类风湿关节炎患者 COVID-19 再感染的流行率和风险因素:一项回顾性观察研究

IF 2.8 4区 医学 Q1 MEDICINE, GENERAL & INTERNAL
Young-Eun Kim, Soo Min Ahn, Ji Seon Oh, Seokchan Hong, Chang-Keun Lee, Bin Yoo, Yong-Gil Kim
{"title":"类风湿关节炎患者 COVID-19 再感染的流行率和风险因素:一项回顾性观察研究","authors":"Young-Eun Kim, Soo Min Ahn, Ji Seon Oh, Seokchan Hong, Chang-Keun Lee, Bin Yoo, Yong-Gil Kim","doi":"10.3349/ymj.2023.0585","DOIUrl":null,"url":null,"abstract":"<p><strong>Purpose: </strong>To identify the prevalence and risk factors of coronavirus disease 2019 (COVID-19) reinfection in patients with rheumatoid arthritis (RA).</p><p><strong>Materials and methods: </strong>This study retrospectively analyzed patients with RA with a documented COVID-19 infection between January 2021 and December 2022 at a tertiary hospital in Seoul, South Korea. Reinfection was defined as a subsequent positive test result for severe acute respiratory syndrome coronavirus 2 at least 3 months after the initial infection. Cox proportional hazards models with backward elimination were employed to assess the association between potential risk factors and risk of reinfection.</p><p><strong>Results: </strong>Of 351 included patients with RA {female, 81.5%; median age, 58.0 years [interquartile range (IQR), 48.0-66.0]}, 252 (71.8%) were treated with methotrexate and 12 (3.4%) received leflunomide during the initial infection. Over a median follow-up of 1.5 (IQR, 1.1-1.6) years, 43 (12.3%) patients experienced reinfection, equating to an incidence rate of 8.97 per 100 patient-years. The median time interval between infections was 0.8 (IQR, 0.6-1.2) years. Among the risk factors, leflunomide use showed a significant association with reinfection (hazard ratio, 2.968; 95% confidence interval, 1.057-8.335; <i>p</i>=0.039). However, no significant changes occurred in disease activity following reinfection [disease activity score using 28 joints: baseline median, 2.3 (IQR, 1.9-2.8); post-reinfection median, 2.3 (IQR, 1.8-2.6), <i>p</i> for change=0.895].</p><p><strong>Conclusion: </strong>In this retrospective cohort study of patients with RA with COVID-19 infection, approximately 12% of patients experienced reinfection without significant change in disease activity. Leflunomide use was associated with a higher risk of reinfection.</p>","PeriodicalId":23765,"journal":{"name":"Yonsei Medical Journal","volume":"65 11","pages":"645-650"},"PeriodicalIF":2.8000,"publicationDate":"2024-11-01","publicationTypes":"Journal Article","fieldsOfStudy":null,"isOpenAccess":false,"openAccessPdf":"https://www.ncbi.nlm.nih.gov/pmc/articles/PMC11519132/pdf/","citationCount":"0","resultStr":"{\"title\":\"Prevalence and Risk Factors of COVID-19 Reinfection in Patients with Rheumatoid Arthritis: A Retrospective Observational Study.\",\"authors\":\"Young-Eun Kim, Soo Min Ahn, Ji Seon Oh, Seokchan Hong, Chang-Keun Lee, Bin Yoo, Yong-Gil Kim\",\"doi\":\"10.3349/ymj.2023.0585\",\"DOIUrl\":null,\"url\":null,\"abstract\":\"<p><strong>Purpose: </strong>To identify the prevalence and risk factors of coronavirus disease 2019 (COVID-19) reinfection in patients with rheumatoid arthritis (RA).</p><p><strong>Materials and methods: </strong>This study retrospectively analyzed patients with RA with a documented COVID-19 infection between January 2021 and December 2022 at a tertiary hospital in Seoul, South Korea. Reinfection was defined as a subsequent positive test result for severe acute respiratory syndrome coronavirus 2 at least 3 months after the initial infection. Cox proportional hazards models with backward elimination were employed to assess the association between potential risk factors and risk of reinfection.</p><p><strong>Results: </strong>Of 351 included patients with RA {female, 81.5%; median age, 58.0 years [interquartile range (IQR), 48.0-66.0]}, 252 (71.8%) were treated with methotrexate and 12 (3.4%) received leflunomide during the initial infection. Over a median follow-up of 1.5 (IQR, 1.1-1.6) years, 43 (12.3%) patients experienced reinfection, equating to an incidence rate of 8.97 per 100 patient-years. The median time interval between infections was 0.8 (IQR, 0.6-1.2) years. Among the risk factors, leflunomide use showed a significant association with reinfection (hazard ratio, 2.968; 95% confidence interval, 1.057-8.335; <i>p</i>=0.039). However, no significant changes occurred in disease activity following reinfection [disease activity score using 28 joints: baseline median, 2.3 (IQR, 1.9-2.8); post-reinfection median, 2.3 (IQR, 1.8-2.6), <i>p</i> for change=0.895].</p><p><strong>Conclusion: </strong>In this retrospective cohort study of patients with RA with COVID-19 infection, approximately 12% of patients experienced reinfection without significant change in disease activity. Leflunomide use was associated with a higher risk of reinfection.</p>\",\"PeriodicalId\":23765,\"journal\":{\"name\":\"Yonsei Medical Journal\",\"volume\":\"65 11\",\"pages\":\"645-650\"},\"PeriodicalIF\":2.8000,\"publicationDate\":\"2024-11-01\",\"publicationTypes\":\"Journal Article\",\"fieldsOfStudy\":null,\"isOpenAccess\":false,\"openAccessPdf\":\"https://www.ncbi.nlm.nih.gov/pmc/articles/PMC11519132/pdf/\",\"citationCount\":\"0\",\"resultStr\":null,\"platform\":\"Semanticscholar\",\"paperid\":null,\"PeriodicalName\":\"Yonsei Medical Journal\",\"FirstCategoryId\":\"3\",\"ListUrlMain\":\"https://doi.org/10.3349/ymj.2023.0585\",\"RegionNum\":4,\"RegionCategory\":\"医学\",\"ArticlePicture\":[],\"TitleCN\":null,\"AbstractTextCN\":null,\"PMCID\":null,\"EPubDate\":\"\",\"PubModel\":\"\",\"JCR\":\"Q1\",\"JCRName\":\"MEDICINE, GENERAL & INTERNAL\",\"Score\":null,\"Total\":0}","platform":"Semanticscholar","paperid":null,"PeriodicalName":"Yonsei Medical Journal","FirstCategoryId":"3","ListUrlMain":"https://doi.org/10.3349/ymj.2023.0585","RegionNum":4,"RegionCategory":"医学","ArticlePicture":[],"TitleCN":null,"AbstractTextCN":null,"PMCID":null,"EPubDate":"","PubModel":"","JCR":"Q1","JCRName":"MEDICINE, GENERAL & INTERNAL","Score":null,"Total":0}
引用次数: 0

摘要

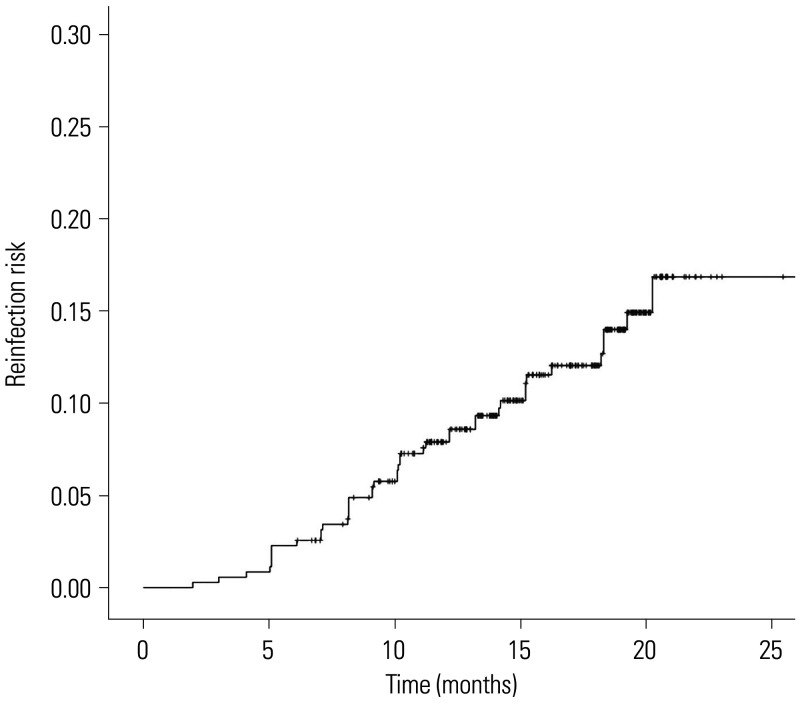
目的:确定类风湿关节炎(RA)患者再次感染冠状病毒病2019(COVID-19)的流行率和风险因素:本研究回顾性分析了2021年1月至2022年12月期间在韩国首尔一家三甲医院就诊并有COVID-19感染记录的RA患者。首次感染后至少 3 个月,严重急性呼吸道综合征冠状病毒 2 检测结果呈阳性,即为再次感染。结果显示,在351例RA患者中,{..:在纳入的351名RA患者中(女性,81.5%;中位年龄,58.0岁[四分位距(IQR),48.0-66.0]},252人(71.8%)在初次感染时接受了甲氨蝶呤治疗,12人(3.4%)接受了来氟米特治疗。在中位随访 1.5(IQR,1.1-1.6)年期间,43 例(12.3%)患者经历了再感染,相当于每 100 患者年 8.97 例的发病率。两次感染之间的中位时间间隔为 0.8(IQR,0.6-1.2)年。在风险因素中,来氟米特的使用与再感染有显著关联(危险比为 2.968;95% 置信区间为 1.057-8.335;P=0.039)。然而,再感染后疾病活动度没有发生明显变化[使用28个关节的疾病活动度评分:基线中位数,2.3(IQR,1.9-2.8);再感染后中位数,2.3(IQR,1.8-2.6),p=0.895]:在这项对感染COVID-19的RA患者进行的回顾性队列研究中,约12%的患者经历了再感染,但疾病活动无显著变化。来氟米特的使用与较高的再感染风险有关。
本文章由计算机程序翻译,如有差异,请以英文原文为准。

Prevalence and Risk Factors of COVID-19 Reinfection in Patients with Rheumatoid Arthritis: A Retrospective Observational Study.

Prevalence and Risk Factors of COVID-19 Reinfection in Patients with Rheumatoid Arthritis: A Retrospective Observational Study.

Prevalence and Risk Factors of COVID-19 Reinfection in Patients with Rheumatoid Arthritis: A Retrospective Observational Study.

Prevalence and Risk Factors of COVID-19 Reinfection in Patients with Rheumatoid Arthritis: A Retrospective Observational Study.

Purpose: To identify the prevalence and risk factors of coronavirus disease 2019 (COVID-19) reinfection in patients with rheumatoid arthritis (RA).

Materials and methods: This study retrospectively analyzed patients with RA with a documented COVID-19 infection between January 2021 and December 2022 at a tertiary hospital in Seoul, South Korea. Reinfection was defined as a subsequent positive test result for severe acute respiratory syndrome coronavirus 2 at least 3 months after the initial infection. Cox proportional hazards models with backward elimination were employed to assess the association between potential risk factors and risk of reinfection.

Results: Of 351 included patients with RA {female, 81.5%; median age, 58.0 years [interquartile range (IQR), 48.0-66.0]}, 252 (71.8%) were treated with methotrexate and 12 (3.4%) received leflunomide during the initial infection. Over a median follow-up of 1.5 (IQR, 1.1-1.6) years, 43 (12.3%) patients experienced reinfection, equating to an incidence rate of 8.97 per 100 patient-years. The median time interval between infections was 0.8 (IQR, 0.6-1.2) years. Among the risk factors, leflunomide use showed a significant association with reinfection (hazard ratio, 2.968; 95% confidence interval, 1.057-8.335; p=0.039). However, no significant changes occurred in disease activity following reinfection [disease activity score using 28 joints: baseline median, 2.3 (IQR, 1.9-2.8); post-reinfection median, 2.3 (IQR, 1.8-2.6), p for change=0.895].

Conclusion: In this retrospective cohort study of patients with RA with COVID-19 infection, approximately 12% of patients experienced reinfection without significant change in disease activity. Leflunomide use was associated with a higher risk of reinfection.

求助全文
通过发布文献求助,成功后即可免费获取论文全文。 去求助
来源期刊
Yonsei Medical Journal
Yonsei Medical Journal 医学-医学:内科
CiteScore
4.50
自引率
0.00%
发文量
167
审稿时长
3 months
期刊介绍: The goal of the Yonsei Medical Journal (YMJ) is to publish high quality manuscripts dedicated to clinical or basic research. Any authors affiliated with an accredited biomedical institution may submit manuscripts of original articles, review articles, case reports, brief communications, and letters to the Editor.
×
引用
GB/T 7714-2015
复制
MLA
复制
APA
复制
导出至
BibTeX EndNote RefMan NoteFirst NoteExpress
×
提示
您的信息不完整,为了账户安全,请先补充。
现在去补充
×
提示
您因"违规操作"
具体请查看互助需知
我知道了
×
提示
确定
请完成安全验证×
copy
已复制链接
快去分享给好友吧!
我知道了
右上角分享
点击右上角分享
0
联系我们:info@booksci.cn Book学术提供免费学术资源搜索服务,方便国内外学者检索中英文文献。致力于提供最便捷和优质的服务体验。 Copyright © 2023 布克学术 All rights reserved.
京ICP备2023020795号-1
ghs 京公网安备 11010802042870号
Book学术文献互助
Book学术文献互助群
群 号:604180095
Book学术官方微信