维持体重的生酮饮食对肥胖 T2D 患者血糖控制和胰岛素敏感性的影响。

IF 4.1 2区 医学 Q2 ENDOCRINOLOGY & METABOLISM
Aurora Merovci, Brittany Finley, Andrea Hansis-Diarte, Sivaram Neppala, Muhammad A Abdul-Ghani, Eugenio Cersosimo, Curtis Triplitt, Ralph A DeFronzo
{"title":"维持体重的生酮饮食对肥胖 T2D 患者血糖控制和胰岛素敏感性的影响。","authors":"Aurora Merovci, Brittany Finley, Andrea Hansis-Diarte, Sivaram Neppala, Muhammad A Abdul-Ghani, Eugenio Cersosimo, Curtis Triplitt, Ralph A DeFronzo","doi":"10.1136/bmjdrc-2024-004199","DOIUrl":null,"url":null,"abstract":"<p><strong>Introduction: </strong>Low carbohydrate ketogenic diets have received renewed interest for the treatment of obesity and type 2 diabetes. These diets promote weight loss, improve glycemic control, and reduce insulin resistance. However, whether the improvements in glycemic control and insulin sensitivity are secondary to the weight loss or result from a direct effect of hyperketonemia is controversial.</p><p><strong>Research design and methods: </strong>29 overweight obese subjects were randomized to one of three dietary interventions for 10 days: (1) Weight-maintaining standard diet; (2) Weight-maintaining ketogenic diet; (3) Weight-maintaining ketogenic diet plus supplementation with the ketone ester of beta-hydroxybutyrate (β-OH-B), 8 g every 8 hours. At baseline, all subjects had oral glucose tolerance test, 2-step euglycemic insulin clamp (20 mU/m<sup>2</sup>.min and 60 mU/m<sup>2</sup>.min) with titrated glucose and indirect calorimetry.</p><p><strong>Results: </strong>Body weight, fat content, and per cent body fat (DEXA) remained constant over the 10-day dietary intervention period in all three groups. Plasma β-OH-B concentration increased twofold, while carbohydrate oxidation decreased, and lipid oxidation increased demonstrating the expected shifts in substrate metabolism with institution of the ketogenic diet. Glucose tolerance either decreased slightly or remained unchanged in the two ketogenic diet groups. Whole body (muscle), liver, and adipose tissue sensitivity to insulin remained unchanged in all 3 groups, as did the plasma lipid profile and blood pressure.</p><p><strong>Conclusion: </strong>In the absence of weight loss, a low carbohydrate ketogenic diet has no beneficial effect on glucose tolerance, insulin sensitivity, or other metabolic parameters.</p>","PeriodicalId":9151,"journal":{"name":"BMJ Open Diabetes Research & Care","volume":"12 5","pages":""},"PeriodicalIF":4.1000,"publicationDate":"2024-10-18","publicationTypes":"Journal Article","fieldsOfStudy":null,"isOpenAccess":false,"openAccessPdf":"https://www.ncbi.nlm.nih.gov/pmc/articles/PMC11492932/pdf/","citationCount":"0","resultStr":"{\"title\":\"Effect of weight-maintaining ketogenic diet on glycemic control and insulin sensitivity in obese T2D subjects.\",\"authors\":\"Aurora Merovci, Brittany Finley, Andrea Hansis-Diarte, Sivaram Neppala, Muhammad A Abdul-Ghani, Eugenio Cersosimo, Curtis Triplitt, Ralph A DeFronzo\",\"doi\":\"10.1136/bmjdrc-2024-004199\",\"DOIUrl\":null,\"url\":null,\"abstract\":\"<p><strong>Introduction: </strong>Low carbohydrate ketogenic diets have received renewed interest for the treatment of obesity and type 2 diabetes. These diets promote weight loss, improve glycemic control, and reduce insulin resistance. However, whether the improvements in glycemic control and insulin sensitivity are secondary to the weight loss or result from a direct effect of hyperketonemia is controversial.</p><p><strong>Research design and methods: </strong>29 overweight obese subjects were randomized to one of three dietary interventions for 10 days: (1) Weight-maintaining standard diet; (2) Weight-maintaining ketogenic diet; (3) Weight-maintaining ketogenic diet plus supplementation with the ketone ester of beta-hydroxybutyrate (β-OH-B), 8 g every 8 hours. At baseline, all subjects had oral glucose tolerance test, 2-step euglycemic insulin clamp (20 mU/m<sup>2</sup>.min and 60 mU/m<sup>2</sup>.min) with titrated glucose and indirect calorimetry.</p><p><strong>Results: </strong>Body weight, fat content, and per cent body fat (DEXA) remained constant over the 10-day dietary intervention period in all three groups. Plasma β-OH-B concentration increased twofold, while carbohydrate oxidation decreased, and lipid oxidation increased demonstrating the expected shifts in substrate metabolism with institution of the ketogenic diet. Glucose tolerance either decreased slightly or remained unchanged in the two ketogenic diet groups. Whole body (muscle), liver, and adipose tissue sensitivity to insulin remained unchanged in all 3 groups, as did the plasma lipid profile and blood pressure.</p><p><strong>Conclusion: </strong>In the absence of weight loss, a low carbohydrate ketogenic diet has no beneficial effect on glucose tolerance, insulin sensitivity, or other metabolic parameters.</p>\",\"PeriodicalId\":9151,\"journal\":{\"name\":\"BMJ Open Diabetes Research & Care\",\"volume\":\"12 5\",\"pages\":\"\"},\"PeriodicalIF\":4.1000,\"publicationDate\":\"2024-10-18\",\"publicationTypes\":\"Journal Article\",\"fieldsOfStudy\":null,\"isOpenAccess\":false,\"openAccessPdf\":\"https://www.ncbi.nlm.nih.gov/pmc/articles/PMC11492932/pdf/\",\"citationCount\":\"0\",\"resultStr\":null,\"platform\":\"Semanticscholar\",\"paperid\":null,\"PeriodicalName\":\"BMJ Open Diabetes Research & Care\",\"FirstCategoryId\":\"3\",\"ListUrlMain\":\"https://doi.org/10.1136/bmjdrc-2024-004199\",\"RegionNum\":2,\"RegionCategory\":\"医学\",\"ArticlePicture\":[],\"TitleCN\":null,\"AbstractTextCN\":null,\"PMCID\":null,\"EPubDate\":\"\",\"PubModel\":\"\",\"JCR\":\"Q2\",\"JCRName\":\"ENDOCRINOLOGY & METABOLISM\",\"Score\":null,\"Total\":0}","platform":"Semanticscholar","paperid":null,"PeriodicalName":"BMJ Open Diabetes Research & Care","FirstCategoryId":"3","ListUrlMain":"https://doi.org/10.1136/bmjdrc-2024-004199","RegionNum":2,"RegionCategory":"医学","ArticlePicture":[],"TitleCN":null,"AbstractTextCN":null,"PMCID":null,"EPubDate":"","PubModel":"","JCR":"Q2","JCRName":"ENDOCRINOLOGY & METABOLISM","Score":null,"Total":0}
引用次数: 0

摘要

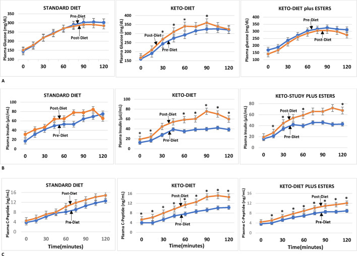
导言:低碳水化合物生酮饮食在治疗肥胖症和 2 型糖尿病方面再次受到关注。这些饮食可促进减肥、改善血糖控制和减轻胰岛素抵抗。然而,血糖控制和胰岛素敏感性的改善是继发于体重减轻,还是直接源于高酮血症,目前尚存在争议。研究设计和方法:29 名超重肥胖受试者被随机分配到三种饮食干预中的一种,为期 10 天:(1)维持体重的标准饮食;(2)维持体重的生酮饮食;(3)维持体重的生酮饮食加每 8 小时补充 8 克的β-羟基丁酸酮酯(β-OH-B)。在基线期,所有受试者都进行了口服葡萄糖耐量试验、两步优格胰岛素钳夹(20 mU/m2.min 和 60 mU/m2.min)、滴定葡萄糖和间接热量测定:结果:在为期 10 天的饮食干预期间,所有三组的体重、脂肪含量和体脂肪百分比(DEXA)均保持不变。血浆中的β-OH-B浓度增加了两倍,而碳水化合物氧化减少,脂质氧化增加,这表明采用生酮饮食后,底物代谢发生了预期的变化。两个生酮饮食组的葡萄糖耐量要么略有下降,要么保持不变。所有 3 组的全身(肌肉)、肝脏和脂肪组织对胰岛素的敏感性保持不变,血浆脂质概况和血压也保持不变:结论:在体重没有减轻的情况下,低碳水化合物生酮饮食对葡萄糖耐量、胰岛素敏感性或其他代谢参数没有益处。
本文章由计算机程序翻译,如有差异,请以英文原文为准。

Effect of weight-maintaining ketogenic diet on glycemic control and insulin sensitivity in obese T2D subjects.

Effect of weight-maintaining ketogenic diet on glycemic control and insulin sensitivity in obese T2D subjects.

Effect of weight-maintaining ketogenic diet on glycemic control and insulin sensitivity in obese T2D subjects.

Effect of weight-maintaining ketogenic diet on glycemic control and insulin sensitivity in obese T2D subjects.

Introduction: Low carbohydrate ketogenic diets have received renewed interest for the treatment of obesity and type 2 diabetes. These diets promote weight loss, improve glycemic control, and reduce insulin resistance. However, whether the improvements in glycemic control and insulin sensitivity are secondary to the weight loss or result from a direct effect of hyperketonemia is controversial.

Research design and methods: 29 overweight obese subjects were randomized to one of three dietary interventions for 10 days: (1) Weight-maintaining standard diet; (2) Weight-maintaining ketogenic diet; (3) Weight-maintaining ketogenic diet plus supplementation with the ketone ester of beta-hydroxybutyrate (β-OH-B), 8 g every 8 hours. At baseline, all subjects had oral glucose tolerance test, 2-step euglycemic insulin clamp (20 mU/m2.min and 60 mU/m2.min) with titrated glucose and indirect calorimetry.

Results: Body weight, fat content, and per cent body fat (DEXA) remained constant over the 10-day dietary intervention period in all three groups. Plasma β-OH-B concentration increased twofold, while carbohydrate oxidation decreased, and lipid oxidation increased demonstrating the expected shifts in substrate metabolism with institution of the ketogenic diet. Glucose tolerance either decreased slightly or remained unchanged in the two ketogenic diet groups. Whole body (muscle), liver, and adipose tissue sensitivity to insulin remained unchanged in all 3 groups, as did the plasma lipid profile and blood pressure.

Conclusion: In the absence of weight loss, a low carbohydrate ketogenic diet has no beneficial effect on glucose tolerance, insulin sensitivity, or other metabolic parameters.

求助全文
通过发布文献求助,成功后即可免费获取论文全文。 去求助
来源期刊
BMJ Open Diabetes Research & Care
BMJ Open Diabetes Research & Care Medicine-Endocrinology, Diabetes and Metabolism
CiteScore
9.30
自引率
2.40%
发文量
123
审稿时长
18 weeks
期刊介绍: BMJ Open Diabetes Research & Care is an open access journal committed to publishing high-quality, basic and clinical research articles regarding type 1 and type 2 diabetes, and associated complications. Only original content will be accepted, and submissions are subject to rigorous peer review to ensure the publication of high-quality — and evidence-based — original research articles.
×
引用
GB/T 7714-2015
复制
MLA
复制
APA
复制
导出至
BibTeX EndNote RefMan NoteFirst NoteExpress
×
提示
您的信息不完整,为了账户安全,请先补充。
现在去补充
×
提示
您因"违规操作"
具体请查看互助需知
我知道了
×
提示
确定
请完成安全验证×
copy
已复制链接
快去分享给好友吧!
我知道了
右上角分享
点击右上角分享
0
联系我们:info@booksci.cn Book学术提供免费学术资源搜索服务,方便国内外学者检索中英文文献。致力于提供最便捷和优质的服务体验。 Copyright © 2023 布克学术 All rights reserved.
京ICP备2023020795号-1
ghs 京公网安备 11010802042870号
Book学术文献互助
Book学术文献互助群
群 号:604180095
Book学术官方微信