血浆神经丝蛋白轻链作为神经退行性疾病认知能力下降的预后标志物的临床研究。

IF 7.6 1区 医学 Q1 CLINICAL NEUROLOGY
Karl Götze, Agathe Vrillon, Julien Dumurgier, Sandrine Indart, Marta Sanchez-Ortiz, Hela Slimi, Agathe Raynaud-Simon, Emmanuel Cognat, Matthieu Martinet, Henrik Zetterberg, Kaj Blennow, Claire Hourrègue, Elodie Bouaziz-Amar, Claire Paquet, Matthieu Lilamand
{"title":"血浆神经丝蛋白轻链作为神经退行性疾病认知能力下降的预后标志物的临床研究。","authors":"Karl Götze, Agathe Vrillon, Julien Dumurgier, Sandrine Indart, Marta Sanchez-Ortiz, Hela Slimi, Agathe Raynaud-Simon, Emmanuel Cognat, Matthieu Martinet, Henrik Zetterberg, Kaj Blennow, Claire Hourrègue, Elodie Bouaziz-Amar, Claire Paquet, Matthieu Lilamand","doi":"10.1186/s13195-024-01593-7","DOIUrl":null,"url":null,"abstract":"<p><strong>Background: </strong>Analysis of selected research cohorts has highlighted an association between plasma neurofilament light (NfL) protein and cross-sectional cognitive impairment as well as longitudinal cognitive decline. However, the findings have yielded inconsistent results regarding its possible application in clinical practice. Despite its potential prognostic significance, the role of plasma NfL in daily clinical practice with unselected patients suffering from cognitive impairment remains largely unexplored.</p><p><strong>Methods: </strong>This retrospective, cross-sectional and longitudinal monocentric study enrolled 320 patients with Alzheimer's disease ([AD], n = 158), dementia with Lewy body ([DLB], n = 30), frontotemporal dementia ([FTD], n = 32), non-neurodegenerative diseases ([NND], n = 59) or subjective cognitive decline ([SCD], n = 41). Plasma NfL levels were measured at baseline on the Simoa platform. AD, DLB, and FTD patients were also analyzed altogether as a 'degenerative conditions' subgroup, whereas SCD and NND were grouped as a 'non-degenerative conditions' subgroup. We assessed the relationship between plasma NfL levels and cross-sectional cognitive performance, including global cognition and six specific cognitive domains. A subset of 239 patients had follow-up mini-mental state examinations (MMSE) up to 60 months. Models were adjusted on age, education level, glomerular filtration rate and body mass index.</p><p><strong>Results: </strong>In 320 patients, baseline plasma NfL levels were negatively associated with global cognition (β=-1.28 (-1.81 ; -0.75) P < 0.001), memory (β=-1.48 (-2.38 ; -0.59), P = 0.001), language (β=-1.72(-2.49 ; -0.95) P < 0.001), praxis (β=-2.02 (-2.91 ; -1.13) P < 0.001) and executive functions (β=-0.81, P < 0.001). Across diagnosis, plasma NfL levels were negatively associated with cross-sectional global cognition in all but the SCD subgroup, specifically with executive functions and memory in AD (respectively β=-0.71(-1.21 ; -0.211), P = 0.005 and β=-1.29 (-2.17 ; -0.42), P = 0.004), and with attention in LBD (β=-0.81(-1.16 ; -0.002), P = 0.03). Linear mixed-effects models showed that plasma NfL predicted MMSE decline in the global population (β<sub>PlasmaNfLxTime</sub>=-0.15 (-0.26 ; -0.04), P = 0.006), as in the neurodegenerative condition subgroup (β<sub>PlasmaNfLxTime</sub>=-0.21 (-0.37 ; - 0.06), P = 0.007), but not in non-neurodegenerative condition subgroup.</p><p><strong>Conclusion: </strong>In our clinical cohort, plasma NfL was associated with faster cognitive decline in neurodegenerative dementia, which corroborates data obtained in research cohorts. Yet, plasma NfL was not predictive of accelerated cognitive decline in individuals without neurodegeneration, suggesting its use as a neurodegeneration-specific predictive biomarker.</p>","PeriodicalId":7516,"journal":{"name":"Alzheimer's Research & Therapy","volume":"16 1","pages":"231"},"PeriodicalIF":7.6000,"publicationDate":"2024-10-19","publicationTypes":"Journal Article","fieldsOfStudy":null,"isOpenAccess":false,"openAccessPdf":"https://www.ncbi.nlm.nih.gov/pmc/articles/PMC11490051/pdf/","citationCount":"0","resultStr":"{\"title\":\"Plasma neurofilament light chain as prognostic marker of cognitive decline in neurodegenerative diseases, a clinical setting study.\",\"authors\":\"Karl Götze, Agathe Vrillon, Julien Dumurgier, Sandrine Indart, Marta Sanchez-Ortiz, Hela Slimi, Agathe Raynaud-Simon, Emmanuel Cognat, Matthieu Martinet, Henrik Zetterberg, Kaj Blennow, Claire Hourrègue, Elodie Bouaziz-Amar, Claire Paquet, Matthieu Lilamand\",\"doi\":\"10.1186/s13195-024-01593-7\",\"DOIUrl\":null,\"url\":null,\"abstract\":\"<p><strong>Background: </strong>Analysis of selected research cohorts has highlighted an association between plasma neurofilament light (NfL) protein and cross-sectional cognitive impairment as well as longitudinal cognitive decline. However, the findings have yielded inconsistent results regarding its possible application in clinical practice. Despite its potential prognostic significance, the role of plasma NfL in daily clinical practice with unselected patients suffering from cognitive impairment remains largely unexplored.</p><p><strong>Methods: </strong>This retrospective, cross-sectional and longitudinal monocentric study enrolled 320 patients with Alzheimer's disease ([AD], n = 158), dementia with Lewy body ([DLB], n = 30), frontotemporal dementia ([FTD], n = 32), non-neurodegenerative diseases ([NND], n = 59) or subjective cognitive decline ([SCD], n = 41). Plasma NfL levels were measured at baseline on the Simoa platform. AD, DLB, and FTD patients were also analyzed altogether as a 'degenerative conditions' subgroup, whereas SCD and NND were grouped as a 'non-degenerative conditions' subgroup. We assessed the relationship between plasma NfL levels and cross-sectional cognitive performance, including global cognition and six specific cognitive domains. A subset of 239 patients had follow-up mini-mental state examinations (MMSE) up to 60 months. Models were adjusted on age, education level, glomerular filtration rate and body mass index.</p><p><strong>Results: </strong>In 320 patients, baseline plasma NfL levels were negatively associated with global cognition (β=-1.28 (-1.81 ; -0.75) P < 0.001), memory (β=-1.48 (-2.38 ; -0.59), P = 0.001), language (β=-1.72(-2.49 ; -0.95) P < 0.001), praxis (β=-2.02 (-2.91 ; -1.13) P < 0.001) and executive functions (β=-0.81, P < 0.001). Across diagnosis, plasma NfL levels were negatively associated with cross-sectional global cognition in all but the SCD subgroup, specifically with executive functions and memory in AD (respectively β=-0.71(-1.21 ; -0.211), P = 0.005 and β=-1.29 (-2.17 ; -0.42), P = 0.004), and with attention in LBD (β=-0.81(-1.16 ; -0.002), P = 0.03). Linear mixed-effects models showed that plasma NfL predicted MMSE decline in the global population (β<sub>PlasmaNfLxTime</sub>=-0.15 (-0.26 ; -0.04), P = 0.006), as in the neurodegenerative condition subgroup (β<sub>PlasmaNfLxTime</sub>=-0.21 (-0.37 ; - 0.06), P = 0.007), but not in non-neurodegenerative condition subgroup.</p><p><strong>Conclusion: </strong>In our clinical cohort, plasma NfL was associated with faster cognitive decline in neurodegenerative dementia, which corroborates data obtained in research cohorts. Yet, plasma NfL was not predictive of accelerated cognitive decline in individuals without neurodegeneration, suggesting its use as a neurodegeneration-specific predictive biomarker.</p>\",\"PeriodicalId\":7516,\"journal\":{\"name\":\"Alzheimer's Research & Therapy\",\"volume\":\"16 1\",\"pages\":\"231\"},\"PeriodicalIF\":7.6000,\"publicationDate\":\"2024-10-19\",\"publicationTypes\":\"Journal Article\",\"fieldsOfStudy\":null,\"isOpenAccess\":false,\"openAccessPdf\":\"https://www.ncbi.nlm.nih.gov/pmc/articles/PMC11490051/pdf/\",\"citationCount\":\"0\",\"resultStr\":null,\"platform\":\"Semanticscholar\",\"paperid\":null,\"PeriodicalName\":\"Alzheimer's Research & Therapy\",\"FirstCategoryId\":\"3\",\"ListUrlMain\":\"https://doi.org/10.1186/s13195-024-01593-7\",\"RegionNum\":1,\"RegionCategory\":\"医学\",\"ArticlePicture\":[],\"TitleCN\":null,\"AbstractTextCN\":null,\"PMCID\":null,\"EPubDate\":\"\",\"PubModel\":\"\",\"JCR\":\"Q1\",\"JCRName\":\"CLINICAL NEUROLOGY\",\"Score\":null,\"Total\":0}","platform":"Semanticscholar","paperid":null,"PeriodicalName":"Alzheimer's Research & Therapy","FirstCategoryId":"3","ListUrlMain":"https://doi.org/10.1186/s13195-024-01593-7","RegionNum":1,"RegionCategory":"医学","ArticlePicture":[],"TitleCN":null,"AbstractTextCN":null,"PMCID":null,"EPubDate":"","PubModel":"","JCR":"Q1","JCRName":"CLINICAL NEUROLOGY","Score":null,"Total":0}
引用次数: 0

摘要

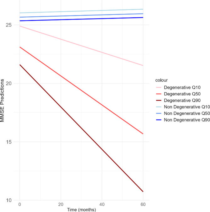
背景:对部分研究队列的分析强调了血浆神经丝蛋白(NfL)与横断面认知障碍和纵断面认知能力下降之间的联系。然而,这些研究结果在临床实践中的应用并不一致。尽管血浆 NfL 蛋白具有潜在的预后意义,但它在日常临床实践中对未经筛选的认知功能障碍患者的作用在很大程度上仍未得到探讨:这项回顾性、横断面和纵向单中心研究共纳入了320名阿尔茨海默病([AD],n = 158)、路易体痴呆([DLB],n = 30)、额颞叶痴呆([FTD],n = 32)、非神经退行性疾病([NND],n = 59)或主观认知能力下降([SCD],n = 41)患者。血浆 NfL 水平在 Simoa 平台上进行基线测量。AD、DLB和FTD患者也作为 "退行性疾病 "亚组进行分析,而SCD和NND则作为 "非退行性疾病 "亚组进行分组。我们评估了血浆 NfL 水平与横断面认知表现(包括总体认知和六个特定认知领域)之间的关系。239名患者中的一部分接受了长达60个月的随访小型精神状态检查(MMSE)。根据年龄、教育程度、肾小球滤过率和体重指数对模型进行了调整:在320名患者中,基线血浆NfL水平与总体认知能力呈负相关(β=-1.28 (-1.81 ; -0.75) P PlasmaNfLxTime=-0.15 (-0.26 ; -0.04),P = 0.006),在神经退行性疾病亚组中也是如此(βPlasmaNfLxTime=-0.21 (-0.37 ; -0.06),P = 0.007),但在非神经退行性疾病亚组中并非如此:在我们的临床队列中,血浆NfL与神经退行性痴呆症患者认知能力下降速度加快有关,这与研究队列中获得的数据相吻合。然而,血浆NfL并不能预测无神经退行性疾病患者认知能力的加速衰退,这表明NfL可用作神经退行性疾病的特异性预测生物标志物。
本文章由计算机程序翻译,如有差异,请以英文原文为准。

Plasma neurofilament light chain as prognostic marker of cognitive decline in neurodegenerative diseases, a clinical setting study.

Plasma neurofilament light chain as prognostic marker of cognitive decline in neurodegenerative diseases, a clinical setting study.

Plasma neurofilament light chain as prognostic marker of cognitive decline in neurodegenerative diseases, a clinical setting study.

Plasma neurofilament light chain as prognostic marker of cognitive decline in neurodegenerative diseases, a clinical setting study.

Background: Analysis of selected research cohorts has highlighted an association between plasma neurofilament light (NfL) protein and cross-sectional cognitive impairment as well as longitudinal cognitive decline. However, the findings have yielded inconsistent results regarding its possible application in clinical practice. Despite its potential prognostic significance, the role of plasma NfL in daily clinical practice with unselected patients suffering from cognitive impairment remains largely unexplored.

Methods: This retrospective, cross-sectional and longitudinal monocentric study enrolled 320 patients with Alzheimer's disease ([AD], n = 158), dementia with Lewy body ([DLB], n = 30), frontotemporal dementia ([FTD], n = 32), non-neurodegenerative diseases ([NND], n = 59) or subjective cognitive decline ([SCD], n = 41). Plasma NfL levels were measured at baseline on the Simoa platform. AD, DLB, and FTD patients were also analyzed altogether as a 'degenerative conditions' subgroup, whereas SCD and NND were grouped as a 'non-degenerative conditions' subgroup. We assessed the relationship between plasma NfL levels and cross-sectional cognitive performance, including global cognition and six specific cognitive domains. A subset of 239 patients had follow-up mini-mental state examinations (MMSE) up to 60 months. Models were adjusted on age, education level, glomerular filtration rate and body mass index.

Results: In 320 patients, baseline plasma NfL levels were negatively associated with global cognition (β=-1.28 (-1.81 ; -0.75) P < 0.001), memory (β=-1.48 (-2.38 ; -0.59), P = 0.001), language (β=-1.72(-2.49 ; -0.95) P < 0.001), praxis (β=-2.02 (-2.91 ; -1.13) P < 0.001) and executive functions (β=-0.81, P < 0.001). Across diagnosis, plasma NfL levels were negatively associated with cross-sectional global cognition in all but the SCD subgroup, specifically with executive functions and memory in AD (respectively β=-0.71(-1.21 ; -0.211), P = 0.005 and β=-1.29 (-2.17 ; -0.42), P = 0.004), and with attention in LBD (β=-0.81(-1.16 ; -0.002), P = 0.03). Linear mixed-effects models showed that plasma NfL predicted MMSE decline in the global population (βPlasmaNfLxTime=-0.15 (-0.26 ; -0.04), P = 0.006), as in the neurodegenerative condition subgroup (βPlasmaNfLxTime=-0.21 (-0.37 ; - 0.06), P = 0.007), but not in non-neurodegenerative condition subgroup.

Conclusion: In our clinical cohort, plasma NfL was associated with faster cognitive decline in neurodegenerative dementia, which corroborates data obtained in research cohorts. Yet, plasma NfL was not predictive of accelerated cognitive decline in individuals without neurodegeneration, suggesting its use as a neurodegeneration-specific predictive biomarker.

求助全文
通过发布文献求助,成功后即可免费获取论文全文。 去求助
来源期刊
Alzheimer's Research & Therapy
Alzheimer's Research & Therapy 医学-神经病学
CiteScore
13.10
自引率
3.30%
发文量
172
审稿时长
>12 weeks
期刊介绍: Alzheimer's Research & Therapy is an international peer-reviewed journal that focuses on translational research into Alzheimer's disease and other neurodegenerative diseases. It publishes open-access basic research, clinical trials, drug discovery and development studies, and epidemiologic studies. The journal also includes reviews, viewpoints, commentaries, debates, and reports. All articles published in Alzheimer's Research & Therapy are included in several reputable databases such as CAS, Current contents, DOAJ, Embase, Journal Citation Reports/Science Edition, MEDLINE, PubMed, PubMed Central, Science Citation Index Expanded (Web of Science) and Scopus.
×
引用
GB/T 7714-2015
复制
MLA
复制
APA
复制
导出至
BibTeX EndNote RefMan NoteFirst NoteExpress
×
提示
您的信息不完整,为了账户安全,请先补充。
现在去补充
×
提示
您因"违规操作"
具体请查看互助需知
我知道了
×
提示
确定
请完成安全验证×
copy
已复制链接
快去分享给好友吧!
我知道了
右上角分享
点击右上角分享
0
联系我们:info@booksci.cn Book学术提供免费学术资源搜索服务,方便国内外学者检索中英文文献。致力于提供最便捷和优质的服务体验。 Copyright © 2023 布克学术 All rights reserved.
京ICP备2023020795号-1
ghs 京公网安备 11010802042870号
Book学术文献互助
Book学术文献互助群
群 号:604180095
Book学术官方微信