埃及伊斯梅利亚围绝经期和绝经后妇女自我感觉心血管疾病风险的准确性以及预测风险低估的因素。

Q1 Nursing
Mirella Youssef Tawfik, Hanan H Soliman, Zeinab F Abdel-Fatah
{"title":"埃及伊斯梅利亚围绝经期和绝经后妇女自我感觉心血管疾病风险的准确性以及预测风险低估的因素。","authors":"Mirella Youssef Tawfik, Hanan H Soliman, Zeinab F Abdel-Fatah","doi":"10.1186/s42506-024-00170-y","DOIUrl":null,"url":null,"abstract":"<p><strong>Background: </strong>Cardiovascular disease (CVD) is the leading cause of death globally, with women at higher risk after menopause. This increased risk is attributed to both aging and hormonal changes. Prior research has established a link between CVD risk perception and adopting healthy behaviors to prevent CVD. This study aimed to assess the accuracy of self-perceived CVD risk in perimenopausal and postmenopausal women, and to identify factors that predict CVD risk underestimation among them.</p><p><strong>Methods: </strong>A cross-sectional study was conducted in the administrative sectors of Suez Canal University campus in Ismailia, Egypt, over a period of eight months starting in July 2022. A total of 390 eligible women (employees and workers) were randomly selected. Participants were interviewed to obtain data on demographics, medical history, self-perceived risk of CVD, self-perceived general health, awareness of factors that increase the risk of developing CVD, perceived stress, health literacy, numeracy, and self-perceived 10-year risk of developing major cardiovascular events. They also underwent measurements of blood pressure, weight, and height. The updated 2019 WHO/CVD risk non-laboratory-based prediction chart for the North Africa and Middle East Region was used to predict the 10-year risk of major cardiovascular events for the study participants. Risk accuracy was measured by comparing self-perceived CVD risk with predicted CVD risk.</p><p><strong>Results: </strong>The ratio of self-perceived to predicted moderate/high CVD risk was 27.7% to 44.3%, respectively. The accuracy of CVD risk perception was 68.2%. Kappa analysis results showed fair and significant agreement between self-perceived and predicted CVD risk (kappa ± SE = 35.9 ± 4.1%, p < 0 .001). The proportion of women who underestimated their risks was 24.1%. Of those in the high-risk group, 93.3% underestimated their CVD risk, compared to 50.6% in the moderate-risk group. Factors that significantly predicted CVD risk underestimation included being married (aOR 14.5; 95% CI 1.4-149.9), low income (aOR 2.321; 95% CI 1.09-4.909), high BMI (aOR 4.78; 95% CI 1.9-11.9), hypertension (aOR 3.5; 95% CI 2-6.2), and old age (aOR 1.46; 95% CI 1.3-1.6).</p><p><strong>Conclusions: </strong>Approximately one-third of our study participants misperceived their CVD risk; of those who did, 75.8% underestimated it. Marital status, old age, low income, high BMI, and hypertension strongly predicted CVD risk underestimation. These findings identified the menopausal women subgroups that could benefit from targeted health interventions designed to reduce CVD risk underestimation and improve risk accuracy.</p>","PeriodicalId":22819,"journal":{"name":"The Journal of the Egyptian Public Health Association","volume":"99 1","pages":"24"},"PeriodicalIF":0.0000,"publicationDate":"2024-10-01","publicationTypes":"Journal Article","fieldsOfStudy":null,"isOpenAccess":false,"openAccessPdf":"https://www.ncbi.nlm.nih.gov/pmc/articles/PMC11442895/pdf/","citationCount":"0","resultStr":"{\"title\":\"Accuracy of self-perceived cardiovascular disease risk and factors predicting risk underestimation in perimenopausal and postmenopausal women in Ismailia, Egypt.\",\"authors\":\"Mirella Youssef Tawfik, Hanan H Soliman, Zeinab F Abdel-Fatah\",\"doi\":\"10.1186/s42506-024-00170-y\",\"DOIUrl\":null,\"url\":null,\"abstract\":\"<p><strong>Background: </strong>Cardiovascular disease (CVD) is the leading cause of death globally, with women at higher risk after menopause. This increased risk is attributed to both aging and hormonal changes. Prior research has established a link between CVD risk perception and adopting healthy behaviors to prevent CVD. This study aimed to assess the accuracy of self-perceived CVD risk in perimenopausal and postmenopausal women, and to identify factors that predict CVD risk underestimation among them.</p><p><strong>Methods: </strong>A cross-sectional study was conducted in the administrative sectors of Suez Canal University campus in Ismailia, Egypt, over a period of eight months starting in July 2022. A total of 390 eligible women (employees and workers) were randomly selected. Participants were interviewed to obtain data on demographics, medical history, self-perceived risk of CVD, self-perceived general health, awareness of factors that increase the risk of developing CVD, perceived stress, health literacy, numeracy, and self-perceived 10-year risk of developing major cardiovascular events. They also underwent measurements of blood pressure, weight, and height. The updated 2019 WHO/CVD risk non-laboratory-based prediction chart for the North Africa and Middle East Region was used to predict the 10-year risk of major cardiovascular events for the study participants. Risk accuracy was measured by comparing self-perceived CVD risk with predicted CVD risk.</p><p><strong>Results: </strong>The ratio of self-perceived to predicted moderate/high CVD risk was 27.7% to 44.3%, respectively. The accuracy of CVD risk perception was 68.2%. Kappa analysis results showed fair and significant agreement between self-perceived and predicted CVD risk (kappa ± SE = 35.9 ± 4.1%, p < 0 .001). The proportion of women who underestimated their risks was 24.1%. Of those in the high-risk group, 93.3% underestimated their CVD risk, compared to 50.6% in the moderate-risk group. Factors that significantly predicted CVD risk underestimation included being married (aOR 14.5; 95% CI 1.4-149.9), low income (aOR 2.321; 95% CI 1.09-4.909), high BMI (aOR 4.78; 95% CI 1.9-11.9), hypertension (aOR 3.5; 95% CI 2-6.2), and old age (aOR 1.46; 95% CI 1.3-1.6).</p><p><strong>Conclusions: </strong>Approximately one-third of our study participants misperceived their CVD risk; of those who did, 75.8% underestimated it. Marital status, old age, low income, high BMI, and hypertension strongly predicted CVD risk underestimation. These findings identified the menopausal women subgroups that could benefit from targeted health interventions designed to reduce CVD risk underestimation and improve risk accuracy.</p>\",\"PeriodicalId\":22819,\"journal\":{\"name\":\"The Journal of the Egyptian Public Health Association\",\"volume\":\"99 1\",\"pages\":\"24\"},\"PeriodicalIF\":0.0000,\"publicationDate\":\"2024-10-01\",\"publicationTypes\":\"Journal Article\",\"fieldsOfStudy\":null,\"isOpenAccess\":false,\"openAccessPdf\":\"https://www.ncbi.nlm.nih.gov/pmc/articles/PMC11442895/pdf/\",\"citationCount\":\"0\",\"resultStr\":null,\"platform\":\"Semanticscholar\",\"paperid\":null,\"PeriodicalName\":\"The Journal of the Egyptian Public Health Association\",\"FirstCategoryId\":\"1085\",\"ListUrlMain\":\"https://doi.org/10.1186/s42506-024-00170-y\",\"RegionNum\":0,\"RegionCategory\":null,\"ArticlePicture\":[],\"TitleCN\":null,\"AbstractTextCN\":null,\"PMCID\":null,\"EPubDate\":\"\",\"PubModel\":\"\",\"JCR\":\"Q1\",\"JCRName\":\"Nursing\",\"Score\":null,\"Total\":0}","platform":"Semanticscholar","paperid":null,"PeriodicalName":"The Journal of the Egyptian Public Health Association","FirstCategoryId":"1085","ListUrlMain":"https://doi.org/10.1186/s42506-024-00170-y","RegionNum":0,"RegionCategory":null,"ArticlePicture":[],"TitleCN":null,"AbstractTextCN":null,"PMCID":null,"EPubDate":"","PubModel":"","JCR":"Q1","JCRName":"Nursing","Score":null,"Total":0}
引用次数: 0

摘要

背景:心血管疾病(CVD)是导致全球死亡的主要原因,女性绝经后的风险更高。这种风险的增加可归因于衰老和荷尔蒙的变化。先前的研究已经确定了心血管疾病风险认知与采取健康行为预防心血管疾病之间的联系。本研究旨在评估围绝经期和绝经后妇女自我感知心血管疾病风险的准确性,并确定预测她们低估心血管疾病风险的因素:从 2022 年 7 月开始,在埃及伊斯梅利亚苏伊士运河大学校园的行政区域内进行了为期 8 个月的横断面研究。共随机抽取了 390 名符合条件的女性(雇员和工人)。对参与者进行了访谈,以获得有关人口统计学、病史、自我感觉的心血管疾病风险、自我感觉的总体健康状况、对增加心血管疾病风险因素的认识、感觉到的压力、健康素养、计算能力以及自我感觉的 10 年重大心血管事件风险等方面的数据。他们还接受了血压、体重和身高测量。研究人员使用最新的 2019 年北非和中东地区世界卫生组织/心血管疾病风险非实验室预测图来预测 10 年内发生重大心血管事件的风险。通过比较自我感觉的心血管疾病风险和预测的心血管疾病风险来衡量风险准确性:自我感觉的中度/高度心血管疾病风险与预测的中度/高度心血管疾病风险之比分别为 27.7% 和 44.3%。心血管疾病风险感知的准确率为 68.2%。Kappa分析结果显示,自我感觉与预测的心血管疾病风险之间存在相当大的一致性(kappa ± SE = 35.9 ± 4.1%,p 结论:我们的研究发现,约有三分之一的受试者对心血管疾病风险的自我感觉与预测之间存在相当大的一致性:我们的研究参与者中约有三分之一的人错误地估计了自己的心血管疾病风险;在错误估计的人中,75.8%的人低估了自己的心血管疾病风险。婚姻状况、高龄、低收入、高体重指数和高血压是低估心血管疾病风险的主要原因。这些发现确定了更年期妇女亚群,这些亚群可以从旨在减少心血管疾病风险低估和提高风险准确性的有针对性的健康干预中受益。
本文章由计算机程序翻译,如有差异,请以英文原文为准。

Accuracy of self-perceived cardiovascular disease risk and factors predicting risk underestimation in perimenopausal and postmenopausal women in Ismailia, Egypt.

Accuracy of self-perceived cardiovascular disease risk and factors predicting risk underestimation in perimenopausal and postmenopausal women in Ismailia, Egypt.

Background: Cardiovascular disease (CVD) is the leading cause of death globally, with women at higher risk after menopause. This increased risk is attributed to both aging and hormonal changes. Prior research has established a link between CVD risk perception and adopting healthy behaviors to prevent CVD. This study aimed to assess the accuracy of self-perceived CVD risk in perimenopausal and postmenopausal women, and to identify factors that predict CVD risk underestimation among them.

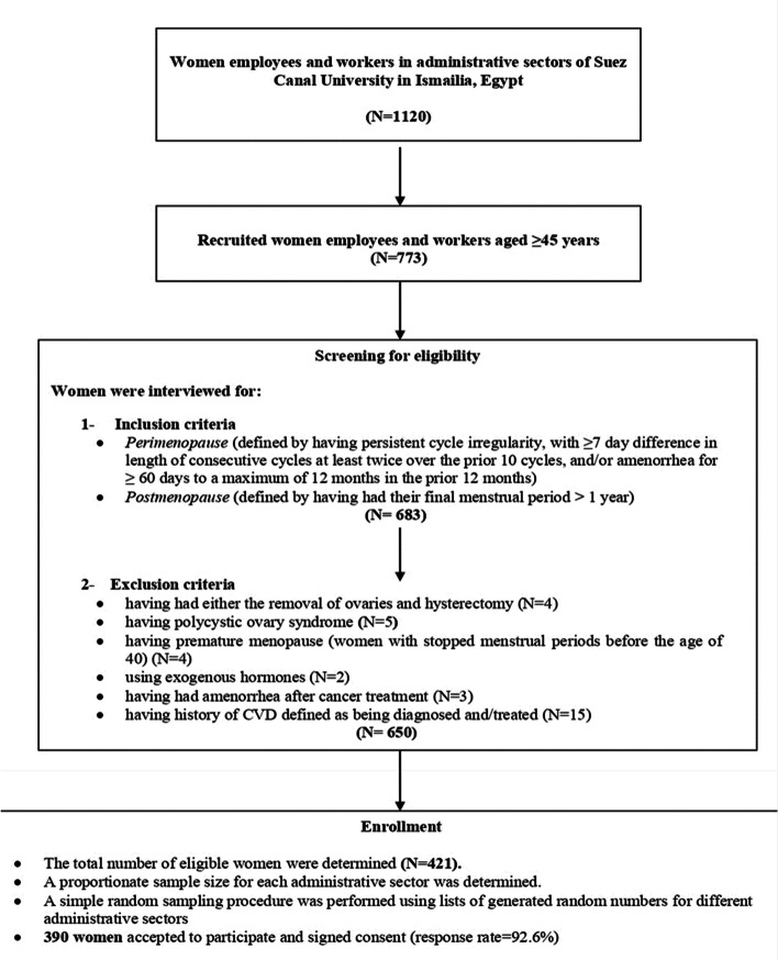
Methods: A cross-sectional study was conducted in the administrative sectors of Suez Canal University campus in Ismailia, Egypt, over a period of eight months starting in July 2022. A total of 390 eligible women (employees and workers) were randomly selected. Participants were interviewed to obtain data on demographics, medical history, self-perceived risk of CVD, self-perceived general health, awareness of factors that increase the risk of developing CVD, perceived stress, health literacy, numeracy, and self-perceived 10-year risk of developing major cardiovascular events. They also underwent measurements of blood pressure, weight, and height. The updated 2019 WHO/CVD risk non-laboratory-based prediction chart for the North Africa and Middle East Region was used to predict the 10-year risk of major cardiovascular events for the study participants. Risk accuracy was measured by comparing self-perceived CVD risk with predicted CVD risk.

Results: The ratio of self-perceived to predicted moderate/high CVD risk was 27.7% to 44.3%, respectively. The accuracy of CVD risk perception was 68.2%. Kappa analysis results showed fair and significant agreement between self-perceived and predicted CVD risk (kappa ± SE = 35.9 ± 4.1%, p < 0 .001). The proportion of women who underestimated their risks was 24.1%. Of those in the high-risk group, 93.3% underestimated their CVD risk, compared to 50.6% in the moderate-risk group. Factors that significantly predicted CVD risk underestimation included being married (aOR 14.5; 95% CI 1.4-149.9), low income (aOR 2.321; 95% CI 1.09-4.909), high BMI (aOR 4.78; 95% CI 1.9-11.9), hypertension (aOR 3.5; 95% CI 2-6.2), and old age (aOR 1.46; 95% CI 1.3-1.6).

Conclusions: Approximately one-third of our study participants misperceived their CVD risk; of those who did, 75.8% underestimated it. Marital status, old age, low income, high BMI, and hypertension strongly predicted CVD risk underestimation. These findings identified the menopausal women subgroups that could benefit from targeted health interventions designed to reduce CVD risk underestimation and improve risk accuracy.

求助全文
通过发布文献求助,成功后即可免费获取论文全文。 去求助
来源期刊
CiteScore
6.50
自引率
0.00%
发文量
25
审稿时长
10 weeks
期刊介绍: The journal accepts papers of original research which are not being considered for publication elsewhere and which contribute to the advancement of knowledge of Public Health at large
×
引用
GB/T 7714-2015
复制
MLA
复制
APA
复制
导出至
BibTeX EndNote RefMan NoteFirst NoteExpress
×
提示
您的信息不完整,为了账户安全,请先补充。
现在去补充
×
提示
您因"违规操作"
具体请查看互助需知
我知道了
×
提示
确定
请完成安全验证×
copy
已复制链接
快去分享给好友吧!
我知道了
右上角分享
点击右上角分享
0
联系我们:info@booksci.cn Book学术提供免费学术资源搜索服务,方便国内外学者检索中英文文献。致力于提供最便捷和优质的服务体验。 Copyright © 2023 布克学术 All rights reserved.
京ICP备2023020795号-1
ghs 京公网安备 11010802042870号
Book学术文献互助
Book学术文献互助群
群 号:604180095
Book学术官方微信