高体重指数(BMI > 35 kg/m2)对心房颤动患者阿哌沙班血浆浓度的影响

IF 3 4区 医学 Q2 CARDIAC & CARDIOVASCULAR SYSTEMS
May Hilu, Mariana Issawy, Raul Colodner, Harel Eitam, Gilat Ron Avraham, Kerstin Carlin Ram, Mazen Elias, Orli Shimoni, Eyal Schwartzberg, Lee Hilary Goldstein
{"title":"高体重指数(BMI > 35 kg/m2)对心房颤动患者阿哌沙班血浆浓度的影响","authors":"May Hilu,&nbsp;Mariana Issawy,&nbsp;Raul Colodner,&nbsp;Harel Eitam,&nbsp;Gilat Ron Avraham,&nbsp;Kerstin Carlin Ram,&nbsp;Mazen Elias,&nbsp;Orli Shimoni,&nbsp;Eyal Schwartzberg,&nbsp;Lee Hilary Goldstein","doi":"10.1007/s40256-024-00678-w","DOIUrl":null,"url":null,"abstract":"<div><h3>Purpose</h3><p>Apixaban, a direct oral anticoagulant is administered for stroke prevention in atrial fibrillation patients. Dosing adjustment is guided by renal function, age, and body weight. However, no data exist on its pharmacokinetics in patients with a body mass index (BMI) ≥ 35 kg/m<sup>2</sup>. The aim was to investigate the effects of BMI ≥ 35 kg/m<sup>2</sup> on trough plasma concentrations of apixaban in patients with atrial fibrillation.</p><h3>Methods</h3><p>This prospective study compared steady-state trough concentrations of apixaban in patients with a BMI ≥ 35 kg/m<sup>2</sup> and patients with a BMI &lt; 35 kg/m<sup>2</sup>.</p><h3>Results</h3><p>Sixty patients were included. In patients receiving 5 mg apixaban twice daily, the median trough plasma concentration was 29% lower in patients with a BMI ≥ 35 kg/m<sup>2</sup> than in those with a BMI &lt; 35 kg/m<sup>2</sup> (148.9 ng/ml, interquartile range [IQR] 94.5–205.6, compared to 209.1 ng/ml, IQR 167–266.8 ng/ml, respectively; <i>P</i> = 0.044). However, median trough concentrations fell within the manufacturer’s predicted range for effective steady-state apixaban exposure. A similar trend was observed with 2.5 mg apixaban twice daily, although statistical significance was not reached. Multivariate analysis revealed no correlation between BMI values and trough concentrations.</p><h3>Conclusion</h3><p>BMI ≥ 35 kg/m<sup>2</sup> patients exhibited lower apixaban trough concentrations, while remaining within the manufacturer’s established range for effective steady-state apixaban, suggesting that dose adjustment is unnecessary for this specific patient group.</p></div>","PeriodicalId":7652,"journal":{"name":"American Journal of Cardiovascular Drugs","volume":"25 1","pages":"113 - 123"},"PeriodicalIF":3.0000,"publicationDate":"2024-10-18","publicationTypes":"Journal Article","fieldsOfStudy":null,"isOpenAccess":false,"openAccessPdf":"https://www.ncbi.nlm.nih.gov/pmc/articles/PMC11775066/pdf/","citationCount":"0","resultStr":"{\"title\":\"The Influence of High Body Mass Index (BMI > 35 kg/m2) on Apixaban Plasma Concentration in Patients with Atrial Fibrillation\",\"authors\":\"May Hilu,&nbsp;Mariana Issawy,&nbsp;Raul Colodner,&nbsp;Harel Eitam,&nbsp;Gilat Ron Avraham,&nbsp;Kerstin Carlin Ram,&nbsp;Mazen Elias,&nbsp;Orli Shimoni,&nbsp;Eyal Schwartzberg,&nbsp;Lee Hilary Goldstein\",\"doi\":\"10.1007/s40256-024-00678-w\",\"DOIUrl\":null,\"url\":null,\"abstract\":\"<div><h3>Purpose</h3><p>Apixaban, a direct oral anticoagulant is administered for stroke prevention in atrial fibrillation patients. Dosing adjustment is guided by renal function, age, and body weight. However, no data exist on its pharmacokinetics in patients with a body mass index (BMI) ≥ 35 kg/m<sup>2</sup>. The aim was to investigate the effects of BMI ≥ 35 kg/m<sup>2</sup> on trough plasma concentrations of apixaban in patients with atrial fibrillation.</p><h3>Methods</h3><p>This prospective study compared steady-state trough concentrations of apixaban in patients with a BMI ≥ 35 kg/m<sup>2</sup> and patients with a BMI &lt; 35 kg/m<sup>2</sup>.</p><h3>Results</h3><p>Sixty patients were included. In patients receiving 5 mg apixaban twice daily, the median trough plasma concentration was 29% lower in patients with a BMI ≥ 35 kg/m<sup>2</sup> than in those with a BMI &lt; 35 kg/m<sup>2</sup> (148.9 ng/ml, interquartile range [IQR] 94.5–205.6, compared to 209.1 ng/ml, IQR 167–266.8 ng/ml, respectively; <i>P</i> = 0.044). However, median trough concentrations fell within the manufacturer’s predicted range for effective steady-state apixaban exposure. A similar trend was observed with 2.5 mg apixaban twice daily, although statistical significance was not reached. Multivariate analysis revealed no correlation between BMI values and trough concentrations.</p><h3>Conclusion</h3><p>BMI ≥ 35 kg/m<sup>2</sup> patients exhibited lower apixaban trough concentrations, while remaining within the manufacturer’s established range for effective steady-state apixaban, suggesting that dose adjustment is unnecessary for this specific patient group.</p></div>\",\"PeriodicalId\":7652,\"journal\":{\"name\":\"American Journal of Cardiovascular Drugs\",\"volume\":\"25 1\",\"pages\":\"113 - 123\"},\"PeriodicalIF\":3.0000,\"publicationDate\":\"2024-10-18\",\"publicationTypes\":\"Journal Article\",\"fieldsOfStudy\":null,\"isOpenAccess\":false,\"openAccessPdf\":\"https://www.ncbi.nlm.nih.gov/pmc/articles/PMC11775066/pdf/\",\"citationCount\":\"0\",\"resultStr\":null,\"platform\":\"Semanticscholar\",\"paperid\":null,\"PeriodicalName\":\"American Journal of Cardiovascular Drugs\",\"FirstCategoryId\":\"3\",\"ListUrlMain\":\"https://link.springer.com/article/10.1007/s40256-024-00678-w\",\"RegionNum\":4,\"RegionCategory\":\"医学\",\"ArticlePicture\":[],\"TitleCN\":null,\"AbstractTextCN\":null,\"PMCID\":null,\"EPubDate\":\"\",\"PubModel\":\"\",\"JCR\":\"Q2\",\"JCRName\":\"CARDIAC & CARDIOVASCULAR SYSTEMS\",\"Score\":null,\"Total\":0}","platform":"Semanticscholar","paperid":null,"PeriodicalName":"American Journal of Cardiovascular Drugs","FirstCategoryId":"3","ListUrlMain":"https://link.springer.com/article/10.1007/s40256-024-00678-w","RegionNum":4,"RegionCategory":"医学","ArticlePicture":[],"TitleCN":null,"AbstractTextCN":null,"PMCID":null,"EPubDate":"","PubModel":"","JCR":"Q2","JCRName":"CARDIAC & CARDIOVASCULAR SYSTEMS","Score":null,"Total":0}
引用次数: 0

摘要

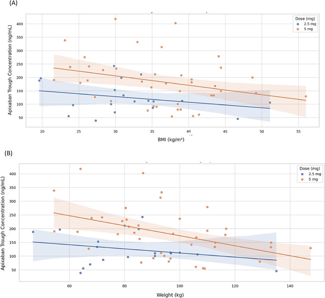
目的:阿哌沙班是一种直接口服抗凝剂,用于预防心房颤动患者中风。根据肾功能、年龄和体重调整剂量。然而,目前还没有关于体重指数(BMI)≥ 35 kg/m2 患者的药代动力学数据。本研究旨在探讨体重指数≥35 kg/m2对心房颤动患者阿哌沙班血浆谷浓度的影响:这项前瞻性研究比较了体重指数(BMI)≥ 35 kg/m2和体重指数(BMI)2的患者体内阿哌沙班的稳态谷浓度:研究共纳入了 60 名患者。在每天接受两次 5 毫克阿哌沙班治疗的患者中,体重指数≥ 35 kg/m2 患者的血浆中位谷浓度比体重指数为 2 的患者低 29%(分别为 148.9 纳克/毫升,四分位数间距 [IQR] 94.5-205.6 和 209.1 纳克/毫升,四分位数间距 167-266.8 纳克/毫升;P = 0.044)。不过,中位谷浓度在生产商预测的阿哌沙班有效稳态暴露范围内。每日两次服用 2.5 毫克阿哌沙班也有类似趋势,但未达到统计学意义。多变量分析显示,BMI值与谷浓度之间没有相关性:结论:体重指数≥35 kg/m2的患者阿哌沙班谷浓度较低,但仍在生产商确定的阿哌沙班有效稳态范围内,这表明对这一特殊患者群体无需调整剂量。
本文章由计算机程序翻译,如有差异,请以英文原文为准。

The Influence of High Body Mass Index (BMI > 35 kg/m2) on Apixaban Plasma Concentration in Patients with Atrial Fibrillation

The Influence of High Body Mass Index (BMI > 35 kg/m2) on Apixaban Plasma Concentration in Patients with Atrial Fibrillation

The Influence of High Body Mass Index (BMI > 35 kg/m2) on Apixaban Plasma Concentration in Patients with Atrial Fibrillation

Purpose

Apixaban, a direct oral anticoagulant is administered for stroke prevention in atrial fibrillation patients. Dosing adjustment is guided by renal function, age, and body weight. However, no data exist on its pharmacokinetics in patients with a body mass index (BMI) ≥ 35 kg/m2. The aim was to investigate the effects of BMI ≥ 35 kg/m2 on trough plasma concentrations of apixaban in patients with atrial fibrillation.

Methods

This prospective study compared steady-state trough concentrations of apixaban in patients with a BMI ≥ 35 kg/m2 and patients with a BMI < 35 kg/m2.

Results

Sixty patients were included. In patients receiving 5 mg apixaban twice daily, the median trough plasma concentration was 29% lower in patients with a BMI ≥ 35 kg/m2 than in those with a BMI < 35 kg/m2 (148.9 ng/ml, interquartile range [IQR] 94.5–205.6, compared to 209.1 ng/ml, IQR 167–266.8 ng/ml, respectively; P = 0.044). However, median trough concentrations fell within the manufacturer’s predicted range for effective steady-state apixaban exposure. A similar trend was observed with 2.5 mg apixaban twice daily, although statistical significance was not reached. Multivariate analysis revealed no correlation between BMI values and trough concentrations.

Conclusion

BMI ≥ 35 kg/m2 patients exhibited lower apixaban trough concentrations, while remaining within the manufacturer’s established range for effective steady-state apixaban, suggesting that dose adjustment is unnecessary for this specific patient group.

求助全文
通过发布文献求助,成功后即可免费获取论文全文。 去求助
来源期刊
CiteScore
6.70
自引率
3.30%
发文量
38
审稿时长
>12 weeks
期刊介绍: Promoting rational therapy within the discipline of cardiology, the American Journal of Cardiovascular Drugs covers all aspects of the treatment of cardiovascular disorders, particularly the place in therapy of newer and established agents. Via a program of reviews and original clinical research articles, the journal addresses major issues relating to treatment of these disorders, including the pharmacology, efficacy and adverse effects of the major classes of drugs; information on newly developed drugs and drug classes; the therapeutic implications of latest research into the aetiology of cardiovascular disorders; and the practical management of specific clinical situations. The American Journal of Cardiovascular Drugs offers a range of additional enhanced features designed to increase the visibility, readership and educational value of the journal’s content. Each article is accompanied by a Key Points summary, giving a time-efficient overview of the content to a wide readership. Articles may be accompanied by plain language summaries to assist patients, caregivers and others in understanding important medical advances. The journal also provides the option to include various other types of enhanced features including slide sets, videos and animations. All enhanced features are peer reviewed to the same high standard as the article itself. Peer review is conducted using Editorial Manager®, supported by a database of international experts. This database is shared with other Adis journals.
×
引用
GB/T 7714-2015
复制
MLA
复制
APA
复制
导出至
BibTeX EndNote RefMan NoteFirst NoteExpress
×
提示
您的信息不完整,为了账户安全,请先补充。
现在去补充
×
提示
您因"违规操作"
具体请查看互助需知
我知道了
×
提示
确定
请完成安全验证×
copy
已复制链接
快去分享给好友吧!
我知道了
右上角分享
点击右上角分享
0
联系我们:info@booksci.cn Book学术提供免费学术资源搜索服务,方便国内外学者检索中英文文献。致力于提供最便捷和优质的服务体验。 Copyright © 2023 布克学术 All rights reserved.
京ICP备2023020795号-1
ghs 京公网安备 11010802042870号
Book学术文献互助
Book学术文献互助群
群 号:604180095
Book学术官方微信