors":"Josiah C Kratz, Shiladitya Banerjee","doi":"10.1103/prxlife.2.013010","DOIUrl":null,"url":null,"abstract":"<p><p>To optimize their fitness, cells face the crucial task of efficiently responding to various stresses. This necessitates striking a balance between conserving resources for survival and allocating resources for growth and division. The fundamental principles governing these tradeoffs is an outstanding challenge in the physics of living systems. In this study, we introduce a coarse-grained theoretical framework for bacterial physiology that establishes a connection between the physiological state of cells and their survival outcomes in dynamic environments, particularly in the context of antibiotic exposure. Predicting bacterial survival responses to varying antibiotic doses proves challenging due to the profound influence of the physiological state on critical parameters, such as the minimum inhibitory concentration (MIC) and killing rates, even within an isogenic cell population. Our proposed theoretical model bridges the gap by linking extracellular antibiotic concentration and nutrient quality to intracellular damage accumulation and gene expression. This framework allows us to predict and explain the control of cellular growth rate, death rate, MIC, and survival fraction in a wide range of time-varying environments. Surprisingly, our model reveals that cell death is rarely due to antibiotic levels being above the maximum physiological limit, but instead survival is limited by the inability to alter gene expression sufficiently quickly to transition to a less susceptible physiological state. Moreover, bacteria tend to overexpress stress response genes at the expense of reduced growth, conferring greater protection against further antibiotic exposure. This strategy is in contrast to those employed in different nutrient environments, in which bacteria allocate resources to maximize growth rate. This highlights an important tradeoff between the cellular capacity for growth and the ability to survive antibiotic exposure.</p>","PeriodicalId":520261,"journal":{"name":"PRX life","volume":"2 1","pages":""},"PeriodicalIF":0.0000,"publicationDate":"2024-01-01","publicationTypes":"Journal Article","fieldsOfStudy":null,"isOpenAccess":false,"openAccessPdf":"https://www.ncbi.nlm.nih.gov/pmc/articles/PMC11500821/pdf/","citationCount":"0","resultStr":"{\"title\":\"Gene Expression Tradeoffs Determine Bacterial Survival and Adaptation to Antibiotic Stress.\",\"authors\":\"Josiah C Kratz, Shiladitya Banerjee\",\"doi\":\"10.1103/prxlife.2.013010\",\"DOIUrl\":null,\"url\":null,\"abstract\":\"<p><p>To optimize their fitness, cells face the crucial task of efficiently responding to various stresses. This necessitates striking a balance between conserving resources for survival and allocating resources for growth and division. The fundamental principles governing these tradeoffs is an outstanding challenge in the physics of living systems. In this study, we introduce a coarse-grained theoretical framework for bacterial physiology that establishes a connection between the physiological state of cells and their survival outcomes in dynamic environments, particularly in the context of antibiotic exposure. Predicting bacterial survival responses to varying antibiotic doses proves challenging due to the profound influence of the physiological state on critical parameters, such as the minimum inhibitory concentration (MIC) and killing rates, even within an isogenic cell population. Our proposed theoretical model bridges the gap by linking extracellular antibiotic concentration and nutrient quality to intracellular damage accumulation and gene expression. This framework allows us to predict and explain the control of cellular growth rate, death rate, MIC, and survival fraction in a wide range of time-varying environments. Surprisingly, our model reveals that cell death is rarely due to antibiotic levels being above the maximum physiological limit, but instead survival is limited by the inability to alter gene expression sufficiently quickly to transition to a less susceptible physiological state. Moreover, bacteria tend to overexpress stress response genes at the expense of reduced growth, conferring greater protection against further antibiotic exposure. This strategy is in contrast to those employed in different nutrient environments, in which bacteria allocate resources to maximize growth rate. This highlights an important tradeoff between the cellular capacity for growth and the ability to survive antibiotic exposure.</p>\",\"PeriodicalId\":520261,\"journal\":{\"name\":\"PRX life\",\"volume\":\"2 1\",\"pages\":\"\"},\"PeriodicalIF\":0.0000,\"publicationDate\":\"2024-01-01\",\"publicationTypes\":\"Journal Article\",\"fieldsOfStudy\":null,\"isOpenAccess\":false,\"openAccessPdf\":\"https://www.ncbi.nlm.nih.gov/pmc/articles/PMC11500821/pdf/\",\"citationCount\":\"0\",\"resultStr\":null,\"platform\":\"Semanticscholar\",\"paperid\":null,\"PeriodicalName\":\"PRX life\",\"FirstCategoryId\":\"1085\",\"ListUrlMain\":\"https://doi.org/10.1103/prxlife.2.013010\",\"RegionNum\":0,\"RegionCategory\":null,\"ArticlePicture\":[],\"TitleCN\":null,\"AbstractTextCN\":null,\"PMCID\":null,\"EPubDate\":\"2024/2/29 0:00:00\",\"PubModel\":\"Epub\",\"JCR\":\"\",\"JCRName\":\"\",\"Score\":null,\"Total\":0}","platform":"Semanticscholar","paperid":null,"PeriodicalName":"PRX life","FirstCategoryId":"1085","ListUrlMain":"https://doi.org/10.1103/prxlife.2.013010","RegionNum":0,"RegionCategory":null,"ArticlePicture":[],"TitleCN":null,"AbstractTextCN":null,"PMCID":null,"EPubDate":"2024/2/29 0:00:00","PubModel":"Epub","JCR":"","JCRName":"","Score":null,"Total":0}
引用次数: 0

摘要

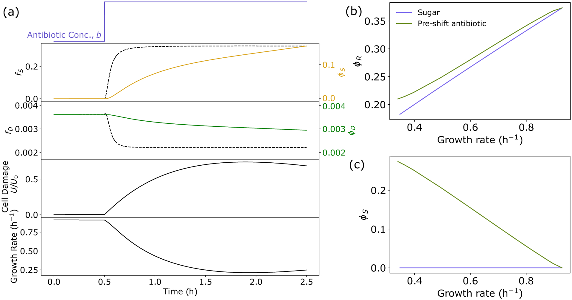
为了优化自身的健康状况,细胞面临着高效应对各种压力的关键任务。这就需要在保护生存资源与分配生长和分裂资源之间取得平衡。这些权衡的基本原理是生命系统物理学的一个突出挑战。在本研究中,我们介绍了细菌生理学的粗粒度理论框架,该框架建立了细胞生理状态与细胞在动态环境中生存结果之间的联系,尤其是在抗生素暴露的情况下。由于生理状态对最小抑菌浓度(MIC)和杀灭率等关键参数影响深远,即使在同源细胞群中,预测细菌对不同抗生素剂量的生存反应也具有挑战性。我们提出的理论模型将细胞外抗生素浓度和营养质量与细胞内损伤积累和基因表达联系起来,从而弥补了这一差距。这一框架使我们能够预测和解释在各种时变环境中细胞生长率、死亡率、MIC 和存活率的控制。令人惊讶的是,我们的模型发现,细胞死亡很少是由于抗生素水平超过了最大生理极限,而是由于无法足够快地改变基因表达以过渡到较不敏感的生理状态而限制了存活。此外,细菌倾向于过度表达应激反应基因,以减少生长为代价,从而在进一步接触抗生素时获得更大的保护。这种策略与细菌在不同营养环境中采用的策略截然不同,在不同营养环境中,细菌会分配资源以最大限度地提高生长速度。这凸显了细胞生长能力与抗生素暴露存活能力之间的重要权衡。
本文章由计算机程序翻译,如有差异,请以英文原文为准。

Gene Expression Tradeoffs Determine Bacterial Survival and Adaptation to Antibiotic Stress.

Gene Expression Tradeoffs Determine Bacterial Survival and Adaptation to Antibiotic Stress.

Gene Expression Tradeoffs Determine Bacterial Survival and Adaptation to Antibiotic Stress.

Gene Expression Tradeoffs Determine Bacterial Survival and Adaptation to Antibiotic Stress.

To optimize their fitness, cells face the crucial task of efficiently responding to various stresses. This necessitates striking a balance between conserving resources for survival and allocating resources for growth and division. The fundamental principles governing these tradeoffs is an outstanding challenge in the physics of living systems. In this study, we introduce a coarse-grained theoretical framework for bacterial physiology that establishes a connection between the physiological state of cells and their survival outcomes in dynamic environments, particularly in the context of antibiotic exposure. Predicting bacterial survival responses to varying antibiotic doses proves challenging due to the profound influence of the physiological state on critical parameters, such as the minimum inhibitory concentration (MIC) and killing rates, even within an isogenic cell population. Our proposed theoretical model bridges the gap by linking extracellular antibiotic concentration and nutrient quality to intracellular damage accumulation and gene expression. This framework allows us to predict and explain the control of cellular growth rate, death rate, MIC, and survival fraction in a wide range of time-varying environments. Surprisingly, our model reveals that cell death is rarely due to antibiotic levels being above the maximum physiological limit, but instead survival is limited by the inability to alter gene expression sufficiently quickly to transition to a less susceptible physiological state. Moreover, bacteria tend to overexpress stress response genes at the expense of reduced growth, conferring greater protection against further antibiotic exposure. This strategy is in contrast to those employed in different nutrient environments, in which bacteria allocate resources to maximize growth rate. This highlights an important tradeoff between the cellular capacity for growth and the ability to survive antibiotic exposure.

求助全文
通过发布文献求助,成功后即可免费获取论文全文。 去求助
来源期刊
自引率
0.00%
发文量
0
×
引用
GB/T 7714-2015
复制
MLA
复制
APA
复制
导出至
BibTeX EndNote RefMan NoteFirst NoteExpress
×
提示
您的信息不完整,为了账户安全,请先补充。
现在去补充
×
提示
您因"违规操作"
具体请查看互助需知
我知道了
×
提示
确定
请完成安全验证×
copy
已复制链接
快去分享给好友吧!
我知道了
右上角分享
点击右上角分享
0
联系我们:info@booksci.cn Book学术提供免费学术资源搜索服务,方便国内外学者检索中英文文献。致力于提供最便捷和优质的服务体验。 Copyright © 2023 布克学术 All rights reserved.
京ICP备2023020795号-1
ghs 京公网安备 11010802042870号
Book学术文献互助
Book学术文献互助群
群 号:604180095
Book学术官方微信