首次就诊前糖化血红蛋白、空腹血浆葡萄糖和体重指数的轨迹模式:利用日本工人的重复健康检查数据研究 2 型糖尿病的真实世界病史。

IF 2.2 4区 医学 Q1 MEDICINE, GENERAL & INTERNAL
Toshiko Takao, Machi Suka, Masako Nishikawa, Hiroyuki Yanagisawa, Toru Ishii
{"title":"首次就诊前糖化血红蛋白、空腹血浆葡萄糖和体重指数的轨迹模式:利用日本工人的重复健康检查数据研究 2 型糖尿病的真实世界病史。","authors":"Toshiko Takao, Machi Suka, Masako Nishikawa, Hiroyuki Yanagisawa, Toru Ishii","doi":"10.1093/fampra/cmae054","DOIUrl":null,"url":null,"abstract":"<p><strong>Background: </strong>There is a lack of evidence regarding the trajectories of type 2 diabetes until the first clinic visit, including the untreated period after diagnosis.</p><p><strong>Objective: </strong>We aimed to determine the real-world history of type 2 diabetes until the first clinic visit, including the untreated duration, and to assess the effective timing of the therapeutic intervention.</p><p><strong>Methods: </strong>A total of 23,622 nondiabetic Japanese workers with a mean (SD) age of 38.8 (11.5) years were retrospectively followed from 2008 to 2022 for annual health checkups. The trajectories of glycated hemoglobin (HbA1c), fasting plasma glucose (FPG), and body mass index (BMI) until the first clinic visit in diabetes individuals were determined. ROC analysis was performed to assess the contribution of each measure to the first visit.</p><p><strong>Results: </strong>During a median follow-up of 12.0 years, 1,725 individuals developed type 2 diabetes, of whom 532 individuals visited clinics. HbA1c and FPG trajectories steeply rose in the year before the first clinic visit after their progressive upward trends. ROC analysis showed cutoff values for each measure. As the untreated duration increased, glycemia increased and BMI decreased among individuals who visited clinics.</p><p><strong>Conclusions: </strong>To prevent the initial worsening of diabetes, early therapeutic intervention is necessary during the increasing trends before the steep rise in glycemia, regardless of the degree of obesity. HbA1c ≥6.5% (47.5 mmol/mol) and an HbA1c ≥0.2% (2.2 mmol/mol)/year increase may be an effective timing for therapeutic intervention.</p>","PeriodicalId":12209,"journal":{"name":"Family practice","volume":" ","pages":""},"PeriodicalIF":2.2000,"publicationDate":"2025-02-07","publicationTypes":"Journal Article","fieldsOfStudy":null,"isOpenAccess":false,"openAccessPdf":"https://www.ncbi.nlm.nih.gov/pmc/articles/PMC11809247/pdf/","citationCount":"0","resultStr":"{\"title\":\"Patterns of trajectories of glycated hemoglobin, fasting plasma glucose, and body mass index until the first clinic visit: the real-world history of type 2 diabetes using repeated health checkup data of Japanese workers.\",\"authors\":\"Toshiko Takao, Machi Suka, Masako Nishikawa, Hiroyuki Yanagisawa, Toru Ishii\",\"doi\":\"10.1093/fampra/cmae054\",\"DOIUrl\":null,\"url\":null,\"abstract\":\"<p><strong>Background: </strong>There is a lack of evidence regarding the trajectories of type 2 diabetes until the first clinic visit, including the untreated period after diagnosis.</p><p><strong>Objective: </strong>We aimed to determine the real-world history of type 2 diabetes until the first clinic visit, including the untreated duration, and to assess the effective timing of the therapeutic intervention.</p><p><strong>Methods: </strong>A total of 23,622 nondiabetic Japanese workers with a mean (SD) age of 38.8 (11.5) years were retrospectively followed from 2008 to 2022 for annual health checkups. The trajectories of glycated hemoglobin (HbA1c), fasting plasma glucose (FPG), and body mass index (BMI) until the first clinic visit in diabetes individuals were determined. ROC analysis was performed to assess the contribution of each measure to the first visit.</p><p><strong>Results: </strong>During a median follow-up of 12.0 years, 1,725 individuals developed type 2 diabetes, of whom 532 individuals visited clinics. HbA1c and FPG trajectories steeply rose in the year before the first clinic visit after their progressive upward trends. ROC analysis showed cutoff values for each measure. As the untreated duration increased, glycemia increased and BMI decreased among individuals who visited clinics.</p><p><strong>Conclusions: </strong>To prevent the initial worsening of diabetes, early therapeutic intervention is necessary during the increasing trends before the steep rise in glycemia, regardless of the degree of obesity. HbA1c ≥6.5% (47.5 mmol/mol) and an HbA1c ≥0.2% (2.2 mmol/mol)/year increase may be an effective timing for therapeutic intervention.</p>\",\"PeriodicalId\":12209,\"journal\":{\"name\":\"Family practice\",\"volume\":\" \",\"pages\":\"\"},\"PeriodicalIF\":2.2000,\"publicationDate\":\"2025-02-07\",\"publicationTypes\":\"Journal Article\",\"fieldsOfStudy\":null,\"isOpenAccess\":false,\"openAccessPdf\":\"https://www.ncbi.nlm.nih.gov/pmc/articles/PMC11809247/pdf/\",\"citationCount\":\"0\",\"resultStr\":null,\"platform\":\"Semanticscholar\",\"paperid\":null,\"PeriodicalName\":\"Family practice\",\"FirstCategoryId\":\"3\",\"ListUrlMain\":\"https://doi.org/10.1093/fampra/cmae054\",\"RegionNum\":4,\"RegionCategory\":\"医学\",\"ArticlePicture\":[],\"TitleCN\":null,\"AbstractTextCN\":null,\"PMCID\":null,\"EPubDate\":\"\",\"PubModel\":\"\",\"JCR\":\"Q1\",\"JCRName\":\"MEDICINE, GENERAL & INTERNAL\",\"Score\":null,\"Total\":0}","platform":"Semanticscholar","paperid":null,"PeriodicalName":"Family practice","FirstCategoryId":"3","ListUrlMain":"https://doi.org/10.1093/fampra/cmae054","RegionNum":4,"RegionCategory":"医学","ArticlePicture":[],"TitleCN":null,"AbstractTextCN":null,"PMCID":null,"EPubDate":"","PubModel":"","JCR":"Q1","JCRName":"MEDICINE, GENERAL & INTERNAL","Score":null,"Total":0}
引用次数: 0

摘要

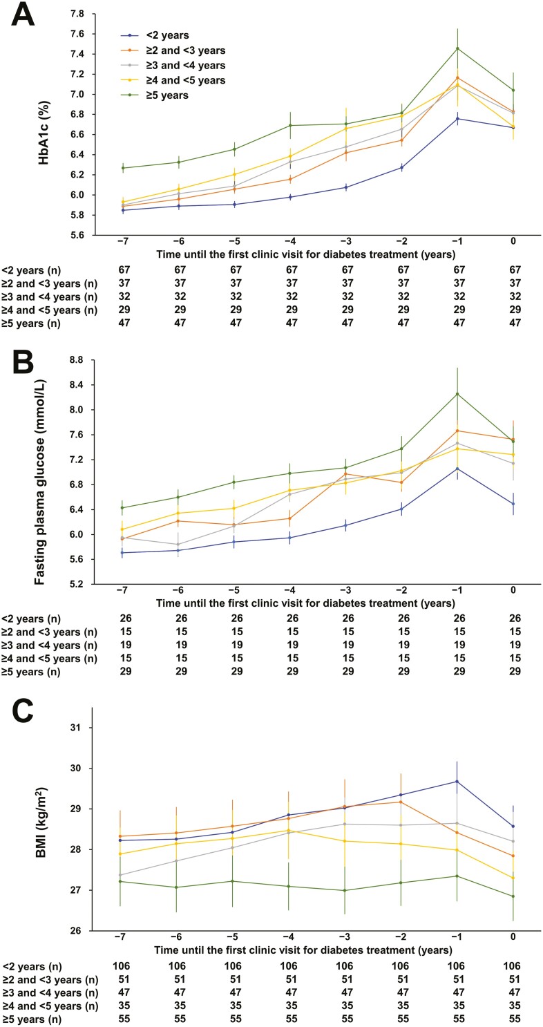
背景:关于 2 型糖尿病首次就诊前的发展轨迹,包括确诊后的未治疗期,目前尚缺乏相关证据:我们旨在确定 2 型糖尿病在首次就诊前的真实病史,包括未经治疗的时间,并评估治疗干预的有效时间:方法:对 23622 名平均(标清)年龄为 38.8(11.5)岁的非糖尿病日本工人进行了回顾性随访,随访时间为 2008 年至 2022 年的年度体检。研究人员测定了糖尿病患者首次就诊前的糖化血红蛋白(HbA1c)、空腹血浆葡萄糖(FPG)和体重指数(BMI)的变化轨迹。通过 ROC 分析评估了各项指标对首次就诊的影响:中位随访时间为 12.0 年,共有 1725 人罹患 2 型糖尿病,其中 532 人就诊。HbA1c 和 FPG 的变化轨迹在首次就诊前一年呈逐渐上升趋势。ROC 分析显示了各项指标的临界值。随着未治疗时间的延长,就诊者的血糖值升高,体重指数下降:无论肥胖程度如何,为了防止糖尿病初期恶化,在血糖急剧上升之前的上升趋势期间,有必要进行早期治疗干预。HbA1c ≥6.5%(47.5 mmol/mol)和 HbA1c ≥0.2%(2.2 mmol/mol)/年增长可能是治疗干预的有效时机。
本文章由计算机程序翻译,如有差异,请以英文原文为准。

Patterns of trajectories of glycated hemoglobin, fasting plasma glucose, and body mass index until the first clinic visit: the real-world history of type 2 diabetes using repeated health checkup data of Japanese workers.

Patterns of trajectories of glycated hemoglobin, fasting plasma glucose, and body mass index until the first clinic visit: the real-world history of type 2 diabetes using repeated health checkup data of Japanese workers.

Patterns of trajectories of glycated hemoglobin, fasting plasma glucose, and body mass index until the first clinic visit: the real-world history of type 2 diabetes using repeated health checkup data of Japanese workers.

Patterns of trajectories of glycated hemoglobin, fasting plasma glucose, and body mass index until the first clinic visit: the real-world history of type 2 diabetes using repeated health checkup data of Japanese workers.

Background: There is a lack of evidence regarding the trajectories of type 2 diabetes until the first clinic visit, including the untreated period after diagnosis.

Objective: We aimed to determine the real-world history of type 2 diabetes until the first clinic visit, including the untreated duration, and to assess the effective timing of the therapeutic intervention.

Methods: A total of 23,622 nondiabetic Japanese workers with a mean (SD) age of 38.8 (11.5) years were retrospectively followed from 2008 to 2022 for annual health checkups. The trajectories of glycated hemoglobin (HbA1c), fasting plasma glucose (FPG), and body mass index (BMI) until the first clinic visit in diabetes individuals were determined. ROC analysis was performed to assess the contribution of each measure to the first visit.

Results: During a median follow-up of 12.0 years, 1,725 individuals developed type 2 diabetes, of whom 532 individuals visited clinics. HbA1c and FPG trajectories steeply rose in the year before the first clinic visit after their progressive upward trends. ROC analysis showed cutoff values for each measure. As the untreated duration increased, glycemia increased and BMI decreased among individuals who visited clinics.

Conclusions: To prevent the initial worsening of diabetes, early therapeutic intervention is necessary during the increasing trends before the steep rise in glycemia, regardless of the degree of obesity. HbA1c ≥6.5% (47.5 mmol/mol) and an HbA1c ≥0.2% (2.2 mmol/mol)/year increase may be an effective timing for therapeutic intervention.

求助全文
通过发布文献求助,成功后即可免费获取论文全文。 去求助
来源期刊
Family practice
Family practice 医学-医学:内科
CiteScore
4.30
自引率
9.10%
发文量
144
审稿时长
4-8 weeks
期刊介绍: Family Practice is an international journal aimed at practitioners, teachers, and researchers in the fields of family medicine, general practice, and primary care in both developed and developing countries. Family Practice offers its readership an international view of the problems and preoccupations in the field, while providing a medium of instruction and exploration. The journal''s range and content covers such areas as health care delivery, epidemiology, public health, and clinical case studies. The journal aims to be interdisciplinary and contributions from other disciplines of medicine and social science are always welcomed.
×
引用
GB/T 7714-2015
复制
MLA
复制
APA
复制
导出至
BibTeX EndNote RefMan NoteFirst NoteExpress
×
提示
您的信息不完整,为了账户安全,请先补充。
现在去补充
×
提示
您因"违规操作"
具体请查看互助需知
我知道了
×
提示
确定
请完成安全验证×
copy
已复制链接
快去分享给好友吧!
我知道了
右上角分享
点击右上角分享
0
联系我们:info@booksci.cn Book学术提供免费学术资源搜索服务,方便国内外学者检索中英文文献。致力于提供最便捷和优质的服务体验。 Copyright © 2023 布克学术 All rights reserved.
京ICP备2023020795号-1
ghs 京公网安备 11010802042870号
Book学术文献互助
Book学术文献互助群
群 号:604180095
Book学术官方微信