一分钟坐立测试:在常规临床实践中评估慢性阻塞性肺病患者功能锻炼能力的实用工具。

IF 2.3 3区 医学 Q2 RESPIRATORY SYSTEM
Paulien Mellaerts, Heleen Demeyer, Astrid Blondeel, Tim Vanhoutte, Sofie Breuls, Marieke Wuyts, Iris Coosemans, Lode Claes, Nele Vandenbergh, Kaat Beckers, Lucas Vanden Bossche, Dimitri Stylemans, Wim Janssens, Stephanie Everaerts, Thierry Troosters
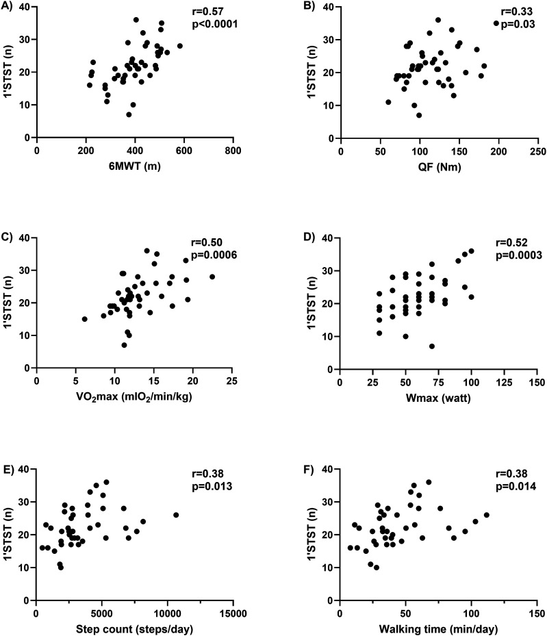
{"title":"一分钟坐立测试:在常规临床实践中评估慢性阻塞性肺病患者功能锻炼能力的实用工具。","authors":"Paulien Mellaerts, Heleen Demeyer, Astrid Blondeel, Tim Vanhoutte, Sofie Breuls, Marieke Wuyts, Iris Coosemans, Lode Claes, Nele Vandenbergh, Kaat Beckers, Lucas Vanden Bossche, Dimitri Stylemans, Wim Janssens, Stephanie Everaerts, Thierry Troosters","doi":"10.1177/14799731241291530","DOIUrl":null,"url":null,"abstract":"<p><p><b>Background:</b> Chronic obstructive pulmonary disease (COPD) is associated with a reduced exercise capacity. Although several field tests for exercise capacity have been modified for non-standard settings, i.e. outside the hospital clinic or pulmonary rehabilitation center, their uptake remains limited. <b>Objectives:</b> To assess the test-retest reliability, constuct validity and responsiveness of the one-minute sit-to-stand test (1'STST) adopted in clinical practice among patients with COPD and to confirm the earlier established minimal important difference (MID) of three repetitions. <b>Methods:</b> Patients with COPD performed two 1'STSTs, two 6-minute walk tests (6MWT), an isometric quadriceps force (QF) measurement, a cardiopulmonary exercise test (CPET), and a seven-day physical activity (PA) measurement before and after three months of pulmonary rehabilitation (PR). An Intraclass Correlation Coefficient (ICC) evaluated the agreement between two 1'STSTs. Pearson Correlation examined the association between the 1'STST and other physical measurements, and their changes following PR. A receiver operating characteristic (ROC) curve was constructed using a 30-meter increment in the 6MWT as cut-off to identify responders. <b>Results:</b> The 1'STST demonstrated good reliability (Δ0.9 ± 4.0 repetitions, <i>p</i> = .13; ICC = 0.79). The 1'STST was moderately correlated with the 6MWT (r = 0.57, <i>p</i> < .0001), VO<sub>2</sub>max (r = 0.50, <i>p</i> = .0006) and maximal work rate (r = 0.52, <i>p</i> = .0003). Weak correlations were observed with QF (r = 0.33, <i>p</i> = .03) and step count (r = 0.38, <i>p</i> = .013). The 1'STST improved after PR (∆ = 3.6 ± 6.4 repetitions, <i>p</i> = .0013) and changes correlated moderately with changes in the 6MWT (r = 0.57, <i>p</i> = .002), QF (r = 0.48, <i>p</i> = .003) and VO<sub>2</sub>max (r = 0.41, <i>p</i> = .014). A cut-off of three repetitions demonstrated a 71% accuracy in identifying responders to a rehabilitation program. <b>Conclusion:</b> The 1'STST is a valuable alternative to evaluate exercise capacity in patients with COPD when more expensive and time-consuming tests are unavailable.</p>","PeriodicalId":10217,"journal":{"name":"Chronic Respiratory Disease","volume":"21 ","pages":"14799731241291530"},"PeriodicalIF":2.3000,"publicationDate":"2024-01-01","publicationTypes":"Journal Article","fieldsOfStudy":null,"isOpenAccess":false,"openAccessPdf":"https://www.ncbi.nlm.nih.gov/pmc/articles/PMC11483694/pdf/","citationCount":"0","resultStr":"{\"title\":\"The one-minute sit-to-stand test: A practical tool for assessing functional exercise capacity in patients with COPD in routine clinical practice.\",\"authors\":\"Paulien Mellaerts, Heleen Demeyer, Astrid Blondeel, Tim Vanhoutte, Sofie Breuls, Marieke Wuyts, Iris Coosemans, Lode Claes, Nele Vandenbergh, Kaat Beckers, Lucas Vanden Bossche, Dimitri Stylemans, Wim Janssens, Stephanie Everaerts, Thierry Troosters\",\"doi\":\"10.1177/14799731241291530\",\"DOIUrl\":null,\"url\":null,\"abstract\":\"<p><p><b>Background:</b> Chronic obstructive pulmonary disease (COPD) is associated with a reduced exercise capacity. Although several field tests for exercise capacity have been modified for non-standard settings, i.e. outside the hospital clinic or pulmonary rehabilitation center, their uptake remains limited. <b>Objectives:</b> To assess the test-retest reliability, constuct validity and responsiveness of the one-minute sit-to-stand test (1'STST) adopted in clinical practice among patients with COPD and to confirm the earlier established minimal important difference (MID) of three repetitions. <b>Methods:</b> Patients with COPD performed two 1'STSTs, two 6-minute walk tests (6MWT), an isometric quadriceps force (QF) measurement, a cardiopulmonary exercise test (CPET), and a seven-day physical activity (PA) measurement before and after three months of pulmonary rehabilitation (PR). An Intraclass Correlation Coefficient (ICC) evaluated the agreement between two 1'STSTs. Pearson Correlation examined the association between the 1'STST and other physical measurements, and their changes following PR. A receiver operating characteristic (ROC) curve was constructed using a 30-meter increment in the 6MWT as cut-off to identify responders. <b>Results:</b> The 1'STST demonstrated good reliability (Δ0.9 ± 4.0 repetitions, <i>p</i> = .13; ICC = 0.79). The 1'STST was moderately correlated with the 6MWT (r = 0.57, <i>p</i> < .0001), VO<sub>2</sub>max (r = 0.50, <i>p</i> = .0006) and maximal work rate (r = 0.52, <i>p</i> = .0003). Weak correlations were observed with QF (r = 0.33, <i>p</i> = .03) and step count (r = 0.38, <i>p</i> = .013). The 1'STST improved after PR (∆ = 3.6 ± 6.4 repetitions, <i>p</i> = .0013) and changes correlated moderately with changes in the 6MWT (r = 0.57, <i>p</i> = .002), QF (r = 0.48, <i>p</i> = .003) and VO<sub>2</sub>max (r = 0.41, <i>p</i> = .014). A cut-off of three repetitions demonstrated a 71% accuracy in identifying responders to a rehabilitation program. <b>Conclusion:</b> The 1'STST is a valuable alternative to evaluate exercise capacity in patients with COPD when more expensive and time-consuming tests are unavailable.</p>\",\"PeriodicalId\":10217,\"journal\":{\"name\":\"Chronic Respiratory Disease\",\"volume\":\"21 \",\"pages\":\"14799731241291530\"},\"PeriodicalIF\":2.3000,\"publicationDate\":\"2024-01-01\",\"publicationTypes\":\"Journal Article\",\"fieldsOfStudy\":null,\"isOpenAccess\":false,\"openAccessPdf\":\"https://www.ncbi.nlm.nih.gov/pmc/articles/PMC11483694/pdf/\",\"citationCount\":\"0\",\"resultStr\":null,\"platform\":\"Semanticscholar\",\"paperid\":null,\"PeriodicalName\":\"Chronic Respiratory Disease\",\"FirstCategoryId\":\"3\",\"ListUrlMain\":\"https://doi.org/10.1177/14799731241291530\",\"RegionNum\":3,\"RegionCategory\":\"医学\",\"ArticlePicture\":[],\"TitleCN\":null,\"AbstractTextCN\":null,\"PMCID\":null,\"EPubDate\":\"\",\"PubModel\":\"\",\"JCR\":\"Q2\",\"JCRName\":\"RESPIRATORY SYSTEM\",\"Score\":null,\"Total\":0}","platform":"Semanticscholar","paperid":null,"PeriodicalName":"Chronic Respiratory Disease","FirstCategoryId":"3","ListUrlMain":"https://doi.org/10.1177/14799731241291530","RegionNum":3,"RegionCategory":"医学","ArticlePicture":[],"TitleCN":null,"AbstractTextCN":null,"PMCID":null,"EPubDate":"","PubModel":"","JCR":"Q2","JCRName":"RESPIRATORY SYSTEM","Score":null,"Total":0}
引用次数: 0

摘要

背景:慢性阻塞性肺病(COPD)与运动能力下降有关。尽管针对非标准环境(即医院诊所或肺康复中心以外)对几种运动能力现场测试进行了修改,但其使用率仍然有限。研究目的评估慢性阻塞性肺病患者在临床实践中采用的一分钟坐立测试(1'STST)的重复测试可靠性、持续有效性和响应性,并确认早先确定的三次重复的最小重要差异(MID)。方法:慢性阻塞性肺病患者进行两次 1'STST 测试:慢性阻塞性肺病(COPD)患者在接受肺康复治疗(PR)三个月前后分别进行了两次 1'STST 测试、两次 6 分钟步行测试(6MWT)、等长股四头肌力(QF)测量、心肺运动测试(CPET)和七天体力活动(PA)测量。类内相关系数(ICC)评估了两个 1'STST 之间的一致性。皮尔逊相关性检验了 1'STST 与其他体能测量值之间的关联,以及它们在肺康复后的变化。以 6MWT 的 30 米增量为分界点,构建了接收者操作特征曲线 (ROC),以识别应答者。结果显示1'STST 表现出良好的可靠性(Δ0.9 ± 4.0 次,p = .13;ICC = 0.79)。1'STST与6MWT(r = 0.57,p < .0001)、最大容氧量(r = 0.50,p = .0006)和最大工作率(r = 0.52,p = .0003)呈中度相关。与 QF(r = 0.33,p = .03)和步数(r = 0.38,p = .013)的相关性较弱。PR 后,1'STST 有所改善(Δ = 3.6 ± 6.4 次,p = .0013),其变化与 6MWT 的变化(r = 0.57,p = .002)、QF(r = 0.48,p = .003)和 VO2max(r = 0.41,p = .014)呈中度相关。以三次重复为临界值,在确定康复计划响应者方面的准确率为 71%。结论:1'STST在无法进行更昂贵、更耗时的测试时,1'STST 是评估慢性阻塞性肺病患者运动能力的一种有价值的替代方法。
本文章由计算机程序翻译,如有差异,请以英文原文为准。

The one-minute sit-to-stand test: A practical tool for assessing functional exercise capacity in patients with COPD in routine clinical practice.

The one-minute sit-to-stand test: A practical tool for assessing functional exercise capacity in patients with COPD in routine clinical practice.

The one-minute sit-to-stand test: A practical tool for assessing functional exercise capacity in patients with COPD in routine clinical practice.

The one-minute sit-to-stand test: A practical tool for assessing functional exercise capacity in patients with COPD in routine clinical practice.

Background: Chronic obstructive pulmonary disease (COPD) is associated with a reduced exercise capacity. Although several field tests for exercise capacity have been modified for non-standard settings, i.e. outside the hospital clinic or pulmonary rehabilitation center, their uptake remains limited. Objectives: To assess the test-retest reliability, constuct validity and responsiveness of the one-minute sit-to-stand test (1'STST) adopted in clinical practice among patients with COPD and to confirm the earlier established minimal important difference (MID) of three repetitions. Methods: Patients with COPD performed two 1'STSTs, two 6-minute walk tests (6MWT), an isometric quadriceps force (QF) measurement, a cardiopulmonary exercise test (CPET), and a seven-day physical activity (PA) measurement before and after three months of pulmonary rehabilitation (PR). An Intraclass Correlation Coefficient (ICC) evaluated the agreement between two 1'STSTs. Pearson Correlation examined the association between the 1'STST and other physical measurements, and their changes following PR. A receiver operating characteristic (ROC) curve was constructed using a 30-meter increment in the 6MWT as cut-off to identify responders. Results: The 1'STST demonstrated good reliability (Δ0.9 ± 4.0 repetitions, p = .13; ICC = 0.79). The 1'STST was moderately correlated with the 6MWT (r = 0.57, p < .0001), VO2max (r = 0.50, p = .0006) and maximal work rate (r = 0.52, p = .0003). Weak correlations were observed with QF (r = 0.33, p = .03) and step count (r = 0.38, p = .013). The 1'STST improved after PR (∆ = 3.6 ± 6.4 repetitions, p = .0013) and changes correlated moderately with changes in the 6MWT (r = 0.57, p = .002), QF (r = 0.48, p = .003) and VO2max (r = 0.41, p = .014). A cut-off of three repetitions demonstrated a 71% accuracy in identifying responders to a rehabilitation program. Conclusion: The 1'STST is a valuable alternative to evaluate exercise capacity in patients with COPD when more expensive and time-consuming tests are unavailable.

求助全文
通过发布文献求助,成功后即可免费获取论文全文。 去求助
来源期刊
Chronic Respiratory Disease
Chronic Respiratory Disease RESPIRATORY SYSTEM-
CiteScore
5.90
自引率
7.30%
发文量
47
审稿时长
11 weeks
期刊介绍: Chronic Respiratory Disease is a peer-reviewed, open access, scholarly journal, created in response to the rising incidence of chronic respiratory diseases worldwide. It publishes high quality research papers and original articles that have immediate relevance to clinical practice and its multi-disciplinary perspective reflects the nature of modern treatment. The journal provides a high quality, multi-disciplinary focus for the publication of original papers, reviews and commentary in the broad area of chronic respiratory disease, particularly its treatment and management.
×
引用
GB/T 7714-2015
复制
MLA
复制
APA
复制
导出至
BibTeX EndNote RefMan NoteFirst NoteExpress
×
提示
您的信息不完整,为了账户安全,请先补充。
现在去补充
×
提示
您因"违规操作"
具体请查看互助需知
我知道了
×
提示
确定
请完成安全验证×
copy
已复制链接
快去分享给好友吧!
我知道了
右上角分享
点击右上角分享
0
联系我们:info@booksci.cn Book学术提供免费学术资源搜索服务,方便国内外学者检索中英文文献。致力于提供最便捷和优质的服务体验。 Copyright © 2023 布克学术 All rights reserved.
京ICP备2023020795号-1
ghs 京公网安备 11010802042870号
Book学术文献互助
Book学术文献互助群
群 号:604180095
Book学术官方微信