比较慢性皮肤病患者的 EQ-5D-5L、PROPr、SF-6D 和 TTO 实用性。

IF 3 3区 医学 Q1 ECONOMICS
European Journal of Health Economics Pub Date : 2025-06-01 Epub Date: 2024-09-28 DOI:10.1007/s10198-024-01728-5
Ákos Szabó, Valentin Brodszky, Fanni Rencz
{"title":"比较慢性皮肤病患者的 EQ-5D-5L、PROPr、SF-6D 和 TTO 实用性。","authors":"Ákos Szabó, Valentin Brodszky, Fanni Rencz","doi":"10.1007/s10198-024-01728-5","DOIUrl":null,"url":null,"abstract":"<p><strong>Objectives: </strong>We aim to compare the measurement properties of three indirect (EQ-5D-5L, PROPr, SF-6D) and one direct (time trade-off, TTO) utility assessment methods in patients with chronic skin diseases.</p><p><strong>Methods: </strong>120 patients with physician-diagnosed chronic skin diseases (psoriasis 39%, atopic dermatitis 27%, acne 19%) completed a cross-sectional survey. Respondents completed the EQ-5D-5L, PROMIS-29+2 and SF-36v1 questionnaires and a 10-year TTO task for own current health. Utilities were computed using the US value sets. Ceiling, convergent and known-group validity were compared across the utilities derived with these four methods. Known-groups were defined based on general, physical and mental health. The agreement between utilities was assessed using intraclass correlation coefficients (ICC).</p><p><strong>Results: </strong>Mean utilities for the EQ-5D-5L, PROPr, SF-6D and TTO were 0.79, 0.47, 0.76 and 0.89. In corresponding order, the ceiling was 28%, 0%, 2% and 65%. The SF-6D showed excellent agreement with the EQ-5D-5L (ICC = 0.770). PROPr demonstrated poor agreement with the EQ-5D-5L (ICC = 0.381) and fair with SF-6D utilities (ICC = 0.445). TTO utilities showed poor agreement with indirectly assessed utilities (ICC = 0.058-0.242). The EQ-5D-5L better discriminated between known groups of general and physical health, while the SF-6D and PROPr outperformed the EQ-5D-5L for mental health problems.</p><p><strong>Conclusion: </strong>There is a great variability in utilities across the four methods in patients with chronic skin conditions. The EQ-5D-5L, despite its higher ceiling, appears to be the most efficient in discriminating between patient groups for physical health aspects. Our findings inform the choice of instrument for quality-adjusted life year calculations in cost-utility analyses.</p>","PeriodicalId":51416,"journal":{"name":"European Journal of Health Economics","volume":" ","pages":"627-639"},"PeriodicalIF":3.0000,"publicationDate":"2025-06-01","publicationTypes":"Journal Article","fieldsOfStudy":null,"isOpenAccess":false,"openAccessPdf":"https://www.ncbi.nlm.nih.gov/pmc/articles/PMC12126321/pdf/","citationCount":"0","resultStr":"{\"title\":\"Comparing EQ-5D-5L, PROPr, SF-6D and TTO utilities in patients with chronic skin diseases.\",\"authors\":\"Ákos Szabó, Valentin Brodszky, Fanni Rencz\",\"doi\":\"10.1007/s10198-024-01728-5\",\"DOIUrl\":null,\"url\":null,\"abstract\":\"<p><strong>Objectives: </strong>We aim to compare the measurement properties of three indirect (EQ-5D-5L, PROPr, SF-6D) and one direct (time trade-off, TTO) utility assessment methods in patients with chronic skin diseases.</p><p><strong>Methods: </strong>120 patients with physician-diagnosed chronic skin diseases (psoriasis 39%, atopic dermatitis 27%, acne 19%) completed a cross-sectional survey. Respondents completed the EQ-5D-5L, PROMIS-29+2 and SF-36v1 questionnaires and a 10-year TTO task for own current health. Utilities were computed using the US value sets. Ceiling, convergent and known-group validity were compared across the utilities derived with these four methods. Known-groups were defined based on general, physical and mental health. The agreement between utilities was assessed using intraclass correlation coefficients (ICC).</p><p><strong>Results: </strong>Mean utilities for the EQ-5D-5L, PROPr, SF-6D and TTO were 0.79, 0.47, 0.76 and 0.89. In corresponding order, the ceiling was 28%, 0%, 2% and 65%. The SF-6D showed excellent agreement with the EQ-5D-5L (ICC = 0.770). PROPr demonstrated poor agreement with the EQ-5D-5L (ICC = 0.381) and fair with SF-6D utilities (ICC = 0.445). TTO utilities showed poor agreement with indirectly assessed utilities (ICC = 0.058-0.242). The EQ-5D-5L better discriminated between known groups of general and physical health, while the SF-6D and PROPr outperformed the EQ-5D-5L for mental health problems.</p><p><strong>Conclusion: </strong>There is a great variability in utilities across the four methods in patients with chronic skin conditions. The EQ-5D-5L, despite its higher ceiling, appears to be the most efficient in discriminating between patient groups for physical health aspects. Our findings inform the choice of instrument for quality-adjusted life year calculations in cost-utility analyses.</p>\",\"PeriodicalId\":51416,\"journal\":{\"name\":\"European Journal of Health Economics\",\"volume\":\" \",\"pages\":\"627-639\"},\"PeriodicalIF\":3.0000,\"publicationDate\":\"2025-06-01\",\"publicationTypes\":\"Journal Article\",\"fieldsOfStudy\":null,\"isOpenAccess\":false,\"openAccessPdf\":\"https://www.ncbi.nlm.nih.gov/pmc/articles/PMC12126321/pdf/\",\"citationCount\":\"0\",\"resultStr\":null,\"platform\":\"Semanticscholar\",\"paperid\":null,\"PeriodicalName\":\"European Journal of Health Economics\",\"FirstCategoryId\":\"3\",\"ListUrlMain\":\"https://doi.org/10.1007/s10198-024-01728-5\",\"RegionNum\":3,\"RegionCategory\":\"医学\",\"ArticlePicture\":[],\"TitleCN\":null,\"AbstractTextCN\":null,\"PMCID\":null,\"EPubDate\":\"2024/9/28 0:00:00\",\"PubModel\":\"Epub\",\"JCR\":\"Q1\",\"JCRName\":\"ECONOMICS\",\"Score\":null,\"Total\":0}","platform":"Semanticscholar","paperid":null,"PeriodicalName":"European Journal of Health Economics","FirstCategoryId":"3","ListUrlMain":"https://doi.org/10.1007/s10198-024-01728-5","RegionNum":3,"RegionCategory":"医学","ArticlePicture":[],"TitleCN":null,"AbstractTextCN":null,"PMCID":null,"EPubDate":"2024/9/28 0:00:00","PubModel":"Epub","JCR":"Q1","JCRName":"ECONOMICS","Score":null,"Total":0}
引用次数: 0

摘要

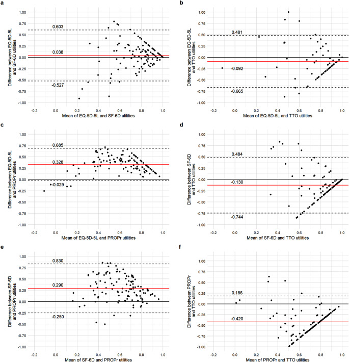
目的方法:120 名经医生诊断患有慢性皮肤病(银屑病 39%、特应性皮炎 27%、痤疮 19%)的患者完成了一项横断面调查。受访者填写了 EQ-5D-5L、PROMIS-29+2 和 SF-36v1 问卷,并完成了一项有关自身当前健康状况的 10 年 TTO 任务。效用使用美国价值集进行计算。对这四种方法得出的效用进行了最高效用、收敛效用和已知组效用的比较。已知组的定义基于一般健康、身体健康和心理健康。使用类内相关系数(ICC)评估效用之间的一致性:EQ-5D-5L、PROPr、SF-6D 和 TTO 的平均效用分别为 0.79、0.47、0.76 和 0.89。上限依次为 28%、0%、2% 和 65%。SF-6D 与 EQ-5D-5L 的一致性极佳(ICC = 0.770)。PROPr 与 EQ-5D-5L 的一致性较差(ICC = 0.381),与 SF-6D 工具的一致性一般(ICC = 0.445)。TTO 效用与间接评估效用的一致性较差(ICC = 0.058-0.242)。EQ-5D-5L能更好地区分一般健康和身体健康的已知组别,而SF-6D和PROPr在心理健康问题上的表现优于EQ-5D-5L:结论:在慢性皮肤病患者中,四种方法的效用差异很大。EQ-5D-5L尽管上限较高,但在区分患者群体的身体健康方面似乎最为有效。我们的研究结果为成本效用分析中质量调整生命年计算工具的选择提供了参考。
本文章由计算机程序翻译,如有差异,请以英文原文为准。

Comparing EQ-5D-5L, PROPr, SF-6D and TTO utilities in patients with chronic skin diseases.

Comparing EQ-5D-5L, PROPr, SF-6D and TTO utilities in patients with chronic skin diseases.

Comparing EQ-5D-5L, PROPr, SF-6D and TTO utilities in patients with chronic skin diseases.

Objectives: We aim to compare the measurement properties of three indirect (EQ-5D-5L, PROPr, SF-6D) and one direct (time trade-off, TTO) utility assessment methods in patients with chronic skin diseases.

Methods: 120 patients with physician-diagnosed chronic skin diseases (psoriasis 39%, atopic dermatitis 27%, acne 19%) completed a cross-sectional survey. Respondents completed the EQ-5D-5L, PROMIS-29+2 and SF-36v1 questionnaires and a 10-year TTO task for own current health. Utilities were computed using the US value sets. Ceiling, convergent and known-group validity were compared across the utilities derived with these four methods. Known-groups were defined based on general, physical and mental health. The agreement between utilities was assessed using intraclass correlation coefficients (ICC).

Results: Mean utilities for the EQ-5D-5L, PROPr, SF-6D and TTO were 0.79, 0.47, 0.76 and 0.89. In corresponding order, the ceiling was 28%, 0%, 2% and 65%. The SF-6D showed excellent agreement with the EQ-5D-5L (ICC = 0.770). PROPr demonstrated poor agreement with the EQ-5D-5L (ICC = 0.381) and fair with SF-6D utilities (ICC = 0.445). TTO utilities showed poor agreement with indirectly assessed utilities (ICC = 0.058-0.242). The EQ-5D-5L better discriminated between known groups of general and physical health, while the SF-6D and PROPr outperformed the EQ-5D-5L for mental health problems.

Conclusion: There is a great variability in utilities across the four methods in patients with chronic skin conditions. The EQ-5D-5L, despite its higher ceiling, appears to be the most efficient in discriminating between patient groups for physical health aspects. Our findings inform the choice of instrument for quality-adjusted life year calculations in cost-utility analyses.

求助全文
通过发布文献求助,成功后即可免费获取论文全文。 去求助
来源期刊
CiteScore
6.10
自引率
2.30%
发文量
131
期刊介绍: The European Journal of Health Economics is a journal of Health Economics and associated disciplines. The growing demand for health economics and the introduction of new guidelines in various European countries were the motivation to generate a highly scientific and at the same time practice oriented journal considering the requirements of various health care systems in Europe. The international scientific board of opinion leaders guarantees high-quality, peer-reviewed publications as well as articles for pragmatic approaches in the field of health economics. We intend to cover all aspects of health economics: • Basics of health economic approaches and methods • Pharmacoeconomics • Health Care Systems • Pricing and Reimbursement Systems • Quality-of-Life-Studies The editors reserve the right to reject manuscripts that do not comply with the above-mentioned requirements. The author will be held responsible for false statements or for failure to fulfill the above-mentioned requirements. Officially cited as: Eur J Health Econ
×
引用
GB/T 7714-2015
复制
MLA
复制
APA
复制
导出至
BibTeX EndNote RefMan NoteFirst NoteExpress
×
提示
您的信息不完整,为了账户安全,请先补充。
现在去补充
×
提示
您因"违规操作"
具体请查看互助需知
我知道了
×
提示
确定
请完成安全验证×
copy
已复制链接
快去分享给好友吧!
我知道了
右上角分享
点击右上角分享
0
联系我们:info@booksci.cn Book学术提供免费学术资源搜索服务,方便国内外学者检索中英文文献。致力于提供最便捷和优质的服务体验。 Copyright © 2023 布克学术 All rights reserved.
京ICP备2023020795号-1
ghs 京公网安备 11010802042870号
Book学术文献互助
Book学术文献互助群
群 号:604180095
Book学术官方微信