评估免疫疗法后不可切除或晚期胆管癌患者的 13 项炎症评分的预后价值

IF 4.4 Q1 IMMUNOLOGY
ImmunoTargets and Therapy Pub Date : 2024-10-16 eCollection Date: 2024-01-01 DOI:10.2147/ITT.S471502
Fang Wang, Chang Jiang, Wenzhuo He, Heping Li, Gui-Fang Guo, Lixia Xu
{"title":"评估免疫疗法后不可切除或晚期胆管癌患者的 13 项炎症评分的预后价值","authors":"Fang Wang, Chang Jiang, Wenzhuo He, Heping Li, Gui-Fang Guo, Lixia Xu","doi":"10.2147/ITT.S471502","DOIUrl":null,"url":null,"abstract":"<p><strong>Purpose: </strong>The response of patients with biliary tract carcinoma (BTC) to immunotherapy varies widely, and there is an urgent need for biological indicators. The predictive value of inflammation based score (IBS) for the efficacy of immunotherapy in patients with BTC remains unclear, as the evidence is inconsistent. This study aimed to comprehensively examine the predictive value of IBS in peripheral blood on the survival of BTC patients receiving immunotherapy.</p><p><strong>Patients and methods: </strong>We retrospectively assessed 118 patients with advanced BTC who received anti-PD-1 therapy in the first or second line in two medical centers. The Kaplan-Meier, time-dependent ROC, and Harrell's concordance index (C-index) were applied to analyze the predictive value of 13 reported peripheral blood IBS.</p><p><strong>Results: </strong>All 13 IBS were identified as significant prognostic factors for OS in univariate analysis. Pan-immune-inflammation value (PIV) (p=0.005), PILE (composed of PIV, lactate dehydrogenase and Eastern Cooperative Oncology Group performance status) (<i>p</i>=0.033), neutrophil-to-lymphocyte ratio (NLR) (<i>p</i>=0.003), platelet-to-lymphocyte ratio (PLR) (<i>p</i><0.001), lymphocyte-to-monocyte ratio (LMR) (<i>p</i>=0.006), systemic immune inflammation index (SII) (<i>p</i>=0.039), CRP-to-albumin ratio (CAR) (<i>p</i>=0.025), and Albumin-NLR (<i>p</i>=0.008) were identified as independent prognostic factors for OS in multivariate analysis. PIV and PILE scores were superior to other scores, according to time-dependent ROC curves, and their superiority became more pronounced after the 12-month time point. C-index analysis showed PIV (C-index 0.62, 95% CI: 0.55, 0.68) and PILE (C-index 0.62, 95% CI: 0.55, 0.70), both superior to other IBS.</p><p><strong>Conclusion: </strong>PIV and PILE scores are independent predictors of OS in patients with BTC after immunotherapy and are superior to other IBS. PIV and PILE may be able to help screen out patients with advanced BTC who are less likely to benefit from anti-PD-1 monotherapy. Due to the retrospective nature of this analysis, the predictive value of PIV and PILE require validation in further prospective studies.</p>","PeriodicalId":30986,"journal":{"name":"ImmunoTargets and Therapy","volume":"13 ","pages":"541-557"},"PeriodicalIF":4.4000,"publicationDate":"2024-10-16","publicationTypes":"Journal Article","fieldsOfStudy":null,"isOpenAccess":false,"openAccessPdf":"https://www.ncbi.nlm.nih.gov/pmc/articles/PMC11491092/pdf/","citationCount":"0","resultStr":"{\"title\":\"Assessing the Prognostic Value of 13 Inflammation-Based Scores in Patients with Unresectable or Advanced Biliary Tract Carcinoma After Immunotherapy.\",\"authors\":\"Fang Wang, Chang Jiang, Wenzhuo He, Heping Li, Gui-Fang Guo, Lixia Xu\",\"doi\":\"10.2147/ITT.S471502\",\"DOIUrl\":null,\"url\":null,\"abstract\":\"<p><strong>Purpose: </strong>The response of patients with biliary tract carcinoma (BTC) to immunotherapy varies widely, and there is an urgent need for biological indicators. The predictive value of inflammation based score (IBS) for the efficacy of immunotherapy in patients with BTC remains unclear, as the evidence is inconsistent. This study aimed to comprehensively examine the predictive value of IBS in peripheral blood on the survival of BTC patients receiving immunotherapy.</p><p><strong>Patients and methods: </strong>We retrospectively assessed 118 patients with advanced BTC who received anti-PD-1 therapy in the first or second line in two medical centers. The Kaplan-Meier, time-dependent ROC, and Harrell's concordance index (C-index) were applied to analyze the predictive value of 13 reported peripheral blood IBS.</p><p><strong>Results: </strong>All 13 IBS were identified as significant prognostic factors for OS in univariate analysis. Pan-immune-inflammation value (PIV) (p=0.005), PILE (composed of PIV, lactate dehydrogenase and Eastern Cooperative Oncology Group performance status) (<i>p</i>=0.033), neutrophil-to-lymphocyte ratio (NLR) (<i>p</i>=0.003), platelet-to-lymphocyte ratio (PLR) (<i>p</i><0.001), lymphocyte-to-monocyte ratio (LMR) (<i>p</i>=0.006), systemic immune inflammation index (SII) (<i>p</i>=0.039), CRP-to-albumin ratio (CAR) (<i>p</i>=0.025), and Albumin-NLR (<i>p</i>=0.008) were identified as independent prognostic factors for OS in multivariate analysis. PIV and PILE scores were superior to other scores, according to time-dependent ROC curves, and their superiority became more pronounced after the 12-month time point. C-index analysis showed PIV (C-index 0.62, 95% CI: 0.55, 0.68) and PILE (C-index 0.62, 95% CI: 0.55, 0.70), both superior to other IBS.</p><p><strong>Conclusion: </strong>PIV and PILE scores are independent predictors of OS in patients with BTC after immunotherapy and are superior to other IBS. PIV and PILE may be able to help screen out patients with advanced BTC who are less likely to benefit from anti-PD-1 monotherapy. Due to the retrospective nature of this analysis, the predictive value of PIV and PILE require validation in further prospective studies.</p>\",\"PeriodicalId\":30986,\"journal\":{\"name\":\"ImmunoTargets and Therapy\",\"volume\":\"13 \",\"pages\":\"541-557\"},\"PeriodicalIF\":4.4000,\"publicationDate\":\"2024-10-16\",\"publicationTypes\":\"Journal Article\",\"fieldsOfStudy\":null,\"isOpenAccess\":false,\"openAccessPdf\":\"https://www.ncbi.nlm.nih.gov/pmc/articles/PMC11491092/pdf/\",\"citationCount\":\"0\",\"resultStr\":null,\"platform\":\"Semanticscholar\",\"paperid\":null,\"PeriodicalName\":\"ImmunoTargets and Therapy\",\"FirstCategoryId\":\"1085\",\"ListUrlMain\":\"https://doi.org/10.2147/ITT.S471502\",\"RegionNum\":0,\"RegionCategory\":null,\"ArticlePicture\":[],\"TitleCN\":null,\"AbstractTextCN\":null,\"PMCID\":null,\"EPubDate\":\"2024/1/1 0:00:00\",\"PubModel\":\"eCollection\",\"JCR\":\"Q1\",\"JCRName\":\"IMMUNOLOGY\",\"Score\":null,\"Total\":0}","platform":"Semanticscholar","paperid":null,"PeriodicalName":"ImmunoTargets and Therapy","FirstCategoryId":"1085","ListUrlMain":"https://doi.org/10.2147/ITT.S471502","RegionNum":0,"RegionCategory":null,"ArticlePicture":[],"TitleCN":null,"AbstractTextCN":null,"PMCID":null,"EPubDate":"2024/1/1 0:00:00","PubModel":"eCollection","JCR":"Q1","JCRName":"IMMUNOLOGY","Score":null,"Total":0}
引用次数: 0

摘要

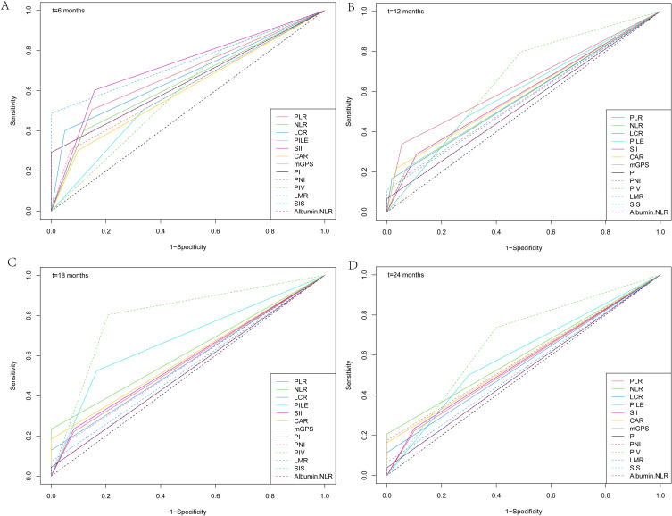
目的:胆道癌(BTC)患者对免疫疗法的反应差异很大,因此迫切需要生物指标。由于证据不一致,基于炎症的评分(IBS)对 BTC 患者免疫疗法疗效的预测价值仍不明确。本研究旨在全面考察外周血中的IBS对接受免疫疗法的BTC患者生存期的预测价值:我们回顾性评估了在两家医疗中心接受抗PD-1一线或二线治疗的118例晚期BTC患者。应用卡普兰-梅耶尔、时间依赖性ROC和哈雷尔一致性指数(C-index)分析了13种外周血IBS的预测价值:结果:在单变量分析中,13种IBS均被确定为OS的重要预后因素。泛免疫炎症值(PIV)(p=0.005)、PILE(由 PIV、乳酸脱氢酶和东部合作肿瘤学组表现状态组成)(p=0.033)、中性粒细胞与淋巴细胞比值(NLR)(p=0.003)、血小板-淋巴细胞比值(PLR)(pp=0.006)、全身免疫炎症指数(SII)(p=0.039)、CRP-白蛋白比值(CAR)(p=0.025)和白蛋白-NLR(p=0.008)在多变量分析中被确定为OS的独立预后因素。根据时间依赖性 ROC 曲线,PIV 和 PILE 评分优于其他评分,其优越性在 12 个月时间点后变得更加明显。C指数分析显示,PIV(C指数为0.62,95% CI:0.55,0.68)和PILE(C指数为0.62,95% CI:0.55,0.70)均优于其他IBS:结论:PIV和PILE评分是免疫治疗后BTC患者OS的独立预测指标,且优于其他IBS。PIV和PILE可能有助于筛选出不太可能从抗PD-1单药治疗中获益的晚期BTC患者。由于该分析具有回顾性,PIV 和 PILE 的预测价值需要进一步的前瞻性研究来验证。
本文章由计算机程序翻译,如有差异,请以英文原文为准。

Assessing the Prognostic Value of 13 Inflammation-Based Scores in Patients with Unresectable or Advanced Biliary Tract Carcinoma After Immunotherapy.

Assessing the Prognostic Value of 13 Inflammation-Based Scores in Patients with Unresectable or Advanced Biliary Tract Carcinoma After Immunotherapy.

Assessing the Prognostic Value of 13 Inflammation-Based Scores in Patients with Unresectable or Advanced Biliary Tract Carcinoma After Immunotherapy.

Assessing the Prognostic Value of 13 Inflammation-Based Scores in Patients with Unresectable or Advanced Biliary Tract Carcinoma After Immunotherapy.

Purpose: The response of patients with biliary tract carcinoma (BTC) to immunotherapy varies widely, and there is an urgent need for biological indicators. The predictive value of inflammation based score (IBS) for the efficacy of immunotherapy in patients with BTC remains unclear, as the evidence is inconsistent. This study aimed to comprehensively examine the predictive value of IBS in peripheral blood on the survival of BTC patients receiving immunotherapy.

Patients and methods: We retrospectively assessed 118 patients with advanced BTC who received anti-PD-1 therapy in the first or second line in two medical centers. The Kaplan-Meier, time-dependent ROC, and Harrell's concordance index (C-index) were applied to analyze the predictive value of 13 reported peripheral blood IBS.

Results: All 13 IBS were identified as significant prognostic factors for OS in univariate analysis. Pan-immune-inflammation value (PIV) (p=0.005), PILE (composed of PIV, lactate dehydrogenase and Eastern Cooperative Oncology Group performance status) (p=0.033), neutrophil-to-lymphocyte ratio (NLR) (p=0.003), platelet-to-lymphocyte ratio (PLR) (p<0.001), lymphocyte-to-monocyte ratio (LMR) (p=0.006), systemic immune inflammation index (SII) (p=0.039), CRP-to-albumin ratio (CAR) (p=0.025), and Albumin-NLR (p=0.008) were identified as independent prognostic factors for OS in multivariate analysis. PIV and PILE scores were superior to other scores, according to time-dependent ROC curves, and their superiority became more pronounced after the 12-month time point. C-index analysis showed PIV (C-index 0.62, 95% CI: 0.55, 0.68) and PILE (C-index 0.62, 95% CI: 0.55, 0.70), both superior to other IBS.

Conclusion: PIV and PILE scores are independent predictors of OS in patients with BTC after immunotherapy and are superior to other IBS. PIV and PILE may be able to help screen out patients with advanced BTC who are less likely to benefit from anti-PD-1 monotherapy. Due to the retrospective nature of this analysis, the predictive value of PIV and PILE require validation in further prospective studies.

求助全文
通过发布文献求助,成功后即可免费获取论文全文。 去求助
来源期刊
CiteScore
16.50
自引率
0.00%
发文量
7
审稿时长
16 weeks
期刊介绍: Immuno Targets and Therapy is an international, peer-reviewed open access journal focusing on the immunological basis of diseases, potential targets for immune based therapy and treatment protocols employed to improve patient management. Basic immunology and physiology of the immune system in health, and disease will be also covered.In addition, the journal will focus on the impact of management programs and new therapeutic agents and protocols on patient perspectives such as quality of life, adherence and satisfaction.
×
引用
GB/T 7714-2015
复制
MLA
复制
APA
复制
导出至
BibTeX EndNote RefMan NoteFirst NoteExpress
×
提示
您的信息不完整,为了账户安全,请先补充。
现在去补充
×
提示
您因"违规操作"
具体请查看互助需知
我知道了
×
提示
确定
请完成安全验证×
copy
已复制链接
快去分享给好友吧!
我知道了
右上角分享
点击右上角分享
0
联系我们:info@booksci.cn Book学术提供免费学术资源搜索服务,方便国内外学者检索中英文文献。致力于提供最便捷和优质的服务体验。 Copyright © 2023 布克学术 All rights reserved.
京ICP备2023020795号-1
ghs 京公网安备 11010802042870号
Book学术文献互助
Book学术文献互助群
群 号:604180095
Book学术官方微信