水环境中的轮状病毒:系统回顾与元分析》。

IF 2.9 Q2 PUBLIC, ENVIRONMENTAL & OCCUPATIONAL HEALTH
Environmental Health Insights Pub Date : 2024-10-18 eCollection Date: 2024-01-01 DOI:10.1177/11786302241276667
Aaron Awere-Duodu, Eric S Donkor
{"title":"水环境中的轮状病毒:系统回顾与元分析》。","authors":"Aaron Awere-Duodu, Eric S Donkor","doi":"10.1177/11786302241276667","DOIUrl":null,"url":null,"abstract":"<p><strong>Background: </strong>Despite the adoption of rotavirus vaccines, sporadic outbreaks of the virus have been reported in many parts of the world. These outbreaks are facilitated by several factors including the ease of transmission of rotavirus through water environments. This systematic review aimed to determine the global prevalence of rotavirus in water environments.</p><p><strong>Methodology: </strong>Comprehensive Boolean searches were conducted in PubMed, SCOPUS, and Web of Science. A total of 75 eligible studies were included in the study, from which data was extracted for both systematic review and meta-analysis. Extracted prevalence data was grouped according to six water categories: drinking water, untreated sewage, treated sewage, surface water, groundwater, and others. A single-group prevalence meta-analysis was conducted in RStudio version 4.3.3 subjecting the data to the random-effects model.</p><p><strong>Results: </strong>The included studies were conducted in 32 countries that span 5 continents: Africa, Asia, Europe, North America, and South America. The pooled prevalence of rotavirus in water environments was 40.86%. Among the individual water environments, untreated sewage had the highest prevalence (68.27%), followed by treated sewage (53.07%), surface water (33.40%), groundwater (25.64%) and drinking water (9.46%). Continental stratification of the prevalence data was as follows: Africa (51.75%), Asia (32.48%), Europe (55.90%), North America (41.80%), and South America (28.51%).</p><p><strong>Conclusion: </strong>There is a high prevalence of rotavirus in water environments, especially in untreated sewage, and in Europe. Further research is needed to find more efficient methods that can effectively eliminate rotavirus to insignificant levels in water environments.</p>","PeriodicalId":11827,"journal":{"name":"Environmental Health Insights","volume":"18 ","pages":"11786302241276667"},"PeriodicalIF":2.9000,"publicationDate":"2024-10-18","publicationTypes":"Journal Article","fieldsOfStudy":null,"isOpenAccess":false,"openAccessPdf":"https://www.ncbi.nlm.nih.gov/pmc/articles/PMC11494518/pdf/","citationCount":"0","resultStr":"{\"title\":\"Rotavirus in Water Environments: A Systematic Review and Meta-Analysis.\",\"authors\":\"Aaron Awere-Duodu, Eric S Donkor\",\"doi\":\"10.1177/11786302241276667\",\"DOIUrl\":null,\"url\":null,\"abstract\":\"<p><strong>Background: </strong>Despite the adoption of rotavirus vaccines, sporadic outbreaks of the virus have been reported in many parts of the world. These outbreaks are facilitated by several factors including the ease of transmission of rotavirus through water environments. This systematic review aimed to determine the global prevalence of rotavirus in water environments.</p><p><strong>Methodology: </strong>Comprehensive Boolean searches were conducted in PubMed, SCOPUS, and Web of Science. A total of 75 eligible studies were included in the study, from which data was extracted for both systematic review and meta-analysis. Extracted prevalence data was grouped according to six water categories: drinking water, untreated sewage, treated sewage, surface water, groundwater, and others. A single-group prevalence meta-analysis was conducted in RStudio version 4.3.3 subjecting the data to the random-effects model.</p><p><strong>Results: </strong>The included studies were conducted in 32 countries that span 5 continents: Africa, Asia, Europe, North America, and South America. The pooled prevalence of rotavirus in water environments was 40.86%. Among the individual water environments, untreated sewage had the highest prevalence (68.27%), followed by treated sewage (53.07%), surface water (33.40%), groundwater (25.64%) and drinking water (9.46%). Continental stratification of the prevalence data was as follows: Africa (51.75%), Asia (32.48%), Europe (55.90%), North America (41.80%), and South America (28.51%).</p><p><strong>Conclusion: </strong>There is a high prevalence of rotavirus in water environments, especially in untreated sewage, and in Europe. Further research is needed to find more efficient methods that can effectively eliminate rotavirus to insignificant levels in water environments.</p>\",\"PeriodicalId\":11827,\"journal\":{\"name\":\"Environmental Health Insights\",\"volume\":\"18 \",\"pages\":\"11786302241276667\"},\"PeriodicalIF\":2.9000,\"publicationDate\":\"2024-10-18\",\"publicationTypes\":\"Journal Article\",\"fieldsOfStudy\":null,\"isOpenAccess\":false,\"openAccessPdf\":\"https://www.ncbi.nlm.nih.gov/pmc/articles/PMC11494518/pdf/\",\"citationCount\":\"0\",\"resultStr\":null,\"platform\":\"Semanticscholar\",\"paperid\":null,\"PeriodicalName\":\"Environmental Health Insights\",\"FirstCategoryId\":\"1085\",\"ListUrlMain\":\"https://doi.org/10.1177/11786302241276667\",\"RegionNum\":0,\"RegionCategory\":null,\"ArticlePicture\":[],\"TitleCN\":null,\"AbstractTextCN\":null,\"PMCID\":null,\"EPubDate\":\"2024/1/1 0:00:00\",\"PubModel\":\"eCollection\",\"JCR\":\"Q2\",\"JCRName\":\"PUBLIC, ENVIRONMENTAL & OCCUPATIONAL HEALTH\",\"Score\":null,\"Total\":0}","platform":"Semanticscholar","paperid":null,"PeriodicalName":"Environmental Health Insights","FirstCategoryId":"1085","ListUrlMain":"https://doi.org/10.1177/11786302241276667","RegionNum":0,"RegionCategory":null,"ArticlePicture":[],"TitleCN":null,"AbstractTextCN":null,"PMCID":null,"EPubDate":"2024/1/1 0:00:00","PubModel":"eCollection","JCR":"Q2","JCRName":"PUBLIC, ENVIRONMENTAL & OCCUPATIONAL HEALTH","Score":null,"Total":0}
引用次数: 0

摘要

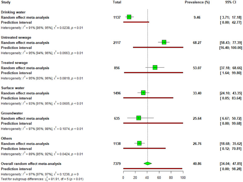
背景:尽管采用了轮状病毒疫苗,但世界许多地方仍有零星爆发轮状病毒疫情的报道。轮状病毒易于通过水环境传播等因素助长了疫情的爆发。本系统综述旨在确定轮状病毒在全球水环境中的流行情况:方法:在 PubMed、SCOPUS 和 Web of Science 中进行了全面的布尔检索。研究共纳入了 75 项符合条件的研究,并从中提取数据进行系统回顾和荟萃分析。提取的流行率数据按照饮用水、未经处理的污水、经处理的污水、地表水、地下水和其他六种水进行分组。在 RStudio 4.3.3 版中对数据进行了随机效应模型的单组流行率元分析:结果:纳入的研究在横跨五大洲的 32 个国家进行:结果:纳入的研究在非洲、亚洲、欧洲、北美洲和南美洲 5 大洲的 32 个国家进行。水环境中轮状病毒的总流行率为 40.86%。在各个水环境中,未经处理的污水的流行率最高(68.27%),其次是经过处理的污水(53.07%)、地表水(33.40%)、地下水(25.64%)和饮用水(9.46%)。流行率数据的大陆分层情况如下:非洲(51.75%)、亚洲(32.48%)、欧洲(55.90%)、北美洲(41.80%)和南美洲(28.51%):结论:轮状病毒在水环境中的流行率很高,尤其是在未经处理的污水中,在欧洲也是如此。需要进一步开展研究,以找到更有效的方法,将水环境中的轮状病毒消灭到微不足道的程度。
本文章由计算机程序翻译,如有差异,请以英文原文为准。

Rotavirus in Water Environments: A Systematic Review and Meta-Analysis.

Rotavirus in Water Environments: A Systematic Review and Meta-Analysis.

Rotavirus in Water Environments: A Systematic Review and Meta-Analysis.

Rotavirus in Water Environments: A Systematic Review and Meta-Analysis.

Background: Despite the adoption of rotavirus vaccines, sporadic outbreaks of the virus have been reported in many parts of the world. These outbreaks are facilitated by several factors including the ease of transmission of rotavirus through water environments. This systematic review aimed to determine the global prevalence of rotavirus in water environments.

Methodology: Comprehensive Boolean searches were conducted in PubMed, SCOPUS, and Web of Science. A total of 75 eligible studies were included in the study, from which data was extracted for both systematic review and meta-analysis. Extracted prevalence data was grouped according to six water categories: drinking water, untreated sewage, treated sewage, surface water, groundwater, and others. A single-group prevalence meta-analysis was conducted in RStudio version 4.3.3 subjecting the data to the random-effects model.

Results: The included studies were conducted in 32 countries that span 5 continents: Africa, Asia, Europe, North America, and South America. The pooled prevalence of rotavirus in water environments was 40.86%. Among the individual water environments, untreated sewage had the highest prevalence (68.27%), followed by treated sewage (53.07%), surface water (33.40%), groundwater (25.64%) and drinking water (9.46%). Continental stratification of the prevalence data was as follows: Africa (51.75%), Asia (32.48%), Europe (55.90%), North America (41.80%), and South America (28.51%).

Conclusion: There is a high prevalence of rotavirus in water environments, especially in untreated sewage, and in Europe. Further research is needed to find more efficient methods that can effectively eliminate rotavirus to insignificant levels in water environments.

求助全文
通过发布文献求助,成功后即可免费获取论文全文。 去求助
来源期刊
Environmental Health Insights
Environmental Health Insights PUBLIC, ENVIRONMENTAL & OCCUPATIONAL HEALTH-
CiteScore
3.20
自引率
22.20%
发文量
97
审稿时长
8 weeks
×
引用
GB/T 7714-2015
复制
MLA
复制
APA
复制
导出至
BibTeX EndNote RefMan NoteFirst NoteExpress
×
提示
您的信息不完整,为了账户安全,请先补充。
现在去补充
×
提示
您因"违规操作"
具体请查看互助需知
我知道了
×
提示
确定
请完成安全验证×
copy
已复制链接
快去分享给好友吧!
我知道了
右上角分享
点击右上角分享
0
联系我们:info@booksci.cn Book学术提供免费学术资源搜索服务,方便国内外学者检索中英文文献。致力于提供最便捷和优质的服务体验。 Copyright © 2023 布克学术 All rights reserved.
京ICP备2023020795号-1
ghs 京公网安备 11010802042870号
Book学术文献互助
Book学术文献互助群
群 号:604180095
Book学术官方微信