用可穿戴设备描述台湾新中老年人的生活方式:年龄与性别差异。

IF 3.5 2区 社会学 Q1 GERONTOLOGY
Chih-Liang Wang, Cheng-Xue Li, Sheng-Fu Liang
{"title":"用可穿戴设备描述台湾新中老年人的生活方式:年龄与性别差异。","authors":"Chih-Liang Wang, Cheng-Xue Li, Sheng-Fu Liang","doi":"10.1007/s10433-024-00824-y","DOIUrl":null,"url":null,"abstract":"<p><p>Studies of lifestyle through comprehensive objective and subjective measurements of health outcomes are lacking. An examination of lifestyle factors in middle-aged and older adults in terms of age, gender, and the interaction effect of age and gender from physiological and psychological perspectives are imperative. Recent advances in technology such as actigraphy have facilitated objective measurements. This exploratory study contributes to research on age and gender interactions on circadian rhythm, physical activity, sleep, and psychological variables by employing wrist accelerometers to measure behavioral circadian rhythm objectively and by using questionnaires to assess psychological status subjectively. The data were drawn from 218 participants aged 50 and older from the \"Middle-aged and older adults Chinese Health and Actigraphy in Taiwan (MOCHA-T)\". The results: (1) older adult group is associated with declined physical activity (MVPA time 79.9 min VS. 107.9 min, p = .002), worse sleep efficiency (78.1% VS. 81.9%, p = .008), and earlier lifestyle (Acrophase 14.19 h VS. 14.69 h, p = .01) comparing to middle-aged group. (2) Women have a more regular lifestyle (Interdaily stability 0.6 VS. 051, p < 0.001), higher physical activity (MVPA time 105.7 min VS. 79.3 min, p = .004), and better sleep efficiency (81.6% VS. 77.8%, p = .011) than men. (3) Significant age-by-gender interactions existed in life satisfaction (p = .025), relative amplitude (p = .016), and total wake time (p = .038). Furthermore, aging was associated with significant increases in life satisfaction among men as well as significant decreases in relative amplitude and reductions in the total wake time among women. In conclusion, aging exerted differential effects on life satisfaction in men as well as relative amplitude and the total wake time in women. This result highlights disparities in lifestyle arising from interconnected social and biological challenges.</p>","PeriodicalId":47766,"journal":{"name":"European Journal of Ageing","volume":"21 1","pages":"27"},"PeriodicalIF":3.5000,"publicationDate":"2024-09-28","publicationTypes":"Journal Article","fieldsOfStudy":null,"isOpenAccess":false,"openAccessPdf":"https://www.ncbi.nlm.nih.gov/pmc/articles/PMC11438744/pdf/","citationCount":"0","resultStr":"{\"title\":\"The lifestyle of new middle-aged and older adults in Taiwan described by wearable device: age and gender differences.\",\"authors\":\"Chih-Liang Wang, Cheng-Xue Li, Sheng-Fu Liang\",\"doi\":\"10.1007/s10433-024-00824-y\",\"DOIUrl\":null,\"url\":null,\"abstract\":\"<p><p>Studies of lifestyle through comprehensive objective and subjective measurements of health outcomes are lacking. An examination of lifestyle factors in middle-aged and older adults in terms of age, gender, and the interaction effect of age and gender from physiological and psychological perspectives are imperative. Recent advances in technology such as actigraphy have facilitated objective measurements. This exploratory study contributes to research on age and gender interactions on circadian rhythm, physical activity, sleep, and psychological variables by employing wrist accelerometers to measure behavioral circadian rhythm objectively and by using questionnaires to assess psychological status subjectively. The data were drawn from 218 participants aged 50 and older from the \\\"Middle-aged and older adults Chinese Health and Actigraphy in Taiwan (MOCHA-T)\\\". The results: (1) older adult group is associated with declined physical activity (MVPA time 79.9 min VS. 107.9 min, p = .002), worse sleep efficiency (78.1% VS. 81.9%, p = .008), and earlier lifestyle (Acrophase 14.19 h VS. 14.69 h, p = .01) comparing to middle-aged group. (2) Women have a more regular lifestyle (Interdaily stability 0.6 VS. 051, p < 0.001), higher physical activity (MVPA time 105.7 min VS. 79.3 min, p = .004), and better sleep efficiency (81.6% VS. 77.8%, p = .011) than men. (3) Significant age-by-gender interactions existed in life satisfaction (p = .025), relative amplitude (p = .016), and total wake time (p = .038). Furthermore, aging was associated with significant increases in life satisfaction among men as well as significant decreases in relative amplitude and reductions in the total wake time among women. In conclusion, aging exerted differential effects on life satisfaction in men as well as relative amplitude and the total wake time in women. This result highlights disparities in lifestyle arising from interconnected social and biological challenges.</p>\",\"PeriodicalId\":47766,\"journal\":{\"name\":\"European Journal of Ageing\",\"volume\":\"21 1\",\"pages\":\"27\"},\"PeriodicalIF\":3.5000,\"publicationDate\":\"2024-09-28\",\"publicationTypes\":\"Journal Article\",\"fieldsOfStudy\":null,\"isOpenAccess\":false,\"openAccessPdf\":\"https://www.ncbi.nlm.nih.gov/pmc/articles/PMC11438744/pdf/\",\"citationCount\":\"0\",\"resultStr\":null,\"platform\":\"Semanticscholar\",\"paperid\":null,\"PeriodicalName\":\"European Journal of Ageing\",\"FirstCategoryId\":\"90\",\"ListUrlMain\":\"https://doi.org/10.1007/s10433-024-00824-y\",\"RegionNum\":2,\"RegionCategory\":\"社会学\",\"ArticlePicture\":[],\"TitleCN\":null,\"AbstractTextCN\":null,\"PMCID\":null,\"EPubDate\":\"\",\"PubModel\":\"\",\"JCR\":\"Q1\",\"JCRName\":\"GERONTOLOGY\",\"Score\":null,\"Total\":0}","platform":"Semanticscholar","paperid":null,"PeriodicalName":"European Journal of Ageing","FirstCategoryId":"90","ListUrlMain":"https://doi.org/10.1007/s10433-024-00824-y","RegionNum":2,"RegionCategory":"社会学","ArticlePicture":[],"TitleCN":null,"AbstractTextCN":null,"PMCID":null,"EPubDate":"","PubModel":"","JCR":"Q1","JCRName":"GERONTOLOGY","Score":null,"Total":0}
引用次数: 0

摘要

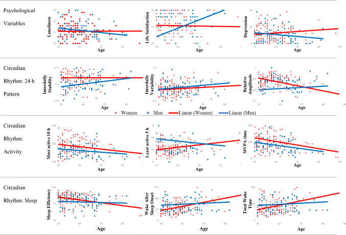
目前还缺乏通过对健康结果的客观和主观综合测量来研究生活方式。当务之急是从生理和心理角度,从年龄、性别以及年龄和性别的交互影响等方面对中老年人的生活方式因素进行研究。最近,行动记录仪等技术的进步为客观测量提供了便利。这项探索性研究通过使用腕式加速度计客观测量行为昼夜节律,并使用问卷主观评估心理状态,为研究年龄和性别对昼夜节律、身体活动、睡眠和心理变量的相互作用做出了贡献。数据来自于 "台湾中老年华人健康与行动测量(MOCHA-T)"的 218 名 50 岁及以上的参与者。结果显示:(1)与中年组相比,老年组的体力活动减少(MVPA 时间为 79.9 分钟 VS 107.9 分钟,p = .002),睡眠效率降低(78.1% VS 81.9%,p = .008),生活方式提前(Acrophase 14.19 h VS 14.69 h,p = .01)。(2)与中年组相比,女性的生活方式更有规律(日间稳定性 0.6 VS.051, p
本文章由计算机程序翻译,如有差异,请以英文原文为准。

The lifestyle of new middle-aged and older adults in Taiwan described by wearable device: age and gender differences.

The lifestyle of new middle-aged and older adults in Taiwan described by wearable device: age and gender differences.

The lifestyle of new middle-aged and older adults in Taiwan described by wearable device: age and gender differences.

Studies of lifestyle through comprehensive objective and subjective measurements of health outcomes are lacking. An examination of lifestyle factors in middle-aged and older adults in terms of age, gender, and the interaction effect of age and gender from physiological and psychological perspectives are imperative. Recent advances in technology such as actigraphy have facilitated objective measurements. This exploratory study contributes to research on age and gender interactions on circadian rhythm, physical activity, sleep, and psychological variables by employing wrist accelerometers to measure behavioral circadian rhythm objectively and by using questionnaires to assess psychological status subjectively. The data were drawn from 218 participants aged 50 and older from the "Middle-aged and older adults Chinese Health and Actigraphy in Taiwan (MOCHA-T)". The results: (1) older adult group is associated with declined physical activity (MVPA time 79.9 min VS. 107.9 min, p = .002), worse sleep efficiency (78.1% VS. 81.9%, p = .008), and earlier lifestyle (Acrophase 14.19 h VS. 14.69 h, p = .01) comparing to middle-aged group. (2) Women have a more regular lifestyle (Interdaily stability 0.6 VS. 051, p < 0.001), higher physical activity (MVPA time 105.7 min VS. 79.3 min, p = .004), and better sleep efficiency (81.6% VS. 77.8%, p = .011) than men. (3) Significant age-by-gender interactions existed in life satisfaction (p = .025), relative amplitude (p = .016), and total wake time (p = .038). Furthermore, aging was associated with significant increases in life satisfaction among men as well as significant decreases in relative amplitude and reductions in the total wake time among women. In conclusion, aging exerted differential effects on life satisfaction in men as well as relative amplitude and the total wake time in women. This result highlights disparities in lifestyle arising from interconnected social and biological challenges.

求助全文
通过发布文献求助,成功后即可免费获取论文全文。 去求助
来源期刊
CiteScore
6.50
自引率
7.90%
发文量
72
期刊介绍: The European Journal of Ageing: Social, Behavioural and Health Perspectives is an interdisciplinary journal devoted to the understanding of ageing in European societies and the world over. EJA publishes original articles on the social, behavioral and population health aspects of ageing and encourages an integrated approach between these aspects. Emphasis is put on publishing empirical research (including meta-analyses), but conceptual papers (including narrative reviews) and methodological contributions will also be considered. EJA welcomes expert opinions on critical issues in ageing. By stimulating communication between researchers and those using research findings, it aims to contribute to the formulation of better policies and the development of better practice in serving older adults. To further specify, with the term ''social'' is meant the full scope of social science of ageing related research from the micro to the macro level of analysis. With the term ''behavioural'' the full scope of psychological ageing research including life span approaches based on a range of age groups from young to old is envisaged. The term ''population health-related'' denotes social-epidemiological and public health oriented research including research on functional health in the widest possible sense.
×
引用
GB/T 7714-2015
复制
MLA
复制
APA
复制
导出至
BibTeX EndNote RefMan NoteFirst NoteExpress
×
提示
您的信息不完整,为了账户安全,请先补充。
现在去补充
×
提示
您因"违规操作"
具体请查看互助需知
我知道了
×
提示
确定
请完成安全验证×
copy
已复制链接
快去分享给好友吧!
我知道了
右上角分享
点击右上角分享
0
联系我们:info@booksci.cn Book学术提供免费学术资源搜索服务,方便国内外学者检索中英文文献。致力于提供最便捷和优质的服务体验。 Copyright © 2023 布克学术 All rights reserved.
京ICP备2023020795号-1
ghs 京公网安备 11010802042870号
Book学术文献互助
Book学术文献互助群
群 号:604180095
Book学术官方微信