急诊科住院时间的预测因素:分析全国急诊科数据。

IF 2.3 Q2 EMERGENCY MEDICINE
Clinical and Experimental Emergency Medicine Pub Date : 2025-03-01 Epub Date: 2024-10-16 DOI:10.15441/ceem.24.309
Minha Kim, Sujeong Lee, Minyoung Choi, Doyeop Kim, Junsang Yoo, Tae Gun Shin, Jin-Hee Lee, Seongjung Kim, Hansol Chang, Eunsil Ko
{"title":"急诊科住院时间的预测因素:分析全国急诊科数据。","authors":"Minha Kim, Sujeong Lee, Minyoung Choi, Doyeop Kim, Junsang Yoo, Tae Gun Shin, Jin-Hee Lee, Seongjung Kim, Hansol Chang, Eunsil Ko","doi":"10.15441/ceem.24.309","DOIUrl":null,"url":null,"abstract":"<p><strong>Objective: </strong>This study used a nationwide database to identify and analyze factors that influence emergency department (ED) length of stay (LOS) and improve the efficiency of emergency care.</p><p><strong>Methods: </strong>This retrospective study analyzed data from the National Emergency Department Information System (NEDIS) database in Korea: 25,578,263 ED visits from 2018 to 2022. Patient demographics, clinical characteristics, and ED operational variables were examined. Univariate and multivariate logistic regression analyses were used to assess the associations between the variables and prolonged ED LOS, defined as 6 hours or more.</p><p><strong>Results: </strong>Among the 25,578,263 patients, the median ED LOS was 2.1 hours (interquartile range, 1.050-3.830 hours), with 12.6% experiencing a prolonged ED LOS. Elderly patients (aged ≥65 years) were significantly more likely than younger patients to experience prolonged ED LOS (adjusted odds ratio [aOR], 1.415; 95% confidence interval [CI]: 1.411-1.419). Patients transferred from other hospitals (aOR, 1.469; 95% CI, 1.463-1.474) and those arriving by emergency medical services (aOR, 1.093; 95% CI, 1.077-1.108) also had high odds of prolonged LOS. Conversely, pediatric patients had a low likelihood of extended stay (aOR, 0.682; 95% CI, 0.678-0.686). Severe illness, including sepsis (aOR, 1.324; 95% CI, 1.311-1.340) and COVID-19 infection (aOR, 1.413; 95% CI, 1.399-1.427), was strongly associated with prolonged LOS.</p><p><strong>Conclusion: </strong>Prolonged ED LOS is influenced by a combination of patient demographics, clinical severity, and systemic factors. Targeted interventions for older adults, severe illness, and operational inefficiencies such as hospital transfers are essential for reducing ED LOS and improving overall emergency care delivery.</p>","PeriodicalId":10325,"journal":{"name":"Clinical and Experimental Emergency Medicine","volume":" ","pages":"35-46"},"PeriodicalIF":2.3000,"publicationDate":"2025-03-01","publicationTypes":"Journal Article","fieldsOfStudy":null,"isOpenAccess":false,"openAccessPdf":"https://www.ncbi.nlm.nih.gov/pmc/articles/PMC12010807/pdf/","citationCount":"0","resultStr":"{\"title\":\"Factors that predict emergency department length of stay in analysis of national data.\",\"authors\":\"Minha Kim, Sujeong Lee, Minyoung Choi, Doyeop Kim, Junsang Yoo, Tae Gun Shin, Jin-Hee Lee, Seongjung Kim, Hansol Chang, Eunsil Ko\",\"doi\":\"10.15441/ceem.24.309\",\"DOIUrl\":null,\"url\":null,\"abstract\":\"<p><strong>Objective: </strong>This study used a nationwide database to identify and analyze factors that influence emergency department (ED) length of stay (LOS) and improve the efficiency of emergency care.</p><p><strong>Methods: </strong>This retrospective study analyzed data from the National Emergency Department Information System (NEDIS) database in Korea: 25,578,263 ED visits from 2018 to 2022. Patient demographics, clinical characteristics, and ED operational variables were examined. Univariate and multivariate logistic regression analyses were used to assess the associations between the variables and prolonged ED LOS, defined as 6 hours or more.</p><p><strong>Results: </strong>Among the 25,578,263 patients, the median ED LOS was 2.1 hours (interquartile range, 1.050-3.830 hours), with 12.6% experiencing a prolonged ED LOS. Elderly patients (aged ≥65 years) were significantly more likely than younger patients to experience prolonged ED LOS (adjusted odds ratio [aOR], 1.415; 95% confidence interval [CI]: 1.411-1.419). Patients transferred from other hospitals (aOR, 1.469; 95% CI, 1.463-1.474) and those arriving by emergency medical services (aOR, 1.093; 95% CI, 1.077-1.108) also had high odds of prolonged LOS. Conversely, pediatric patients had a low likelihood of extended stay (aOR, 0.682; 95% CI, 0.678-0.686). Severe illness, including sepsis (aOR, 1.324; 95% CI, 1.311-1.340) and COVID-19 infection (aOR, 1.413; 95% CI, 1.399-1.427), was strongly associated with prolonged LOS.</p><p><strong>Conclusion: </strong>Prolonged ED LOS is influenced by a combination of patient demographics, clinical severity, and systemic factors. Targeted interventions for older adults, severe illness, and operational inefficiencies such as hospital transfers are essential for reducing ED LOS and improving overall emergency care delivery.</p>\",\"PeriodicalId\":10325,\"journal\":{\"name\":\"Clinical and Experimental Emergency Medicine\",\"volume\":\" \",\"pages\":\"35-46\"},\"PeriodicalIF\":2.3000,\"publicationDate\":\"2025-03-01\",\"publicationTypes\":\"Journal Article\",\"fieldsOfStudy\":null,\"isOpenAccess\":false,\"openAccessPdf\":\"https://www.ncbi.nlm.nih.gov/pmc/articles/PMC12010807/pdf/\",\"citationCount\":\"0\",\"resultStr\":null,\"platform\":\"Semanticscholar\",\"paperid\":null,\"PeriodicalName\":\"Clinical and Experimental Emergency Medicine\",\"FirstCategoryId\":\"1085\",\"ListUrlMain\":\"https://doi.org/10.15441/ceem.24.309\",\"RegionNum\":0,\"RegionCategory\":null,\"ArticlePicture\":[],\"TitleCN\":null,\"AbstractTextCN\":null,\"PMCID\":null,\"EPubDate\":\"2024/10/16 0:00:00\",\"PubModel\":\"Epub\",\"JCR\":\"Q2\",\"JCRName\":\"EMERGENCY MEDICINE\",\"Score\":null,\"Total\":0}","platform":"Semanticscholar","paperid":null,"PeriodicalName":"Clinical and Experimental Emergency Medicine","FirstCategoryId":"1085","ListUrlMain":"https://doi.org/10.15441/ceem.24.309","RegionNum":0,"RegionCategory":null,"ArticlePicture":[],"TitleCN":null,"AbstractTextCN":null,"PMCID":null,"EPubDate":"2024/10/16 0:00:00","PubModel":"Epub","JCR":"Q2","JCRName":"EMERGENCY MEDICINE","Score":null,"Total":0}
引用次数: 0

摘要

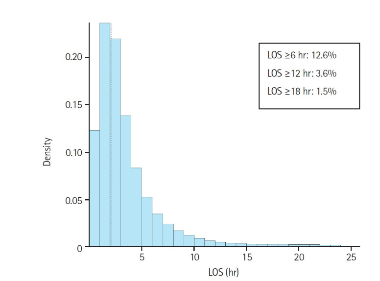
研究目的本研究旨在利用全国性数据库识别和分析影响急诊科住院时间(ED LOS)的因素,以提高急诊护理效率:这项回顾性研究利用了韩国国家急诊科信息系统(NEDIS)的数据,涵盖了2018年至2022年期间的25,578,263次急诊科就诊。研究考察了患者人口统计学特征、临床特征和急诊室运行变量。研究采用单变量和多变量逻辑回归分析来评估这些因素与 ED LOS(定义为 6 小时或以上)延长之间的关联:在纳入的 25,578,263 名患者中,急诊室 LOS 中位数为 2.1 小时(四分位数间距 [IQR],1.050 - 3.830 小时),12.6% 的患者经历了急诊室 LOS 延长。老年患者(年龄≥ 65 岁)更容易出现 ED LOS 延长的情况(调整后的几率比 [aOR]:1.415,95% 置信区间 [CI]:1.411-1.419)。从其他医院转来的患者(aOR:1.469,95% 置信区间:1.463-1.474)和乘坐 119 救护车到达的患者(aOR:1.093,95% 置信区间:1.077-1.108)的 LOS 延长几率也较高。相反,儿科患者延长住院时间的几率较低(aOR:0.682,95% CI:0.678-0.686)。包括败血症(aOR:1.324,95% CI:1.311-1.340)和 COVID-19 感染(aOR:1.413,95% CI:1.399-1.427)在内的严重疾病与 LOS 延长密切相关:ED LOS 的延长受患者人口统计学、临床严重程度和系统性因素的综合影响。针对老年人、重症患者以及转院等操作效率低下的情况采取有针对性的干预措施,对于缩短急诊室的生命周期和改善整体急诊服务至关重要。
本文章由计算机程序翻译,如有差异,请以英文原文为准。

Factors that predict emergency department length of stay in analysis of national data.

Factors that predict emergency department length of stay in analysis of national data.

Factors that predict emergency department length of stay in analysis of national data.

Objective: This study used a nationwide database to identify and analyze factors that influence emergency department (ED) length of stay (LOS) and improve the efficiency of emergency care.

Methods: This retrospective study analyzed data from the National Emergency Department Information System (NEDIS) database in Korea: 25,578,263 ED visits from 2018 to 2022. Patient demographics, clinical characteristics, and ED operational variables were examined. Univariate and multivariate logistic regression analyses were used to assess the associations between the variables and prolonged ED LOS, defined as 6 hours or more.

Results: Among the 25,578,263 patients, the median ED LOS was 2.1 hours (interquartile range, 1.050-3.830 hours), with 12.6% experiencing a prolonged ED LOS. Elderly patients (aged ≥65 years) were significantly more likely than younger patients to experience prolonged ED LOS (adjusted odds ratio [aOR], 1.415; 95% confidence interval [CI]: 1.411-1.419). Patients transferred from other hospitals (aOR, 1.469; 95% CI, 1.463-1.474) and those arriving by emergency medical services (aOR, 1.093; 95% CI, 1.077-1.108) also had high odds of prolonged LOS. Conversely, pediatric patients had a low likelihood of extended stay (aOR, 0.682; 95% CI, 0.678-0.686). Severe illness, including sepsis (aOR, 1.324; 95% CI, 1.311-1.340) and COVID-19 infection (aOR, 1.413; 95% CI, 1.399-1.427), was strongly associated with prolonged LOS.

Conclusion: Prolonged ED LOS is influenced by a combination of patient demographics, clinical severity, and systemic factors. Targeted interventions for older adults, severe illness, and operational inefficiencies such as hospital transfers are essential for reducing ED LOS and improving overall emergency care delivery.

求助全文
通过发布文献求助,成功后即可免费获取论文全文。 去求助
来源期刊
CiteScore
2.80
自引率
10.50%
发文量
59
×
引用
GB/T 7714-2015
复制
MLA
复制
APA
复制
导出至
BibTeX EndNote RefMan NoteFirst NoteExpress
×
提示
您的信息不完整,为了账户安全,请先补充。
现在去补充
×
提示
您因"违规操作"
具体请查看互助需知
我知道了
×
提示
确定
请完成安全验证×
copy
已复制链接
快去分享给好友吧!
我知道了
右上角分享
点击右上角分享
0
联系我们:info@booksci.cn Book学术提供免费学术资源搜索服务,方便国内外学者检索中英文文献。致力于提供最便捷和优质的服务体验。 Copyright © 2023 布克学术 All rights reserved.
京ICP备2023020795号-1
ghs 京公网安备 11010802042870号
Book学术文献互助
Book学术文献互助群
群 号:604180095
Book学术官方微信