英国临床实践研究数据链 (UK CPRD) GOLD 中他汀类药物使用者与非贝特类药物使用者的静脉血栓栓塞风险比较。

IF 3.2 2区 医学 Q1 PUBLIC, ENVIRONMENTAL & OCCUPATIONAL HEALTH
Clinical Epidemiology Pub Date : 2024-10-05 eCollection Date: 2024-01-01 DOI:10.2147/CLEP.S481448
Olulade Ayodele, Howard J Cabral, David D McManus, Susan S Jick
{"title":"英国临床实践研究数据链 (UK CPRD) GOLD 中他汀类药物使用者与非贝特类药物使用者的静脉血栓栓塞风险比较。","authors":"Olulade Ayodele, Howard J Cabral, David D McManus, Susan S Jick","doi":"10.2147/CLEP.S481448","DOIUrl":null,"url":null,"abstract":"<p><strong>Background: </strong>A substantial proportion of adults receive statins for treatment of hypercholesterolemia and cardiovascular risk, and statins have been found to improve outcomes in this patient population. However, studies have not consistently demonstrated the potential benefits of statins in preventing venous thromboembolism (VTE). Therefore, we conducted this study to investigate this association.</p><p><strong>Methods: </strong>We conducted a cohort analysis in a study sample comprised of 40-79-year-old patients with hyperlipidemia who received at least one fibrate or statin prescription between January 1995 and December 2018 in the United Kingdom Clinical Practice Research Datalink (CPRD) GOLD. We evaluated the association between statin use and incident unprovoked VTE, compared to fibrate use, an active comparator, using Kaplan-Meier (KM) analysis, Poisson regression (with and without propensity score matching), and inverse probability of treatment weights (IPTW) marginal structural models (MSM).</p><p><strong>Results: </strong>In this cohort of 166,292 patients with hyperlipidemia, 0.81% (N=1,353) developed incident unprovoked VTE. In analyses using the KM method, patients who received statins had a slightly lower risk of VTE compared to those who received fibrates (Log rank test: p=0.0524). The adjusted incident rate ratio (95% CI) for VTE, calculated using Poisson regression, controlling for serum cholesterol and other baseline covariates, in patients prescribed statins compared to fibrates was 0.77 (0.45-1.33) in the full cohort, 0.74 (0.38-1.45) in the propensity score matched analysis, and 0.51 (95% conservative CI: 0.34-0.76) in the IPTW MSM analysis.</p><p><strong>Conclusion: </strong>While the magnitude of effect varied across the different analytic methods, there is consistent evidence for a protective effect of statin use on the occurrence of unprovoked VTE.</p>","PeriodicalId":10362,"journal":{"name":"Clinical Epidemiology","volume":"16 ","pages":"683-697"},"PeriodicalIF":3.2000,"publicationDate":"2024-10-05","publicationTypes":"Journal Article","fieldsOfStudy":null,"isOpenAccess":false,"openAccessPdf":"https://www.ncbi.nlm.nih.gov/pmc/articles/PMC11463176/pdf/","citationCount":"0","resultStr":"{\"title\":\"Risk of Venous Thromboembolism in Statin Users Compared to Fibrate Users in the United Kingdom Clinical Practice Research Datalink (UK CPRD) GOLD.\",\"authors\":\"Olulade Ayodele, Howard J Cabral, David D McManus, Susan S Jick\",\"doi\":\"10.2147/CLEP.S481448\",\"DOIUrl\":null,\"url\":null,\"abstract\":\"<p><strong>Background: </strong>A substantial proportion of adults receive statins for treatment of hypercholesterolemia and cardiovascular risk, and statins have been found to improve outcomes in this patient population. However, studies have not consistently demonstrated the potential benefits of statins in preventing venous thromboembolism (VTE). Therefore, we conducted this study to investigate this association.</p><p><strong>Methods: </strong>We conducted a cohort analysis in a study sample comprised of 40-79-year-old patients with hyperlipidemia who received at least one fibrate or statin prescription between January 1995 and December 2018 in the United Kingdom Clinical Practice Research Datalink (CPRD) GOLD. We evaluated the association between statin use and incident unprovoked VTE, compared to fibrate use, an active comparator, using Kaplan-Meier (KM) analysis, Poisson regression (with and without propensity score matching), and inverse probability of treatment weights (IPTW) marginal structural models (MSM).</p><p><strong>Results: </strong>In this cohort of 166,292 patients with hyperlipidemia, 0.81% (N=1,353) developed incident unprovoked VTE. In analyses using the KM method, patients who received statins had a slightly lower risk of VTE compared to those who received fibrates (Log rank test: p=0.0524). The adjusted incident rate ratio (95% CI) for VTE, calculated using Poisson regression, controlling for serum cholesterol and other baseline covariates, in patients prescribed statins compared to fibrates was 0.77 (0.45-1.33) in the full cohort, 0.74 (0.38-1.45) in the propensity score matched analysis, and 0.51 (95% conservative CI: 0.34-0.76) in the IPTW MSM analysis.</p><p><strong>Conclusion: </strong>While the magnitude of effect varied across the different analytic methods, there is consistent evidence for a protective effect of statin use on the occurrence of unprovoked VTE.</p>\",\"PeriodicalId\":10362,\"journal\":{\"name\":\"Clinical Epidemiology\",\"volume\":\"16 \",\"pages\":\"683-697\"},\"PeriodicalIF\":3.2000,\"publicationDate\":\"2024-10-05\",\"publicationTypes\":\"Journal Article\",\"fieldsOfStudy\":null,\"isOpenAccess\":false,\"openAccessPdf\":\"https://www.ncbi.nlm.nih.gov/pmc/articles/PMC11463176/pdf/\",\"citationCount\":\"0\",\"resultStr\":null,\"platform\":\"Semanticscholar\",\"paperid\":null,\"PeriodicalName\":\"Clinical Epidemiology\",\"FirstCategoryId\":\"3\",\"ListUrlMain\":\"https://doi.org/10.2147/CLEP.S481448\",\"RegionNum\":2,\"RegionCategory\":\"医学\",\"ArticlePicture\":[],\"TitleCN\":null,\"AbstractTextCN\":null,\"PMCID\":null,\"EPubDate\":\"2024/1/1 0:00:00\",\"PubModel\":\"eCollection\",\"JCR\":\"Q1\",\"JCRName\":\"PUBLIC, ENVIRONMENTAL & OCCUPATIONAL HEALTH\",\"Score\":null,\"Total\":0}","platform":"Semanticscholar","paperid":null,"PeriodicalName":"Clinical Epidemiology","FirstCategoryId":"3","ListUrlMain":"https://doi.org/10.2147/CLEP.S481448","RegionNum":2,"RegionCategory":"医学","ArticlePicture":[],"TitleCN":null,"AbstractTextCN":null,"PMCID":null,"EPubDate":"2024/1/1 0:00:00","PubModel":"eCollection","JCR":"Q1","JCRName":"PUBLIC, ENVIRONMENTAL & OCCUPATIONAL HEALTH","Score":null,"Total":0}
引用次数: 0

摘要

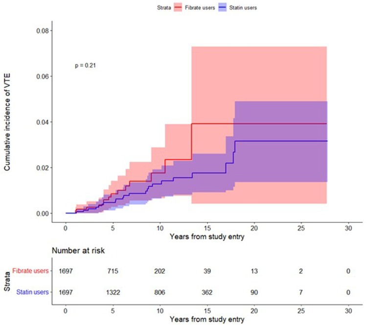
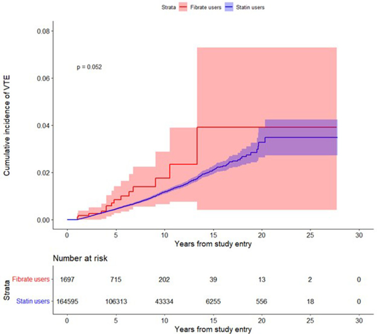
背景:相当一部分成年人接受他汀类药物治疗高胆固醇血症和心血管风险,研究发现他汀类药物可改善这类患者的预后。然而,研究并未一致证明他汀类药物在预防静脉血栓栓塞(VTE)方面的潜在益处。因此,我们开展了这项研究来调查这种关联:我们对英国临床实践研究数据链(CPRD)GOLD 中 1995 年 1 月至 2018 年 12 月期间至少接受过一次纤维素类药物或他汀类药物处方的 40-79 岁高脂血症患者样本进行了队列分析。我们采用卡普兰-梅耶(KM)分析、泊松回归(有倾向得分匹配和无倾向得分匹配)和治疗权重反向概率(IPTW)边际结构模型(MSM),评估了他汀类药物的使用与非诱发性 VTE 事件之间的关联:在这组 166292 名高脂血症患者中,0.81%(1353 人)发生了无诱因 VTE。在使用 KM 方法进行的分析中,与服用纤维素类药物的患者相比,服用他汀类药物的患者发生 VTE 的风险略低(对数秩检验:P=0.0524)。在控制血清胆固醇和其他基线协变量的情况下,使用泊松回归计算出的他汀类药物与纤维素类药物处方患者的调整后 VTE 发生率比(95% CI)分别为:全队列为 0.77(0.45-1.33),倾向得分匹配分析为 0.74(0.38-1.45),IPTW MSM 分析为 0.51(95% 保守 CI:0.34-0.76):虽然不同分析方法的影响程度不同,但有一致的证据表明使用他汀类药物对无诱因 VTE 的发生具有保护作用。
本文章由计算机程序翻译,如有差异,请以英文原文为准。

Risk of Venous Thromboembolism in Statin Users Compared to Fibrate Users in the United Kingdom Clinical Practice Research Datalink (UK CPRD) GOLD.

Risk of Venous Thromboembolism in Statin Users Compared to Fibrate Users in the United Kingdom Clinical Practice Research Datalink (UK CPRD) GOLD.

Risk of Venous Thromboembolism in Statin Users Compared to Fibrate Users in the United Kingdom Clinical Practice Research Datalink (UK CPRD) GOLD.

Background: A substantial proportion of adults receive statins for treatment of hypercholesterolemia and cardiovascular risk, and statins have been found to improve outcomes in this patient population. However, studies have not consistently demonstrated the potential benefits of statins in preventing venous thromboembolism (VTE). Therefore, we conducted this study to investigate this association.

Methods: We conducted a cohort analysis in a study sample comprised of 40-79-year-old patients with hyperlipidemia who received at least one fibrate or statin prescription between January 1995 and December 2018 in the United Kingdom Clinical Practice Research Datalink (CPRD) GOLD. We evaluated the association between statin use and incident unprovoked VTE, compared to fibrate use, an active comparator, using Kaplan-Meier (KM) analysis, Poisson regression (with and without propensity score matching), and inverse probability of treatment weights (IPTW) marginal structural models (MSM).

Results: In this cohort of 166,292 patients with hyperlipidemia, 0.81% (N=1,353) developed incident unprovoked VTE. In analyses using the KM method, patients who received statins had a slightly lower risk of VTE compared to those who received fibrates (Log rank test: p=0.0524). The adjusted incident rate ratio (95% CI) for VTE, calculated using Poisson regression, controlling for serum cholesterol and other baseline covariates, in patients prescribed statins compared to fibrates was 0.77 (0.45-1.33) in the full cohort, 0.74 (0.38-1.45) in the propensity score matched analysis, and 0.51 (95% conservative CI: 0.34-0.76) in the IPTW MSM analysis.

Conclusion: While the magnitude of effect varied across the different analytic methods, there is consistent evidence for a protective effect of statin use on the occurrence of unprovoked VTE.

求助全文
通过发布文献求助,成功后即可免费获取论文全文。 去求助
来源期刊
Clinical Epidemiology
Clinical Epidemiology Medicine-Epidemiology
CiteScore
6.30
自引率
5.10%
发文量
169
审稿时长
16 weeks
期刊介绍: Clinical Epidemiology is an international, peer reviewed, open access journal. Clinical Epidemiology focuses on the application of epidemiological principles and questions relating to patients and clinical care in terms of prevention, diagnosis, prognosis, and treatment. Clinical Epidemiology welcomes papers covering these topics in form of original research and systematic reviews. Clinical Epidemiology has a special interest in international electronic medical patient records and other routine health care data, especially as applied to safety of medical interventions, clinical utility of diagnostic procedures, understanding short- and long-term clinical course of diseases, clinical epidemiological and biostatistical methods, and systematic reviews. When considering submission of a paper utilizing publicly-available data, authors should ensure that such studies add significantly to the body of knowledge and that they use appropriate validated methods for identifying health outcomes. The journal has launched special series describing existing data sources for clinical epidemiology, international health care systems and validation studies of algorithms based on databases and registries.
×
引用
GB/T 7714-2015
复制
MLA
复制
APA
复制
导出至
BibTeX EndNote RefMan NoteFirst NoteExpress
×
提示
您的信息不完整,为了账户安全,请先补充。
现在去补充
×
提示
您因"违规操作"
具体请查看互助需知
我知道了
×
提示
确定
请完成安全验证×
copy
已复制链接
快去分享给好友吧!
我知道了
右上角分享
点击右上角分享
0
联系我们:info@booksci.cn Book学术提供免费学术资源搜索服务,方便国内外学者检索中英文文献。致力于提供最便捷和优质的服务体验。 Copyright © 2023 布克学术 All rights reserved.
京ICP备2023020795号-1
ghs 京公网安备 11010802042870号
Book学术文献互助
Book学术文献互助群
群 号:604180095
Book学术官方微信