经皮冠状动脉介入治疗后 5 年相对存活率的性别差异。

European cardiology Pub Date : 2024-10-02 eCollection Date: 2024-01-01 DOI:10.15420/ecr.2024.25
Jin-Ho Choi, Jung-Min Choi, Ki-Hong Choi, Joo Myung Lee, Taek Kyu Park, Jeong Hoon Yang, Young Bin Song, Joo-Yong Hahn, Seung-Hyuk Choi, Hyeon-Cheol Gwon, Eun-Seok Shin
{"title":"经皮冠状动脉介入治疗后 5 年相对存活率的性别差异。","authors":"Jin-Ho Choi, Jung-Min Choi, Ki-Hong Choi, Joo Myung Lee, Taek Kyu Park, Jeong Hoon Yang, Young Bin Song, Joo-Yong Hahn, Seung-Hyuk Choi, Hyeon-Cheol Gwon, Eun-Seok Shin","doi":"10.15420/ecr.2024.25","DOIUrl":null,"url":null,"abstract":"<p><strong>Background: </strong>Survival rates following percutaneous coronary intervention (PCI) show variability across studies, particularly regarding sex-specific outcomes. Relative survival analysis, which considers survival patterns in sex-and age-matched general populations, could help explain this variability.</p><p><strong>Methods: </strong>In a 2011 nationwide South Korean PCI cohort study with 48,783 patients, all-cause death was assessed as the primary outcome over 5 years. Observed and relative survival rates at 5 years conditional on surviving 0 days, 30 days, 1 year, and 2 years were assessed. Sex-specific differences in clinical characteristics were adjusted using propensity score-matching.</p><p><strong>Results: </strong>In the unadjusted analyses, 15,710 females had more cardiovascular risk factors than 33,073 males. Both observed survival (HR 1.28; 95% CI [1.22-1.34]) and relative survival (HR 1.21; 95% CI [1.16-1.27]) were lower in females than males (all p<0.001). In the analyses of 14,454 matched pairs, females showed higher observed survival (HR 0.78; 95% CI [0.74-0.82]), but lower relative survival (HR 1.19; 95% CI [1.13-1.26]), compared to males (all p<0.001). This trend was particularly notable in females aged 60 years or older. These findings persisted in analyses conditional on surviving 30 days, 1 year and 2 years.</p><p><strong>Conclusion: </strong>The adjusted 5-year relative survival of older females was lower than that of age-matched males, highlighting the need for the excessive risk reduction in older females undergoing PCI.</p>","PeriodicalId":93994,"journal":{"name":"European cardiology","volume":"19 ","pages":"e18"},"PeriodicalIF":0.0000,"publicationDate":"2024-10-02","publicationTypes":"Journal Article","fieldsOfStudy":null,"isOpenAccess":false,"openAccessPdf":"https://www.ncbi.nlm.nih.gov/pmc/articles/PMC11499972/pdf/","citationCount":"0","resultStr":"{\"title\":\"Sex Difference in 5-year Relative Survival Following Percutaneous Coronary Intervention.\",\"authors\":\"Jin-Ho Choi, Jung-Min Choi, Ki-Hong Choi, Joo Myung Lee, Taek Kyu Park, Jeong Hoon Yang, Young Bin Song, Joo-Yong Hahn, Seung-Hyuk Choi, Hyeon-Cheol Gwon, Eun-Seok Shin\",\"doi\":\"10.15420/ecr.2024.25\",\"DOIUrl\":null,\"url\":null,\"abstract\":\"<p><strong>Background: </strong>Survival rates following percutaneous coronary intervention (PCI) show variability across studies, particularly regarding sex-specific outcomes. Relative survival analysis, which considers survival patterns in sex-and age-matched general populations, could help explain this variability.</p><p><strong>Methods: </strong>In a 2011 nationwide South Korean PCI cohort study with 48,783 patients, all-cause death was assessed as the primary outcome over 5 years. Observed and relative survival rates at 5 years conditional on surviving 0 days, 30 days, 1 year, and 2 years were assessed. Sex-specific differences in clinical characteristics were adjusted using propensity score-matching.</p><p><strong>Results: </strong>In the unadjusted analyses, 15,710 females had more cardiovascular risk factors than 33,073 males. Both observed survival (HR 1.28; 95% CI [1.22-1.34]) and relative survival (HR 1.21; 95% CI [1.16-1.27]) were lower in females than males (all p<0.001). In the analyses of 14,454 matched pairs, females showed higher observed survival (HR 0.78; 95% CI [0.74-0.82]), but lower relative survival (HR 1.19; 95% CI [1.13-1.26]), compared to males (all p<0.001). This trend was particularly notable in females aged 60 years or older. These findings persisted in analyses conditional on surviving 30 days, 1 year and 2 years.</p><p><strong>Conclusion: </strong>The adjusted 5-year relative survival of older females was lower than that of age-matched males, highlighting the need for the excessive risk reduction in older females undergoing PCI.</p>\",\"PeriodicalId\":93994,\"journal\":{\"name\":\"European cardiology\",\"volume\":\"19 \",\"pages\":\"e18\"},\"PeriodicalIF\":0.0000,\"publicationDate\":\"2024-10-02\",\"publicationTypes\":\"Journal Article\",\"fieldsOfStudy\":null,\"isOpenAccess\":false,\"openAccessPdf\":\"https://www.ncbi.nlm.nih.gov/pmc/articles/PMC11499972/pdf/\",\"citationCount\":\"0\",\"resultStr\":null,\"platform\":\"Semanticscholar\",\"paperid\":null,\"PeriodicalName\":\"European cardiology\",\"FirstCategoryId\":\"1085\",\"ListUrlMain\":\"https://doi.org/10.15420/ecr.2024.25\",\"RegionNum\":0,\"RegionCategory\":null,\"ArticlePicture\":[],\"TitleCN\":null,\"AbstractTextCN\":null,\"PMCID\":null,\"EPubDate\":\"2024/1/1 0:00:00\",\"PubModel\":\"eCollection\",\"JCR\":\"\",\"JCRName\":\"\",\"Score\":null,\"Total\":0}","platform":"Semanticscholar","paperid":null,"PeriodicalName":"European cardiology","FirstCategoryId":"1085","ListUrlMain":"https://doi.org/10.15420/ecr.2024.25","RegionNum":0,"RegionCategory":null,"ArticlePicture":[],"TitleCN":null,"AbstractTextCN":null,"PMCID":null,"EPubDate":"2024/1/1 0:00:00","PubModel":"eCollection","JCR":"","JCRName":"","Score":null,"Total":0}
引用次数: 0

摘要

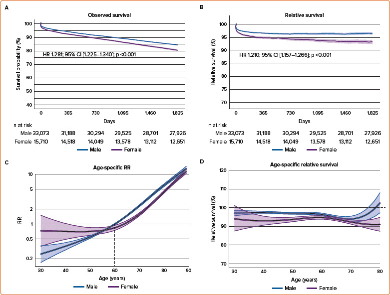
背景:经皮冠状动脉介入治疗(PCI)后的存活率在不同研究中存在差异,尤其是在性别特异性结果方面。相对生存率分析考虑了性别和年龄匹配的普通人群的生存模式,有助于解释这种差异:方法:在 2011 年韩国全国范围内对 48783 名患者进行的 PCI 队列研究中,评估的主要结果是 5 年内全因死亡。研究评估了 0 天、30 天、1 年和 2 年存活情况下的 5 年观察存活率和相对存活率。采用倾向得分匹配法调整了临床特征的性别差异:在未经调整的分析中,15710 名女性比 33 073 名男性具有更多的心血管风险因素。女性的观察存活率(HR 1.28;95% CI [1.22-1.34])和相对存活率(HR 1.21;95% CI [1.16-1.27])均低于男性(均为 p):老年女性的调整后5年相对存活率低于年龄匹配的男性,这凸显了对接受PCI治疗的老年女性过度降低风险的必要性。
本文章由计算机程序翻译,如有差异,请以英文原文为准。

Sex Difference in 5-year Relative Survival Following Percutaneous Coronary Intervention.

Sex Difference in 5-year Relative Survival Following Percutaneous Coronary Intervention.

Sex Difference in 5-year Relative Survival Following Percutaneous Coronary Intervention.

Sex Difference in 5-year Relative Survival Following Percutaneous Coronary Intervention.

Background: Survival rates following percutaneous coronary intervention (PCI) show variability across studies, particularly regarding sex-specific outcomes. Relative survival analysis, which considers survival patterns in sex-and age-matched general populations, could help explain this variability.

Methods: In a 2011 nationwide South Korean PCI cohort study with 48,783 patients, all-cause death was assessed as the primary outcome over 5 years. Observed and relative survival rates at 5 years conditional on surviving 0 days, 30 days, 1 year, and 2 years were assessed. Sex-specific differences in clinical characteristics were adjusted using propensity score-matching.

Results: In the unadjusted analyses, 15,710 females had more cardiovascular risk factors than 33,073 males. Both observed survival (HR 1.28; 95% CI [1.22-1.34]) and relative survival (HR 1.21; 95% CI [1.16-1.27]) were lower in females than males (all p<0.001). In the analyses of 14,454 matched pairs, females showed higher observed survival (HR 0.78; 95% CI [0.74-0.82]), but lower relative survival (HR 1.19; 95% CI [1.13-1.26]), compared to males (all p<0.001). This trend was particularly notable in females aged 60 years or older. These findings persisted in analyses conditional on surviving 30 days, 1 year and 2 years.

Conclusion: The adjusted 5-year relative survival of older females was lower than that of age-matched males, highlighting the need for the excessive risk reduction in older females undergoing PCI.

求助全文
通过发布文献求助,成功后即可免费获取论文全文。 去求助
来源期刊
自引率
0.00%
发文量
0
×
引用
GB/T 7714-2015
复制
MLA
复制
APA
复制
导出至
BibTeX EndNote RefMan NoteFirst NoteExpress
×
提示
您的信息不完整,为了账户安全,请先补充。
现在去补充
×
提示
您因"违规操作"
具体请查看互助需知
我知道了
×
提示
确定
请完成安全验证×
copy
已复制链接
快去分享给好友吧!
我知道了
右上角分享
点击右上角分享
0
联系我们:info@booksci.cn Book学术提供免费学术资源搜索服务,方便国内外学者检索中英文文献。致力于提供最便捷和优质的服务体验。 Copyright © 2023 布克学术 All rights reserved.
京ICP备2023020795号-1
ghs 京公网安备 11010802042870号
Book学术文献互助
Book学术文献互助群
群 号:604180095
Book学术官方微信