FBXW4 在胶质瘤进展和预后中的关键作用

IF 2.1 4区 生物学 Q4 GENETICS & HEREDITY
Genetics research Pub Date : 2024-09-30 eCollection Date: 2024-01-01 DOI:10.1155/2024/3005195
Kun Chen, Lei Pu, Yuzuo Hui
{"title":"FBXW4 在胶质瘤进展和预后中的关键作用","authors":"Kun Chen, Lei Pu, Yuzuo Hui","doi":"10.1155/2024/3005195","DOIUrl":null,"url":null,"abstract":"<p><strong>Backgrounds: </strong>Glioma stands as one of the most formidable brain tumor types, with patient outcomes remaining bleak even in the face of advancements in treatment modalities. FBXW4, a constituent of the F-box and WD repeat domain-containing protein family, is recognized for its participation in diverse cellular activities, including those related to tumor dynamics. Yet, the therapeutic relevance and specific role of FBXW4 in the context of glioma are not well defined. This study aims to elucidate the functional dynamics and significance of FBXW4 in glioma cases.</p><p><strong>Methods: </strong>This research undertook a comprehensive analysis of FBXW4's expression patterns and clinical relevance in glioma by harnessing data from the TCGA and GTEx databases.</p><p><strong>Results: </strong>The investigation revealed a distinct downregulation of FBXW4 in glioma tissues compared to normal brain counterparts, with a pronounced correlation between FBXW4 levels and disease severity. Intriguingly, FBXW4 expression inversely related to WHO tumor grades, with the most advanced grade IV gliomas exhibiting the lowest FBXW4 levels, whereas grade II tumors demonstrated the highest. Cases presenting with IDH1/2 mutations or 1p/19q codeletions were also associated with elevated FBXW4 levels. Furthermore, diminished FBXW4 expression aligned with an increased risk of mortality.</p><p><strong>Conclusions: </strong>The findings suggest that FBXW4 holds promise as a prognostic marker and a potential therapeutic avenue in glioma management. Nonetheless, future research is imperative to decode the intricate signaling pathways involving FBXW4 and to understand its broader clinical ramifications in glioma treatment paradigms.</p>","PeriodicalId":12778,"journal":{"name":"Genetics research","volume":"2024 ","pages":"3005195"},"PeriodicalIF":2.1000,"publicationDate":"2024-09-30","publicationTypes":"Journal Article","fieldsOfStudy":null,"isOpenAccess":false,"openAccessPdf":"https://www.ncbi.nlm.nih.gov/pmc/articles/PMC11458277/pdf/","citationCount":"0","resultStr":"{\"title\":\"Pivotal Role of FBXW4 in Glioma Progression and Prognosis.\",\"authors\":\"Kun Chen, Lei Pu, Yuzuo Hui\",\"doi\":\"10.1155/2024/3005195\",\"DOIUrl\":null,\"url\":null,\"abstract\":\"<p><strong>Backgrounds: </strong>Glioma stands as one of the most formidable brain tumor types, with patient outcomes remaining bleak even in the face of advancements in treatment modalities. FBXW4, a constituent of the F-box and WD repeat domain-containing protein family, is recognized for its participation in diverse cellular activities, including those related to tumor dynamics. Yet, the therapeutic relevance and specific role of FBXW4 in the context of glioma are not well defined. This study aims to elucidate the functional dynamics and significance of FBXW4 in glioma cases.</p><p><strong>Methods: </strong>This research undertook a comprehensive analysis of FBXW4's expression patterns and clinical relevance in glioma by harnessing data from the TCGA and GTEx databases.</p><p><strong>Results: </strong>The investigation revealed a distinct downregulation of FBXW4 in glioma tissues compared to normal brain counterparts, with a pronounced correlation between FBXW4 levels and disease severity. Intriguingly, FBXW4 expression inversely related to WHO tumor grades, with the most advanced grade IV gliomas exhibiting the lowest FBXW4 levels, whereas grade II tumors demonstrated the highest. Cases presenting with IDH1/2 mutations or 1p/19q codeletions were also associated with elevated FBXW4 levels. Furthermore, diminished FBXW4 expression aligned with an increased risk of mortality.</p><p><strong>Conclusions: </strong>The findings suggest that FBXW4 holds promise as a prognostic marker and a potential therapeutic avenue in glioma management. Nonetheless, future research is imperative to decode the intricate signaling pathways involving FBXW4 and to understand its broader clinical ramifications in glioma treatment paradigms.</p>\",\"PeriodicalId\":12778,\"journal\":{\"name\":\"Genetics research\",\"volume\":\"2024 \",\"pages\":\"3005195\"},\"PeriodicalIF\":2.1000,\"publicationDate\":\"2024-09-30\",\"publicationTypes\":\"Journal Article\",\"fieldsOfStudy\":null,\"isOpenAccess\":false,\"openAccessPdf\":\"https://www.ncbi.nlm.nih.gov/pmc/articles/PMC11458277/pdf/\",\"citationCount\":\"0\",\"resultStr\":null,\"platform\":\"Semanticscholar\",\"paperid\":null,\"PeriodicalName\":\"Genetics research\",\"FirstCategoryId\":\"99\",\"ListUrlMain\":\"https://doi.org/10.1155/2024/3005195\",\"RegionNum\":4,\"RegionCategory\":\"生物学\",\"ArticlePicture\":[],\"TitleCN\":null,\"AbstractTextCN\":null,\"PMCID\":null,\"EPubDate\":\"2024/1/1 0:00:00\",\"PubModel\":\"eCollection\",\"JCR\":\"Q4\",\"JCRName\":\"GENETICS & HEREDITY\",\"Score\":null,\"Total\":0}","platform":"Semanticscholar","paperid":null,"PeriodicalName":"Genetics research","FirstCategoryId":"99","ListUrlMain":"https://doi.org/10.1155/2024/3005195","RegionNum":4,"RegionCategory":"生物学","ArticlePicture":[],"TitleCN":null,"AbstractTextCN":null,"PMCID":null,"EPubDate":"2024/1/1 0:00:00","PubModel":"eCollection","JCR":"Q4","JCRName":"GENETICS & HEREDITY","Score":null,"Total":0}
引用次数: 0

摘要

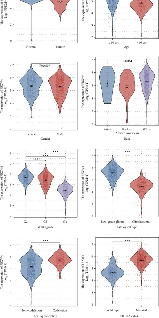
背景:胶质瘤是最可怕的脑肿瘤类型之一,即使在治疗方法不断进步的情况下,患者的预后仍然不容乐观。FBXW4 是 F-box 和 WD 重复结构域含蛋白家族的成员,因其参与多种细胞活动(包括与肿瘤动态相关的活动)而得到认可。然而,FBXW4 在胶质瘤中的治疗相关性和特定作用尚未得到很好的界定。本研究旨在阐明 FBXW4 在胶质瘤病例中的功能动态和意义:本研究利用TCGA和GTEx数据库的数据,对FBXW4在胶质瘤中的表达模式和临床意义进行了全面分析:调查发现,与正常脑组织相比,FBXW4在胶质瘤组织中明显下调,FBXW4水平与疾病严重程度之间存在明显的相关性。耐人寻味的是,FBXW4的表达与WHO肿瘤分级成反比,最晚期的IV级胶质瘤中FBXW4水平最低,而II级肿瘤中FBXW4水平最高。出现 IDH1/2 突变或 1p/19q 编码缺失的病例也与 FBXW4 水平升高有关。此外,FBXW4表达的减少与死亡风险的增加有关:研究结果表明,FBXW4有望成为胶质瘤预后标志物和潜在的治疗途径。尽管如此,未来的研究仍有必要解读涉及 FBXW4 的复杂信号通路,并了解其在胶质瘤治疗范例中更广泛的临床影响。
本文章由计算机程序翻译,如有差异,请以英文原文为准。

Pivotal Role of FBXW4 in Glioma Progression and Prognosis.

Pivotal Role of FBXW4 in Glioma Progression and Prognosis.

Pivotal Role of FBXW4 in Glioma Progression and Prognosis.

Backgrounds: Glioma stands as one of the most formidable brain tumor types, with patient outcomes remaining bleak even in the face of advancements in treatment modalities. FBXW4, a constituent of the F-box and WD repeat domain-containing protein family, is recognized for its participation in diverse cellular activities, including those related to tumor dynamics. Yet, the therapeutic relevance and specific role of FBXW4 in the context of glioma are not well defined. This study aims to elucidate the functional dynamics and significance of FBXW4 in glioma cases.

Methods: This research undertook a comprehensive analysis of FBXW4's expression patterns and clinical relevance in glioma by harnessing data from the TCGA and GTEx databases.

Results: The investigation revealed a distinct downregulation of FBXW4 in glioma tissues compared to normal brain counterparts, with a pronounced correlation between FBXW4 levels and disease severity. Intriguingly, FBXW4 expression inversely related to WHO tumor grades, with the most advanced grade IV gliomas exhibiting the lowest FBXW4 levels, whereas grade II tumors demonstrated the highest. Cases presenting with IDH1/2 mutations or 1p/19q codeletions were also associated with elevated FBXW4 levels. Furthermore, diminished FBXW4 expression aligned with an increased risk of mortality.

Conclusions: The findings suggest that FBXW4 holds promise as a prognostic marker and a potential therapeutic avenue in glioma management. Nonetheless, future research is imperative to decode the intricate signaling pathways involving FBXW4 and to understand its broader clinical ramifications in glioma treatment paradigms.

求助全文
通过发布文献求助,成功后即可免费获取论文全文。 去求助
来源期刊
Genetics research
Genetics research 生物-遗传学
自引率
6.70%
发文量
74
审稿时长
>12 weeks
期刊介绍: Genetics Research is a key forum for original research on all aspects of human and animal genetics, reporting key findings on genomes, genes, mutations and molecular interactions, extending out to developmental, evolutionary, and population genetics as well as ethical, legal and social aspects. Our aim is to lead to a better understanding of genetic processes in health and disease. The journal focuses on the use of new technologies, such as next generation sequencing together with bioinformatics analysis, to produce increasingly detailed views of how genes function in tissues and how these genes perform, individually or collectively, in normal development and disease aetiology. The journal publishes original work, review articles, short papers, computational studies, and novel methods and techniques in research covering humans and well-established genetic organisms. Key subject areas include medical genetics, genomics, human evolutionary and population genetics, bioinformatics, genetics of complex traits, molecular and developmental genetics, Evo-Devo, quantitative and statistical genetics, behavioural genetics and environmental genetics. The breadth and quality of research make the journal an invaluable resource for medical geneticists, molecular biologists, bioinformaticians and researchers involved in genetic basis of diseases, evolutionary and developmental studies.
×
引用
GB/T 7714-2015
复制
MLA
复制
APA
复制
导出至
BibTeX EndNote RefMan NoteFirst NoteExpress
×
提示
您的信息不完整,为了账户安全,请先补充。
现在去补充
×
提示
您因"违规操作"
具体请查看互助需知
我知道了
×
提示
确定
请完成安全验证×
copy
已复制链接
快去分享给好友吧!
我知道了
右上角分享
点击右上角分享
0
联系我们:info@booksci.cn Book学术提供免费学术资源搜索服务,方便国内外学者检索中英文文献。致力于提供最便捷和优质的服务体验。 Copyright © 2023 布克学术 All rights reserved.
京ICP备2023020795号-1
ghs 京公网安备 11010802042870号
Book学术文献互助
Book学术文献互助群
群 号:604180095
Book学术官方微信