在大流行期间,接种了完全疫苗的航空旅客在岛屿隔离系统中旅游时感染 SARS-CoV-2 的风险:回顾性队列研究。

IF 2.1 Q2 PUBLIC, ENVIRONMENTAL & OCCUPATIONAL HEALTH
Thunyaporn Sirijantradilok, Chanapong Rojanaworarit, Isabella Andrade, Worawaran Kallayanasit, Panunda Yodkhunnathum, Somruethai Khamsakhon, Supasit Suerungruang, Nuttawoot Photisan
{"title":"在大流行期间,接种了完全疫苗的航空旅客在岛屿隔离系统中旅游时感染 SARS-CoV-2 的风险:回顾性队列研究。","authors":"Thunyaporn Sirijantradilok, Chanapong Rojanaworarit, Isabella Andrade, Worawaran Kallayanasit, Panunda Yodkhunnathum, Somruethai Khamsakhon, Supasit Suerungruang, Nuttawoot Photisan","doi":"10.3961/jpmph.24.351","DOIUrl":null,"url":null,"abstract":"<p><strong>Objectives: </strong>This study aimed to identify the incidence of severe acute respiratory syndrome coronavirus 2 (SARS-CoV-2) infection among fully vaccinated air travelers participating in an island-confined quarantine system (Phuket Sandbox Program). It also compared the differential risk of SARS-CoV-2 infection across different coronavirus disease 2019 (COVID-19) vaccines and the difference in time-to-detection periods between asymptomatic and symptomatic cases.</p><p><strong>Methods: </strong>This retrospective cohort study determined the cumulative incidence of SARS-CoV-2 infection among 63 052 air travelers who participated in a quarantine program from July 1, 2021 to October 31, 2021. Using Poisson regression with robust standard errors, we estimated the relative risk of SARS-CoV-2 infection across different brands and types of COVID-19 vaccines, adjusting for relevant covariates. We visualized the time-to-detection periods for SARS-CoV-2 infection using Kaplan-Meier failure curves and compared these curves for asymptomatic and symptomatic travelers using the log-rank test.</p><p><strong>Results: </strong>The overall incidence of SARS-CoV-2 infection was 0.3%. Individuals vaccinated with Ad26.COV2.S, Gam-COVID-Vac, CoronaVac, and replicating viral vector vaccines faced a significantly higher risk of infection than those who received the BNT162b2 and mRNA vaccines. The time-to-detection periods for asymptomatic and symptomatic cases did not differ significantly.</p><p><strong>Conclusions: </strong>Despite the relatively low risk of SARS-CoV-2 infection, a risk of breakthrough cases remained with certain vaccines. Given the high proportion of asymptomatic cases, quarantine and intermittent testing should be implemented. The mandatory quarantine system proved effective in managing positive cases without necessitating a complete shutdown of travel. Implementing an island quarantine could be a viable strategy for reintroducing travel and tourism during a future COVID-19 outbreak or a new pandemic.</p>","PeriodicalId":16893,"journal":{"name":"Journal of Preventive Medicine and Public Health","volume":" ","pages":"552-563"},"PeriodicalIF":2.1000,"publicationDate":"2024-11-01","publicationTypes":"Journal Article","fieldsOfStudy":null,"isOpenAccess":false,"openAccessPdf":"https://www.ncbi.nlm.nih.gov/pmc/articles/PMC11626105/pdf/","citationCount":"0","resultStr":"{\"title\":\"SARS-CoV-2 Infection Risk Imposed by Fully-vaccinated Air Travelers Attending an Island-confined Quarantine System Enabling Tourism During the Pandemic: A Retrospective Cohort Study.\",\"authors\":\"Thunyaporn Sirijantradilok, Chanapong Rojanaworarit, Isabella Andrade, Worawaran Kallayanasit, Panunda Yodkhunnathum, Somruethai Khamsakhon, Supasit Suerungruang, Nuttawoot Photisan\",\"doi\":\"10.3961/jpmph.24.351\",\"DOIUrl\":null,\"url\":null,\"abstract\":\"<p><strong>Objectives: </strong>This study aimed to identify the incidence of severe acute respiratory syndrome coronavirus 2 (SARS-CoV-2) infection among fully vaccinated air travelers participating in an island-confined quarantine system (Phuket Sandbox Program). It also compared the differential risk of SARS-CoV-2 infection across different coronavirus disease 2019 (COVID-19) vaccines and the difference in time-to-detection periods between asymptomatic and symptomatic cases.</p><p><strong>Methods: </strong>This retrospective cohort study determined the cumulative incidence of SARS-CoV-2 infection among 63 052 air travelers who participated in a quarantine program from July 1, 2021 to October 31, 2021. Using Poisson regression with robust standard errors, we estimated the relative risk of SARS-CoV-2 infection across different brands and types of COVID-19 vaccines, adjusting for relevant covariates. We visualized the time-to-detection periods for SARS-CoV-2 infection using Kaplan-Meier failure curves and compared these curves for asymptomatic and symptomatic travelers using the log-rank test.</p><p><strong>Results: </strong>The overall incidence of SARS-CoV-2 infection was 0.3%. Individuals vaccinated with Ad26.COV2.S, Gam-COVID-Vac, CoronaVac, and replicating viral vector vaccines faced a significantly higher risk of infection than those who received the BNT162b2 and mRNA vaccines. The time-to-detection periods for asymptomatic and symptomatic cases did not differ significantly.</p><p><strong>Conclusions: </strong>Despite the relatively low risk of SARS-CoV-2 infection, a risk of breakthrough cases remained with certain vaccines. Given the high proportion of asymptomatic cases, quarantine and intermittent testing should be implemented. The mandatory quarantine system proved effective in managing positive cases without necessitating a complete shutdown of travel. Implementing an island quarantine could be a viable strategy for reintroducing travel and tourism during a future COVID-19 outbreak or a new pandemic.</p>\",\"PeriodicalId\":16893,\"journal\":{\"name\":\"Journal of Preventive Medicine and Public Health\",\"volume\":\" \",\"pages\":\"552-563\"},\"PeriodicalIF\":2.1000,\"publicationDate\":\"2024-11-01\",\"publicationTypes\":\"Journal Article\",\"fieldsOfStudy\":null,\"isOpenAccess\":false,\"openAccessPdf\":\"https://www.ncbi.nlm.nih.gov/pmc/articles/PMC11626105/pdf/\",\"citationCount\":\"0\",\"resultStr\":null,\"platform\":\"Semanticscholar\",\"paperid\":null,\"PeriodicalName\":\"Journal of Preventive Medicine and Public Health\",\"FirstCategoryId\":\"1085\",\"ListUrlMain\":\"https://doi.org/10.3961/jpmph.24.351\",\"RegionNum\":0,\"RegionCategory\":null,\"ArticlePicture\":[],\"TitleCN\":null,\"AbstractTextCN\":null,\"PMCID\":null,\"EPubDate\":\"2024/9/23 0:00:00\",\"PubModel\":\"Epub\",\"JCR\":\"Q2\",\"JCRName\":\"PUBLIC, ENVIRONMENTAL & OCCUPATIONAL HEALTH\",\"Score\":null,\"Total\":0}","platform":"Semanticscholar","paperid":null,"PeriodicalName":"Journal of Preventive Medicine and Public Health","FirstCategoryId":"1085","ListUrlMain":"https://doi.org/10.3961/jpmph.24.351","RegionNum":0,"RegionCategory":null,"ArticlePicture":[],"TitleCN":null,"AbstractTextCN":null,"PMCID":null,"EPubDate":"2024/9/23 0:00:00","PubModel":"Epub","JCR":"Q2","JCRName":"PUBLIC, ENVIRONMENTAL & OCCUPATIONAL HEALTH","Score":null,"Total":0}
引用次数: 0

摘要

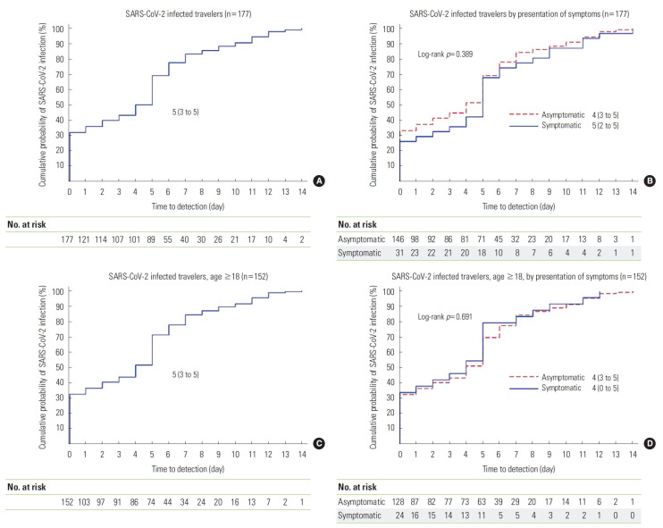
研究目的本研究旨在确定参加岛屿隔离系统(普吉沙盒计划)的已完全接种疫苗的航空旅客的 SARS-CoV-2 感染率。研究还比较了不同 COVID-19 疫苗的 SARS-CoV-2 感染风险差异,以及无症状和有症状病例的检测时间差异:这项回顾性队列研究确定了2021年7月1日至10月31日期间参加隔离计划的63052名航空旅客的SARS-CoV-2累积感染率。我们使用带稳健标准误差的泊松回归法估算了不同品牌和类型的 COVID-19 疫苗感染 SARS-CoV-2 的相对风险,并对相关协变量进行了调整。我们使用 Kaplan-Meier 失败曲线直观地显示了 SARS-CoV-2 感染的检测时间,并使用对数秩检验比较了无症状和有症状旅行者的检测时间曲线: 结果:SARS-CoV-2 的总感染率为 0.3%。接种 Ad26.COV2.S、Gam-COVID-Vac、CoronaVac 和复制病毒载体疫苗的人的感染风险明显高于接种 BNT162b2 和 mRNA 疫苗的人。无症状病例和有症状病例的检测时间差异不大: 结论:尽管感染 SARS-CoV-2 的风险相对较低,但接种某些疫苗仍有可能出现突破性病例。鉴于无症状病例的比例较高,应实施检疫和间歇性检测。事实证明,强制检疫制度可有效管理阳性病例,而不必完全停止旅行。在未来爆发 COVID-19 或新的大流行病时,实施岛屿检疫可能是恢复旅行和旅游业的可行策略。
本文章由计算机程序翻译,如有差异,请以英文原文为准。

SARS-CoV-2 Infection Risk Imposed by Fully-vaccinated Air Travelers Attending an Island-confined Quarantine System Enabling Tourism During the Pandemic: A Retrospective Cohort Study.

SARS-CoV-2 Infection Risk Imposed by Fully-vaccinated Air Travelers Attending an Island-confined Quarantine System Enabling Tourism During the Pandemic: A Retrospective Cohort Study.

Objectives: This study aimed to identify the incidence of severe acute respiratory syndrome coronavirus 2 (SARS-CoV-2) infection among fully vaccinated air travelers participating in an island-confined quarantine system (Phuket Sandbox Program). It also compared the differential risk of SARS-CoV-2 infection across different coronavirus disease 2019 (COVID-19) vaccines and the difference in time-to-detection periods between asymptomatic and symptomatic cases.

Methods: This retrospective cohort study determined the cumulative incidence of SARS-CoV-2 infection among 63 052 air travelers who participated in a quarantine program from July 1, 2021 to October 31, 2021. Using Poisson regression with robust standard errors, we estimated the relative risk of SARS-CoV-2 infection across different brands and types of COVID-19 vaccines, adjusting for relevant covariates. We visualized the time-to-detection periods for SARS-CoV-2 infection using Kaplan-Meier failure curves and compared these curves for asymptomatic and symptomatic travelers using the log-rank test.

Results: The overall incidence of SARS-CoV-2 infection was 0.3%. Individuals vaccinated with Ad26.COV2.S, Gam-COVID-Vac, CoronaVac, and replicating viral vector vaccines faced a significantly higher risk of infection than those who received the BNT162b2 and mRNA vaccines. The time-to-detection periods for asymptomatic and symptomatic cases did not differ significantly.

Conclusions: Despite the relatively low risk of SARS-CoV-2 infection, a risk of breakthrough cases remained with certain vaccines. Given the high proportion of asymptomatic cases, quarantine and intermittent testing should be implemented. The mandatory quarantine system proved effective in managing positive cases without necessitating a complete shutdown of travel. Implementing an island quarantine could be a viable strategy for reintroducing travel and tourism during a future COVID-19 outbreak or a new pandemic.

求助全文
通过发布文献求助,成功后即可免费获取论文全文。 去求助
来源期刊
Journal of Preventive Medicine and Public Health
Journal of Preventive Medicine and Public Health Medicine-Public Health, Environmental and Occupational Health
CiteScore
6.40
自引率
0.00%
发文量
60
审稿时长
8 weeks
×
引用
GB/T 7714-2015
复制
MLA
复制
APA
复制
导出至
BibTeX EndNote RefMan NoteFirst NoteExpress
×
提示
您的信息不完整,为了账户安全,请先补充。
现在去补充
×
提示
您因"违规操作"
具体请查看互助需知
我知道了
×
提示
确定
请完成安全验证×
copy
已复制链接
快去分享给好友吧!
我知道了
右上角分享
点击右上角分享
0
联系我们:info@booksci.cn Book学术提供免费学术资源搜索服务,方便国内外学者检索中英文文献。致力于提供最便捷和优质的服务体验。 Copyright © 2023 布克学术 All rights reserved.
京ICP备2023020795号-1
ghs 京公网安备 11010802042870号
Book学术文献互助
Book学术文献互助群
群 号:604180095
Book学术官方微信