[手性金属有机框架修饰硅胶整体毛细管柱的制备及其在手性药物对映体分离中的应用]。

Rui-Ke Song, Gan Liao, Jia-Li Lin, Jia-Lian Wu, Lu Huang
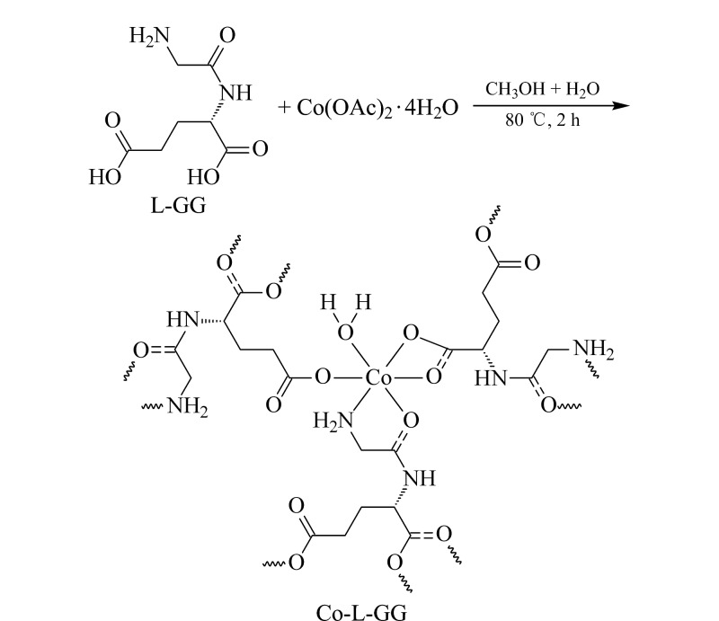
{"title":"[手性金属有机框架修饰硅胶整体毛细管柱的制备及其在手性药物对映体分离中的应用]。","authors":"Rui-Ke Song, Gan Liao, Jia-Li Lin, Jia-Lian Wu, Lu Huang","doi":"10.3724/SP.J.1123.2024.01020","DOIUrl":null,"url":null,"abstract":"<p><p>Metal organic frameworks (MOFs) are crystalline compounds composed of metal ions (or metal clusters) and organic ligands. Chiral MOFs have been successfully utilized as novel materials for the separation of chiral enantiomers by chromatography, demonstrating excellent chiral separation performance. In this study, a chiral MOF-modified silica monolithic capillary column was used for pressurized capillary electrochromatography. First, a chiral MOF (Co-glycyl-L-glutamic acid, Co-L-GG) was synthesized. This MOF was then used to prepare a chiral capillary monolithic column via a one-step in situ polymerization method. The optimal conditions for preparing the chiral capillary monolithic column were determined as follows: Co-L-GG amount, 5 mg; polyethylene glycol amount, 0.96 mg; tetramethoxysilane dosage, 3.6 mL; trimethoxymethylsilane dosage, 0.4 mL. Next, the effects of the separation conditions on the separation of chiral drugs were investigated. Under the conditions of an applied voltage of -20 kV and a mobile phase consisting of acetonitrile and 20 mmol/L disodium hydrogen phosphate (80∶20, v/v), six chiral drugs were separated within 3 min, with baseline separation achieved for amlodipine, fluvastatin, and tryptophan. Moreover, the prepared chiral capillary monolithic column exhibited good reproducibility and stability. Finally, molecular docking studies were conducted using AutoDock to explore the chiral recognition mechanism, and the results were analyzed using Discovery Studio. The results indicated that larger differences in binding free energy between Co-L-GG and the enantiomers of the chiral drugs were correlated with higher enantioselectivity factors. However, this correlation did not necessarily lead to an increase in resolution. Co-L-GG, which is enriched with primary amines, secondary amines, and carbonyl groups, demonstrated enantiomeric recognition capability. In conclusion, this study demonstrates that chiral MOFs can be effectively used as chiral functional monomers to prepare chiral monolithic capillary columns, highlighting their significant potential for the separation and analysis of chiral compounds. The comprehensive exploration of the synthesis, characterization, and applications of these MOFs will help provide valuable insights into the development of advanced separation technologies.</p>","PeriodicalId":101336,"journal":{"name":"Se pu = Chinese journal of chromatography","volume":"42 11","pages":"1087-1093"},"PeriodicalIF":0.0000,"publicationDate":"2024-11-01","publicationTypes":"Journal Article","fieldsOfStudy":null,"isOpenAccess":false,"openAccessPdf":"https://www.ncbi.nlm.nih.gov/pmc/articles/PMC11519764/pdf/","citationCount":"0","resultStr":"{\"title\":\"[Preparation of chiral metal organic framework modified silica monolithic capillary column and its application in enantioseparations of chiral drugs].\",\"authors\":\"Rui-Ke Song, Gan Liao, Jia-Li Lin, Jia-Lian Wu, Lu Huang\",\"doi\":\"10.3724/SP.J.1123.2024.01020\",\"DOIUrl\":null,\"url\":null,\"abstract\":\"<p><p>Metal organic frameworks (MOFs) are crystalline compounds composed of metal ions (or metal clusters) and organic ligands. Chiral MOFs have been successfully utilized as novel materials for the separation of chiral enantiomers by chromatography, demonstrating excellent chiral separation performance. In this study, a chiral MOF-modified silica monolithic capillary column was used for pressurized capillary electrochromatography. First, a chiral MOF (Co-glycyl-L-glutamic acid, Co-L-GG) was synthesized. This MOF was then used to prepare a chiral capillary monolithic column via a one-step in situ polymerization method. The optimal conditions for preparing the chiral capillary monolithic column were determined as follows: Co-L-GG amount, 5 mg; polyethylene glycol amount, 0.96 mg; tetramethoxysilane dosage, 3.6 mL; trimethoxymethylsilane dosage, 0.4 mL. Next, the effects of the separation conditions on the separation of chiral drugs were investigated. Under the conditions of an applied voltage of -20 kV and a mobile phase consisting of acetonitrile and 20 mmol/L disodium hydrogen phosphate (80∶20, v/v), six chiral drugs were separated within 3 min, with baseline separation achieved for amlodipine, fluvastatin, and tryptophan. Moreover, the prepared chiral capillary monolithic column exhibited good reproducibility and stability. Finally, molecular docking studies were conducted using AutoDock to explore the chiral recognition mechanism, and the results were analyzed using Discovery Studio. The results indicated that larger differences in binding free energy between Co-L-GG and the enantiomers of the chiral drugs were correlated with higher enantioselectivity factors. However, this correlation did not necessarily lead to an increase in resolution. Co-L-GG, which is enriched with primary amines, secondary amines, and carbonyl groups, demonstrated enantiomeric recognition capability. In conclusion, this study demonstrates that chiral MOFs can be effectively used as chiral functional monomers to prepare chiral monolithic capillary columns, highlighting their significant potential for the separation and analysis of chiral compounds. The comprehensive exploration of the synthesis, characterization, and applications of these MOFs will help provide valuable insights into the development of advanced separation technologies.</p>\",\"PeriodicalId\":101336,\"journal\":{\"name\":\"Se pu = Chinese journal of chromatography\",\"volume\":\"42 11\",\"pages\":\"1087-1093\"},\"PeriodicalIF\":0.0000,\"publicationDate\":\"2024-11-01\",\"publicationTypes\":\"Journal Article\",\"fieldsOfStudy\":null,\"isOpenAccess\":false,\"openAccessPdf\":\"https://www.ncbi.nlm.nih.gov/pmc/articles/PMC11519764/pdf/\",\"citationCount\":\"0\",\"resultStr\":null,\"platform\":\"Semanticscholar\",\"paperid\":null,\"PeriodicalName\":\"Se pu = Chinese journal of chromatography\",\"FirstCategoryId\":\"1085\",\"ListUrlMain\":\"https://doi.org/10.3724/SP.J.1123.2024.01020\",\"RegionNum\":0,\"RegionCategory\":null,\"ArticlePicture\":[],\"TitleCN\":null,\"AbstractTextCN\":null,\"PMCID\":null,\"EPubDate\":\"\",\"PubModel\":\"\",\"JCR\":\"\",\"JCRName\":\"\",\"Score\":null,\"Total\":0}","platform":"Semanticscholar","paperid":null,"PeriodicalName":"Se pu = Chinese journal of chromatography","FirstCategoryId":"1085","ListUrlMain":"https://doi.org/10.3724/SP.J.1123.2024.01020","RegionNum":0,"RegionCategory":null,"ArticlePicture":[],"TitleCN":null,"AbstractTextCN":null,"PMCID":null,"EPubDate":"","PubModel":"","JCR":"","JCRName":"","Score":null,"Total":0}
引用次数: 0

摘要

金属有机框架(MOFs)是由金属离子(或金属簇)和有机配体组成的结晶化合物。手性 MOF 已被成功用作色谱法分离手性对映体的新型材料,表现出卓越的手性分离性能。本研究将手性 MOF 改性硅胶整体毛细管柱用于加压毛细管电色谱。首先,合成了一种手性 MOF(Co-甘氨酰-L-谷氨酸,Co-L-GG)。然后利用这种 MOF 通过一步原位聚合法制备手性毛细管整体柱。制备手性毛细管整体柱的最佳条件确定如下:Co-L-GG 用量为 5 毫克;聚乙二醇用量为 0.96 毫克;四甲氧基硅烷用量为 3.6 毫升;三甲氧基甲基硅烷用量为 0.4 毫升。接下来,研究了分离条件对手性药物分离的影响。在电压为 -20 kV、流动相为乙腈和 20 mmol/L 磷酸氢二钠(体积比为 80∶20)的条件下,6 种手性药物在 3 分钟内实现了分离,其中氨氯地平、氟伐他汀和色氨酸实现了基线分离。此外,所制备的手性毛细管整体柱具有良好的重现性和稳定性。最后,使用 AutoDock 进行了分子对接研究,以探索手性识别机制,并使用 Discovery Studio 对结果进行了分析。结果表明,Co-L-GG 与手性药物对映体之间的结合自由能差异越大,对映体选择性越高。然而,这种相关性并不一定导致分辨率的提高。富含伯胺、仲胺和羰基的 Co-L-GG 具有对映体识别能力。总之,本研究证明了手性 MOFs 可作为手性功能单体有效用于制备手性整体毛细管柱,凸显了其在手性化合物分离和分析方面的巨大潜力。对这些 MOFs 的合成、表征和应用的全面探索将有助于为先进分离技术的发展提供宝贵的见解。
本文章由计算机程序翻译,如有差异,请以英文原文为准。

[Preparation of chiral metal organic framework modified silica monolithic capillary column and its application in enantioseparations of chiral drugs].

[Preparation of chiral metal organic framework modified silica monolithic capillary column and its application in enantioseparations of chiral drugs].

[Preparation of chiral metal organic framework modified silica monolithic capillary column and its application in enantioseparations of chiral drugs].

[Preparation of chiral metal organic framework modified silica monolithic capillary column and its application in enantioseparations of chiral drugs].

Metal organic frameworks (MOFs) are crystalline compounds composed of metal ions (or metal clusters) and organic ligands. Chiral MOFs have been successfully utilized as novel materials for the separation of chiral enantiomers by chromatography, demonstrating excellent chiral separation performance. In this study, a chiral MOF-modified silica monolithic capillary column was used for pressurized capillary electrochromatography. First, a chiral MOF (Co-glycyl-L-glutamic acid, Co-L-GG) was synthesized. This MOF was then used to prepare a chiral capillary monolithic column via a one-step in situ polymerization method. The optimal conditions for preparing the chiral capillary monolithic column were determined as follows: Co-L-GG amount, 5 mg; polyethylene glycol amount, 0.96 mg; tetramethoxysilane dosage, 3.6 mL; trimethoxymethylsilane dosage, 0.4 mL. Next, the effects of the separation conditions on the separation of chiral drugs were investigated. Under the conditions of an applied voltage of -20 kV and a mobile phase consisting of acetonitrile and 20 mmol/L disodium hydrogen phosphate (80∶20, v/v), six chiral drugs were separated within 3 min, with baseline separation achieved for amlodipine, fluvastatin, and tryptophan. Moreover, the prepared chiral capillary monolithic column exhibited good reproducibility and stability. Finally, molecular docking studies were conducted using AutoDock to explore the chiral recognition mechanism, and the results were analyzed using Discovery Studio. The results indicated that larger differences in binding free energy between Co-L-GG and the enantiomers of the chiral drugs were correlated with higher enantioselectivity factors. However, this correlation did not necessarily lead to an increase in resolution. Co-L-GG, which is enriched with primary amines, secondary amines, and carbonyl groups, demonstrated enantiomeric recognition capability. In conclusion, this study demonstrates that chiral MOFs can be effectively used as chiral functional monomers to prepare chiral monolithic capillary columns, highlighting their significant potential for the separation and analysis of chiral compounds. The comprehensive exploration of the synthesis, characterization, and applications of these MOFs will help provide valuable insights into the development of advanced separation technologies.

求助全文
通过发布文献求助,成功后即可免费获取论文全文。 去求助
来源期刊
自引率
0.00%
发文量
0
×
引用
GB/T 7714-2015
复制
MLA
复制
APA
复制
导出至
BibTeX EndNote RefMan NoteFirst NoteExpress
×
提示
您的信息不完整,为了账户安全,请先补充。
现在去补充
×
提示
您因"违规操作"
具体请查看互助需知
我知道了
×
提示
确定
请完成安全验证×
copy
已复制链接
快去分享给好友吧!
我知道了
右上角分享
点击右上角分享
0
联系我们:info@booksci.cn Book学术提供免费学术资源搜索服务,方便国内外学者检索中英文文献。致力于提供最便捷和优质的服务体验。 Copyright © 2023 布克学术 All rights reserved.
京ICP备2023020795号-1
ghs 京公网安备 11010802042870号
Book学术文献互助
Book学术文献互助群
群 号:604180095
Book学术官方微信