卵巢刺激对胚胎非整倍体的影响:对 12 874 个卵母细胞和 3106 个囊胚进行的分析,这些卵母细胞和囊胚都进行了单基因遗传病植入前基因检测。

IF 11.1 Q1 OBSTETRICS & GYNECOLOGY
Human reproduction open Pub Date : 2024-10-03 eCollection Date: 2024-01-01 DOI:10.1093/hropen/hoae054
Congcong Ma, Xiaoyu Long, Liying Yan, Xiaohui Zhu, Lixue Chen, Rong Li, Ying Wang, Jie Qiao
{"title":"卵巢刺激对胚胎非整倍体的影响:对 12 874 个卵母细胞和 3106 个囊胚进行的分析,这些卵母细胞和囊胚都进行了单基因遗传病植入前基因检测。","authors":"Congcong Ma, Xiaoyu Long, Liying Yan, Xiaohui Zhu, Lixue Chen, Rong Li, Ying Wang, Jie Qiao","doi":"10.1093/hropen/hoae054","DOIUrl":null,"url":null,"abstract":"<p><strong>Study question: </strong>Does ovarian stimulation and the ovarian response affect embryo euploidy?</p><p><strong>Summary answer: </strong>Ovarian stimulation and the ovarian response in women undergoing preimplantation genetic testing for monogenic disorders (PGT-M) cycles did not affect the rates of blastocyst euploidy.</p><p><strong>What is known already: </strong>Whether or not ovarian stimulation in IVF-embryo transfer has potential effects on embryo euploidy is controversial among studies for several reasons: (i) heterogeneity of the study populations, (ii) biopsies being performed at different stages of embryo development and (iii) evolution of the platforms utilized for ploidy assessment. Patients who undergo PGT-M cycles typically have no additional risks of aneuploidy, providing an ideal study population for exploring this issue.</p><p><strong>Study design size duration: </strong>A retrospective cohort study including embryos undergoing PGT-M was conducted at a single academically affiliated fertility clinic between June 2014 and July 2021.</p><p><strong>Participants/materials setting methods: </strong>A total of 617 women with 867 PGT-M cycles involving 12 874 retrieved oocytes and 3106 trophectoderm biopsies of blastocysts were included. The primary outcome of the study was median euploidy rate, which was calculated by dividing the number of euploid blastocysts by the total number of biopsied blastocysts for each cycle. Secondary outcomes included the median normal fertilization rate (two-pronuclear (2PN) embryos/metaphase II oocytes) and median blastulation rate (blastocyst numbers/2PN embryos).</p><p><strong>Main results and the role of chance: </strong>Comparable euploidy rates and fertilization rates were observed across all age groups, regardless of variations in ovarian stimulation protocols, gonadotropin dosages (both the starting and total dosages), stimulation durations, the inclusion of human menopausal gonadotrophin supplementation, or the number of oocytes retrieved (all <i>P</i> > 0.05). Blastulation rates declined with increasing starting doses of gonadotropins in women aged 31-34 years old (<i>P</i> = 0.005) but increased with increasing gonadotrophin starting doses in women aged 35-37 years old (<i>P</i> = 0.017). In women aged 31-34, 35-37, and 38-40 years old, blastulation rates were significantly reduced with increases in the number of oocytes retrieved (<i>P</i> = 0.001, <0.001, and 0.012, respectively).</p><p><strong>Limitations reasons for caution: </strong>Limitations include the study's retrospective nature and the relatively small number of patients of advanced age, especially patients older than 40 years old, leading to quite low statistical power. Second, as we considered euploidy rates as outcome measures, we did not analyze the effects of ovarian stimulation on uniform aneuploidy and mosaicism, respectively. Finally, we did not consider the effects of paternal characteristics on embryo euploidy status due to the fact that blastocyst aneuploidy primarily originates from maternal meiosis. However, sperm factors might have an effect on embryo development and the blastulation rate, and therefore also the number of blastocysts analyzed. The exclusion of patients with severe teratozoospermia and the fact that only ICSI was used as the insemination technique for women undergoing PGT-M contributed to minimize the effect of paternal factors.</p><p><strong>Wider implications of the findings: </strong>Ovarian stimulation and response to stimulation did not affect blastocyst euploidy rates in women undergoing PGT-M cycles. However, in women aged 31-40 years old, there was a significant decline in blastulation rates as the number of retrieved oocytes increased.</p><p><strong>Study funding/competing interests: </strong>This study was supported by the National Natural Science Foundation of China (Grant No. 81701407, 82301826); the National Key Research and Development Program of China (2022YFC2702901, 2022YFC2703004); China Postdoctoral Science Foundation (2022M710261), and China Postdoctoral Innovation Talent Support Program (BX20220020). There is no conflict of interest.</p><p><strong>Trial registration number: </strong>N/A.</p>","PeriodicalId":73264,"journal":{"name":"Human reproduction open","volume":"2024 4","pages":"hoae054"},"PeriodicalIF":11.1000,"publicationDate":"2024-10-03","publicationTypes":"Journal Article","fieldsOfStudy":null,"isOpenAccess":false,"openAccessPdf":"https://www.ncbi.nlm.nih.gov/pmc/articles/PMC11470209/pdf/","citationCount":"0","resultStr":"{\"title\":\"Effects of ovarian stimulation on embryo euploidy: an analysis of 12 874 oocytes and 3106 blastocysts in cycles with preimplantation genetic testing for monogenic disorders.\",\"authors\":\"Congcong Ma, Xiaoyu Long, Liying Yan, Xiaohui Zhu, Lixue Chen, Rong Li, Ying Wang, Jie Qiao\",\"doi\":\"10.1093/hropen/hoae054\",\"DOIUrl\":null,\"url\":null,\"abstract\":\"<p><strong>Study question: </strong>Does ovarian stimulation and the ovarian response affect embryo euploidy?</p><p><strong>Summary answer: </strong>Ovarian stimulation and the ovarian response in women undergoing preimplantation genetic testing for monogenic disorders (PGT-M) cycles did not affect the rates of blastocyst euploidy.</p><p><strong>What is known already: </strong>Whether or not ovarian stimulation in IVF-embryo transfer has potential effects on embryo euploidy is controversial among studies for several reasons: (i) heterogeneity of the study populations, (ii) biopsies being performed at different stages of embryo development and (iii) evolution of the platforms utilized for ploidy assessment. Patients who undergo PGT-M cycles typically have no additional risks of aneuploidy, providing an ideal study population for exploring this issue.</p><p><strong>Study design size duration: </strong>A retrospective cohort study including embryos undergoing PGT-M was conducted at a single academically affiliated fertility clinic between June 2014 and July 2021.</p><p><strong>Participants/materials setting methods: </strong>A total of 617 women with 867 PGT-M cycles involving 12 874 retrieved oocytes and 3106 trophectoderm biopsies of blastocysts were included. The primary outcome of the study was median euploidy rate, which was calculated by dividing the number of euploid blastocysts by the total number of biopsied blastocysts for each cycle. Secondary outcomes included the median normal fertilization rate (two-pronuclear (2PN) embryos/metaphase II oocytes) and median blastulation rate (blastocyst numbers/2PN embryos).</p><p><strong>Main results and the role of chance: </strong>Comparable euploidy rates and fertilization rates were observed across all age groups, regardless of variations in ovarian stimulation protocols, gonadotropin dosages (both the starting and total dosages), stimulation durations, the inclusion of human menopausal gonadotrophin supplementation, or the number of oocytes retrieved (all <i>P</i> > 0.05). Blastulation rates declined with increasing starting doses of gonadotropins in women aged 31-34 years old (<i>P</i> = 0.005) but increased with increasing gonadotrophin starting doses in women aged 35-37 years old (<i>P</i> = 0.017). In women aged 31-34, 35-37, and 38-40 years old, blastulation rates were significantly reduced with increases in the number of oocytes retrieved (<i>P</i> = 0.001, <0.001, and 0.012, respectively).</p><p><strong>Limitations reasons for caution: </strong>Limitations include the study's retrospective nature and the relatively small number of patients of advanced age, especially patients older than 40 years old, leading to quite low statistical power. Second, as we considered euploidy rates as outcome measures, we did not analyze the effects of ovarian stimulation on uniform aneuploidy and mosaicism, respectively. Finally, we did not consider the effects of paternal characteristics on embryo euploidy status due to the fact that blastocyst aneuploidy primarily originates from maternal meiosis. However, sperm factors might have an effect on embryo development and the blastulation rate, and therefore also the number of blastocysts analyzed. The exclusion of patients with severe teratozoospermia and the fact that only ICSI was used as the insemination technique for women undergoing PGT-M contributed to minimize the effect of paternal factors.</p><p><strong>Wider implications of the findings: </strong>Ovarian stimulation and response to stimulation did not affect blastocyst euploidy rates in women undergoing PGT-M cycles. However, in women aged 31-40 years old, there was a significant decline in blastulation rates as the number of retrieved oocytes increased.</p><p><strong>Study funding/competing interests: </strong>This study was supported by the National Natural Science Foundation of China (Grant No. 81701407, 82301826); the National Key Research and Development Program of China (2022YFC2702901, 2022YFC2703004); China Postdoctoral Science Foundation (2022M710261), and China Postdoctoral Innovation Talent Support Program (BX20220020). There is no conflict of interest.</p><p><strong>Trial registration number: </strong>N/A.</p>\",\"PeriodicalId\":73264,\"journal\":{\"name\":\"Human reproduction open\",\"volume\":\"2024 4\",\"pages\":\"hoae054\"},\"PeriodicalIF\":11.1000,\"publicationDate\":\"2024-10-03\",\"publicationTypes\":\"Journal Article\",\"fieldsOfStudy\":null,\"isOpenAccess\":false,\"openAccessPdf\":\"https://www.ncbi.nlm.nih.gov/pmc/articles/PMC11470209/pdf/\",\"citationCount\":\"0\",\"resultStr\":null,\"platform\":\"Semanticscholar\",\"paperid\":null,\"PeriodicalName\":\"Human reproduction open\",\"FirstCategoryId\":\"1085\",\"ListUrlMain\":\"https://doi.org/10.1093/hropen/hoae054\",\"RegionNum\":0,\"RegionCategory\":null,\"ArticlePicture\":[],\"TitleCN\":null,\"AbstractTextCN\":null,\"PMCID\":null,\"EPubDate\":\"2024/1/1 0:00:00\",\"PubModel\":\"eCollection\",\"JCR\":\"Q1\",\"JCRName\":\"OBSTETRICS & GYNECOLOGY\",\"Score\":null,\"Total\":0}","platform":"Semanticscholar","paperid":null,"PeriodicalName":"Human reproduction open","FirstCategoryId":"1085","ListUrlMain":"https://doi.org/10.1093/hropen/hoae054","RegionNum":0,"RegionCategory":null,"ArticlePicture":[],"TitleCN":null,"AbstractTextCN":null,"PMCID":null,"EPubDate":"2024/1/1 0:00:00","PubModel":"eCollection","JCR":"Q1","JCRName":"OBSTETRICS & GYNECOLOGY","Score":null,"Total":0}
引用次数: 0

摘要

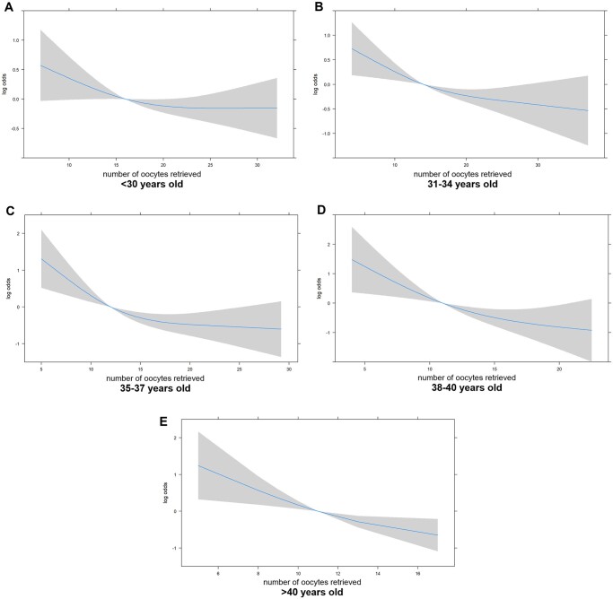
研究问题:卵巢刺激和卵巢反应是否会影响胚胎整倍体?接受单基因遗传病胚胎植入前基因检测(PGT-M)周期的妇女的卵巢刺激和卵巢反应不会影响囊胚的非整倍体率:体外受精-胚胎移植中的卵巢刺激是否会对胚胎的非整倍体性产生潜在影响,在多项研究中都存在争议,原因有以下几点:(i) 研究对象的异质性;(ii) 在胚胎发育的不同阶段进行活检;(iii) 用于倍性评估的平台的演变。接受 PGT-M 周期的患者通常没有额外的非整倍体风险,因此是探讨这一问题的理想研究人群:2014年6月至2021年7月期间,在一家学术附属生殖诊所进行了一项回顾性队列研究,其中包括接受PGT-M的胚胎:共纳入了 617 名妇女的 867 个 PGT-M 周期,涉及 12 874 个取回的卵母细胞和 3106 个胚泡的滋养层活检。研究的主要结果是中位非整倍体率,计算方法是用每个周期的非整倍体囊胚数除以活检囊胚总数。次要结果包括正常受精率中位数(双核(2PN)胚胎/分裂期 II 卵母细胞)和囊胚形成率中位数(囊胚数/2PN 胚胎):无论卵巢刺激方案、促性腺激素剂量(起始剂量和总剂量)、刺激持续时间、是否补充人类绝经期促性腺激素或取回的卵母细胞数量如何变化,在所有年龄组中均观察到相似的非整倍体率和受精率(所有 P > 0.05)。在 31-34 岁的女性中,随着促性腺激素起始剂量的增加,卵泡形成率下降(P = 0.005),但在 35-37 岁的女性中,随着促性腺激素起始剂量的增加,卵泡形成率上升(P = 0.017)。在 31-34 岁、35-37 岁和 38-40 岁的女性中,随着取卵数量的增加,胚泡形成率显著降低(P = 0.001):研究的局限性包括:本研究为回顾性研究,高龄患者,尤其是 40 岁以上的高龄患者人数较少,导致统计学效应较低。其次,由于我们将非整倍体率作为结果测量指标,因此没有分别分析卵巢刺激对均匀非整倍体和嵌合体的影响。最后,由于囊胚非整倍体主要来源于母体减数分裂,因此我们没有考虑父方特征对胚胎非整倍体状态的影响。然而,精子因素可能会影响胚胎发育和囊胚形成率,因此也会影响分析的囊胚数量。排除严重畸形精子症患者,以及对接受 PGT-M 的妇女仅使用 ICSI 作为人工授精技术,有助于将父方因素的影响降至最低:研究结果的广泛意义:卵巢刺激和对刺激的反应并不影响接受 PGT-M 周期的妇女的囊胚非整倍体率。然而,在 31-40 岁的女性中,随着取回卵母细胞数量的增加,囊胚形成率显著下降:本研究得到了国家自然科学基金(批准号:81701407、82301826)、国家重点研发计划(2022YFC2702901、2022YFC2703004)、中国博士后科学基金(2022M710261)和中国博士后创新人才支持计划(BX20220020)的资助。无利益冲突。试验注册号:不适用。
本文章由计算机程序翻译,如有差异,请以英文原文为准。

Effects of ovarian stimulation on embryo euploidy: an analysis of 12 874 oocytes and 3106 blastocysts in cycles with preimplantation genetic testing for monogenic disorders.

Effects of ovarian stimulation on embryo euploidy: an analysis of 12 874 oocytes and 3106 blastocysts in cycles with preimplantation genetic testing for monogenic disorders.

Effects of ovarian stimulation on embryo euploidy: an analysis of 12 874 oocytes and 3106 blastocysts in cycles with preimplantation genetic testing for monogenic disorders.

Study question: Does ovarian stimulation and the ovarian response affect embryo euploidy?

Summary answer: Ovarian stimulation and the ovarian response in women undergoing preimplantation genetic testing for monogenic disorders (PGT-M) cycles did not affect the rates of blastocyst euploidy.

What is known already: Whether or not ovarian stimulation in IVF-embryo transfer has potential effects on embryo euploidy is controversial among studies for several reasons: (i) heterogeneity of the study populations, (ii) biopsies being performed at different stages of embryo development and (iii) evolution of the platforms utilized for ploidy assessment. Patients who undergo PGT-M cycles typically have no additional risks of aneuploidy, providing an ideal study population for exploring this issue.

Study design size duration: A retrospective cohort study including embryos undergoing PGT-M was conducted at a single academically affiliated fertility clinic between June 2014 and July 2021.

Participants/materials setting methods: A total of 617 women with 867 PGT-M cycles involving 12 874 retrieved oocytes and 3106 trophectoderm biopsies of blastocysts were included. The primary outcome of the study was median euploidy rate, which was calculated by dividing the number of euploid blastocysts by the total number of biopsied blastocysts for each cycle. Secondary outcomes included the median normal fertilization rate (two-pronuclear (2PN) embryos/metaphase II oocytes) and median blastulation rate (blastocyst numbers/2PN embryos).

Main results and the role of chance: Comparable euploidy rates and fertilization rates were observed across all age groups, regardless of variations in ovarian stimulation protocols, gonadotropin dosages (both the starting and total dosages), stimulation durations, the inclusion of human menopausal gonadotrophin supplementation, or the number of oocytes retrieved (all P > 0.05). Blastulation rates declined with increasing starting doses of gonadotropins in women aged 31-34 years old (P = 0.005) but increased with increasing gonadotrophin starting doses in women aged 35-37 years old (P = 0.017). In women aged 31-34, 35-37, and 38-40 years old, blastulation rates were significantly reduced with increases in the number of oocytes retrieved (P = 0.001, <0.001, and 0.012, respectively).

Limitations reasons for caution: Limitations include the study's retrospective nature and the relatively small number of patients of advanced age, especially patients older than 40 years old, leading to quite low statistical power. Second, as we considered euploidy rates as outcome measures, we did not analyze the effects of ovarian stimulation on uniform aneuploidy and mosaicism, respectively. Finally, we did not consider the effects of paternal characteristics on embryo euploidy status due to the fact that blastocyst aneuploidy primarily originates from maternal meiosis. However, sperm factors might have an effect on embryo development and the blastulation rate, and therefore also the number of blastocysts analyzed. The exclusion of patients with severe teratozoospermia and the fact that only ICSI was used as the insemination technique for women undergoing PGT-M contributed to minimize the effect of paternal factors.

Wider implications of the findings: Ovarian stimulation and response to stimulation did not affect blastocyst euploidy rates in women undergoing PGT-M cycles. However, in women aged 31-40 years old, there was a significant decline in blastulation rates as the number of retrieved oocytes increased.

Study funding/competing interests: This study was supported by the National Natural Science Foundation of China (Grant No. 81701407, 82301826); the National Key Research and Development Program of China (2022YFC2702901, 2022YFC2703004); China Postdoctoral Science Foundation (2022M710261), and China Postdoctoral Innovation Talent Support Program (BX20220020). There is no conflict of interest.

Trial registration number: N/A.

求助全文
通过发布文献求助,成功后即可免费获取论文全文。 去求助
来源期刊
CiteScore
15.50
自引率
0.00%
发文量
0
审稿时长
12 weeks
×
引用
GB/T 7714-2015
复制
MLA
复制
APA
复制
导出至
BibTeX EndNote RefMan NoteFirst NoteExpress
×
提示
您的信息不完整,为了账户安全,请先补充。
现在去补充
×
提示
您因"违规操作"
具体请查看互助需知
我知道了
×
提示
确定
请完成安全验证×
copy
已复制链接
快去分享给好友吧!
我知道了
右上角分享
点击右上角分享
0
联系我们:info@booksci.cn Book学术提供免费学术资源搜索服务,方便国内外学者检索中英文文献。致力于提供最便捷和优质的服务体验。 Copyright © 2023 布克学术 All rights reserved.
京ICP备2023020795号-1
ghs 京公网安备 11010802042870号
Book学术文献互助
Book学术文献互助群
群 号:604180095
Book学术官方微信