一个中低收入国家的重症监护病房收治的 COVID-19 疫苗接种患者与未接种患者的治疗效果比较。

IF 1.8 Q3 CRITICAL CARE MEDICINE
Critical Care Research and Practice Pub Date : 2024-10-04 eCollection Date: 2024-01-01 DOI:10.1155/2024/9571132
Waleed Bin Ghaffar, Muhammad Faisal Khan, Moeed Bin Abdul Ghaffar, Muhammad Sohaib, Asma Rayani, Muhammad Mehmood Alam, Syed Talha Sibtain, Zahra Cheema, Asad Latif
{"title":"一个中低收入国家的重症监护病房收治的 COVID-19 疫苗接种患者与未接种患者的治疗效果比较。","authors":"Waleed Bin Ghaffar, Muhammad Faisal Khan, Moeed Bin Abdul Ghaffar, Muhammad Sohaib, Asma Rayani, Muhammad Mehmood Alam, Syed Talha Sibtain, Zahra Cheema, Asad Latif","doi":"10.1155/2024/9571132","DOIUrl":null,"url":null,"abstract":"<p><p>Patients critically afflicted with coronavirus disease 2019 (COVID-19) often need intensive care unit (ICU) admission, despite comprehensive vaccination campaigns. The challenges faced by healthcare systems in low-middle-income countries, including limited infrastructure and resources, play a pivotal role in shaping the outcomes for these patients. This study aimed to meticulously compare outcomes between COVID-19 vaccinated and nonvaccinated patients admitted to the ICU. In addition, demographic factors and the ICU course influencing mortality were also assessed. A retrospective review of records from the COVID-ICU of Aga Khan University Hospital spanning July 2021-March 2022 included 133 patients. Statistical analyses, encompassing the Mann-Whitney U-test and chi-square/Fisher exact test, discerned quantitative and qualitative differences. Stepwise multivariable logistic regression models with forward selection identified factors associated with hospital mortality. Results revealed comparable cohorts: vaccinated (48.13%) and nonvaccinated (51.87%). Vaccinated individuals, characterized by advanced age and higher Charlson Comorbidity Index, exhibited more critical disease (89.1%; <i>p</i> value: 0.06), acute respiratory distress syndrome (96.9%; <i>p</i> value: 0.013) and elevated inflammatory markers. Despite these differences, both cohorts exhibited similar overall outcomes. Factors such as decreased PaO2/FiO2 ratio on admission and complications during ICU stay were significantly associated with in-hospital mortality. In conclusion, despite advanced age and increased frailty among vaccinated patients, their mortality rate remained comparable to nonvaccinated counterparts. These findings underscore the pivotal role of vaccination in mitigating severe outcomes within this vulnerable population.</p>","PeriodicalId":46583,"journal":{"name":"Critical Care Research and Practice","volume":"2024 ","pages":"9571132"},"PeriodicalIF":1.8000,"publicationDate":"2024-10-04","publicationTypes":"Journal Article","fieldsOfStudy":null,"isOpenAccess":false,"openAccessPdf":"https://www.ncbi.nlm.nih.gov/pmc/articles/PMC11469933/pdf/","citationCount":"0","resultStr":"{\"title\":\"A Comparison of the Outcomes of COVID-19 Vaccinated and Nonvaccinated Patients Admitted to an Intensive Care Unit in a Low-Middle-Income Country.\",\"authors\":\"Waleed Bin Ghaffar, Muhammad Faisal Khan, Moeed Bin Abdul Ghaffar, Muhammad Sohaib, Asma Rayani, Muhammad Mehmood Alam, Syed Talha Sibtain, Zahra Cheema, Asad Latif\",\"doi\":\"10.1155/2024/9571132\",\"DOIUrl\":null,\"url\":null,\"abstract\":\"<p><p>Patients critically afflicted with coronavirus disease 2019 (COVID-19) often need intensive care unit (ICU) admission, despite comprehensive vaccination campaigns. The challenges faced by healthcare systems in low-middle-income countries, including limited infrastructure and resources, play a pivotal role in shaping the outcomes for these patients. This study aimed to meticulously compare outcomes between COVID-19 vaccinated and nonvaccinated patients admitted to the ICU. In addition, demographic factors and the ICU course influencing mortality were also assessed. A retrospective review of records from the COVID-ICU of Aga Khan University Hospital spanning July 2021-March 2022 included 133 patients. Statistical analyses, encompassing the Mann-Whitney U-test and chi-square/Fisher exact test, discerned quantitative and qualitative differences. Stepwise multivariable logistic regression models with forward selection identified factors associated with hospital mortality. Results revealed comparable cohorts: vaccinated (48.13%) and nonvaccinated (51.87%). Vaccinated individuals, characterized by advanced age and higher Charlson Comorbidity Index, exhibited more critical disease (89.1%; <i>p</i> value: 0.06), acute respiratory distress syndrome (96.9%; <i>p</i> value: 0.013) and elevated inflammatory markers. Despite these differences, both cohorts exhibited similar overall outcomes. Factors such as decreased PaO2/FiO2 ratio on admission and complications during ICU stay were significantly associated with in-hospital mortality. In conclusion, despite advanced age and increased frailty among vaccinated patients, their mortality rate remained comparable to nonvaccinated counterparts. These findings underscore the pivotal role of vaccination in mitigating severe outcomes within this vulnerable population.</p>\",\"PeriodicalId\":46583,\"journal\":{\"name\":\"Critical Care Research and Practice\",\"volume\":\"2024 \",\"pages\":\"9571132\"},\"PeriodicalIF\":1.8000,\"publicationDate\":\"2024-10-04\",\"publicationTypes\":\"Journal Article\",\"fieldsOfStudy\":null,\"isOpenAccess\":false,\"openAccessPdf\":\"https://www.ncbi.nlm.nih.gov/pmc/articles/PMC11469933/pdf/\",\"citationCount\":\"0\",\"resultStr\":null,\"platform\":\"Semanticscholar\",\"paperid\":null,\"PeriodicalName\":\"Critical Care Research and Practice\",\"FirstCategoryId\":\"1085\",\"ListUrlMain\":\"https://doi.org/10.1155/2024/9571132\",\"RegionNum\":0,\"RegionCategory\":null,\"ArticlePicture\":[],\"TitleCN\":null,\"AbstractTextCN\":null,\"PMCID\":null,\"EPubDate\":\"2024/1/1 0:00:00\",\"PubModel\":\"eCollection\",\"JCR\":\"Q3\",\"JCRName\":\"CRITICAL CARE MEDICINE\",\"Score\":null,\"Total\":0}","platform":"Semanticscholar","paperid":null,"PeriodicalName":"Critical Care Research and Practice","FirstCategoryId":"1085","ListUrlMain":"https://doi.org/10.1155/2024/9571132","RegionNum":0,"RegionCategory":null,"ArticlePicture":[],"TitleCN":null,"AbstractTextCN":null,"PMCID":null,"EPubDate":"2024/1/1 0:00:00","PubModel":"eCollection","JCR":"Q3","JCRName":"CRITICAL CARE MEDICINE","Score":null,"Total":0}
引用次数: 0

摘要

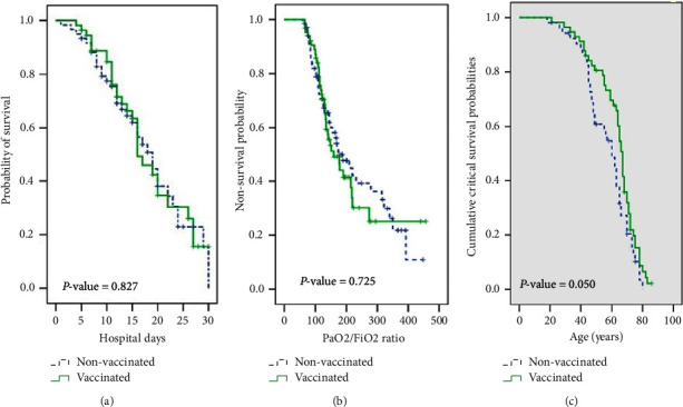
尽管开展了全面的疫苗接种活动,2019 年冠状病毒病(COVID-19)重症患者仍经常需要入住重症监护病房(ICU)。中低收入国家医疗系统面临的挑战,包括基础设施和资源有限,对这些患者的治疗效果起着关键作用。本研究旨在细致比较接种 COVID-19 疫苗和未接种疫苗的 ICU 患者的治疗效果。此外,还评估了影响死亡率的人口统计学因素和重症监护室病程。阿迦汗大学医院COVID-ICU对2021年7月至2022年3月期间的记录进行了回顾性审查,共纳入133名患者。统计分析包括曼-惠特尼U检验和秩方/费舍尔精确检验,可发现定量和定性差异。采用前向选择的逐步多变量逻辑回归模型确定了与住院死亡率相关的因素。结果显示,接种疫苗的人群(48.13%)和未接种疫苗的人群(51.87%)具有可比性。接种疫苗者的特点是高龄和夏尔森综合指数较高,表现出更多危重疾病(89.1%;P 值:0.06)、急性呼吸窘迫综合征(96.9%;P 值:0.013)和炎症标志物升高。尽管存在这些差异,但两组患者的总体预后相似。入院时PaO2/FiO2比值下降和重症监护室住院期间的并发症等因素与院内死亡率显著相关。总之,尽管接种疫苗的患者年龄偏大、体弱程度增加,但他们的死亡率仍与未接种疫苗的患者相当。这些研究结果强调了疫苗接种在减轻这一脆弱人群严重后果方面的关键作用。
本文章由计算机程序翻译,如有差异,请以英文原文为准。

A Comparison of the Outcomes of COVID-19 Vaccinated and Nonvaccinated Patients Admitted to an Intensive Care Unit in a Low-Middle-Income Country.

A Comparison of the Outcomes of COVID-19 Vaccinated and Nonvaccinated Patients Admitted to an Intensive Care Unit in a Low-Middle-Income Country.

A Comparison of the Outcomes of COVID-19 Vaccinated and Nonvaccinated Patients Admitted to an Intensive Care Unit in a Low-Middle-Income Country.

Patients critically afflicted with coronavirus disease 2019 (COVID-19) often need intensive care unit (ICU) admission, despite comprehensive vaccination campaigns. The challenges faced by healthcare systems in low-middle-income countries, including limited infrastructure and resources, play a pivotal role in shaping the outcomes for these patients. This study aimed to meticulously compare outcomes between COVID-19 vaccinated and nonvaccinated patients admitted to the ICU. In addition, demographic factors and the ICU course influencing mortality were also assessed. A retrospective review of records from the COVID-ICU of Aga Khan University Hospital spanning July 2021-March 2022 included 133 patients. Statistical analyses, encompassing the Mann-Whitney U-test and chi-square/Fisher exact test, discerned quantitative and qualitative differences. Stepwise multivariable logistic regression models with forward selection identified factors associated with hospital mortality. Results revealed comparable cohorts: vaccinated (48.13%) and nonvaccinated (51.87%). Vaccinated individuals, characterized by advanced age and higher Charlson Comorbidity Index, exhibited more critical disease (89.1%; p value: 0.06), acute respiratory distress syndrome (96.9%; p value: 0.013) and elevated inflammatory markers. Despite these differences, both cohorts exhibited similar overall outcomes. Factors such as decreased PaO2/FiO2 ratio on admission and complications during ICU stay were significantly associated with in-hospital mortality. In conclusion, despite advanced age and increased frailty among vaccinated patients, their mortality rate remained comparable to nonvaccinated counterparts. These findings underscore the pivotal role of vaccination in mitigating severe outcomes within this vulnerable population.

求助全文
通过发布文献求助,成功后即可免费获取论文全文。 去求助
来源期刊
Critical Care Research and Practice
Critical Care Research and Practice CRITICAL CARE MEDICINE-
CiteScore
3.60
自引率
0.00%
发文量
34
审稿时长
14 weeks
×
引用
GB/T 7714-2015
复制
MLA
复制
APA
复制
导出至
BibTeX EndNote RefMan NoteFirst NoteExpress
×
提示
您的信息不完整,为了账户安全,请先补充。
现在去补充
×
提示
您因"违规操作"
具体请查看互助需知
我知道了
×
提示
确定
请完成安全验证×
copy
已复制链接
快去分享给好友吧!
我知道了
右上角分享
点击右上角分享
0
联系我们:info@booksci.cn Book学术提供免费学术资源搜索服务,方便国内外学者检索中英文文献。致力于提供最便捷和优质的服务体验。 Copyright © 2023 布克学术 All rights reserved.
京ICP备2023020795号-1
ghs 京公网安备 11010802042870号
Book学术文献互助
Book学术文献互助群
群 号:604180095
Book学术官方微信