纽约东哈莱姆区拉美裔和非拉美裔白人成年 HIV 感染者的感知压力和健康结果:一项横断面研究。

IF 1.5 4区 医学 Q2 NURSING
Alexander W Slaughter, Jordan Stiver, Micah Savin, Denise S Oleas, Hyunjung Lee, Angela Summers, Danqi Zhu, Heining Cham, Jessica Robinson-Papp, Monica Rivera Mindt
{"title":"纽约东哈莱姆区拉美裔和非拉美裔白人成年 HIV 感染者的感知压力和健康结果:一项横断面研究。","authors":"Alexander W Slaughter, Jordan Stiver, Micah Savin, Denise S Oleas, Hyunjung Lee, Angela Summers, Danqi Zhu, Heining Cham, Jessica Robinson-Papp, Monica Rivera Mindt","doi":"10.1097/JNC.0000000000000504","DOIUrl":null,"url":null,"abstract":"<p><strong>Abstract: </strong>Stress and HIV disproportionately affect Latinx adults in the United States, contributing to numerous health inequities. Among people living with HIV (PLWH), increased stress is associated with decreased medication adherence, effectiveness, and higher rates of immunosuppression and comorbidities. Our study ( N = 126) examined the relationship between perceived stress and HIV-related health among Latinx ( n = 83) and non-Latinx White ( n = 43) PLWH. Latinx PLWH reported better HIV-related health outcomes than non-Latinx White PLWH, despite higher viral load (all p 's < .05). An interaction effect showed that higher perceived distress was associated with worse health outcomes and lower CD4+ T cell count only in Latinx PLWH ( p 's < .05). Our findings highlight the consequences of stress on HIV-related health. Notably, higher stress may be especially detrimental among Latinx PLWH, underscoring the need for more culturally tailored interventions in HIV-related care. Future research should include additional sociocultural factors and longitudinal assessment in a larger sample.</p>","PeriodicalId":50263,"journal":{"name":"Janac-Journal of the Association of Nurses in Aids Care","volume":" ","pages":"69-80"},"PeriodicalIF":1.5000,"publicationDate":"2025-01-01","publicationTypes":"Journal Article","fieldsOfStudy":null,"isOpenAccess":false,"openAccessPdf":"https://www.ncbi.nlm.nih.gov/pmc/articles/PMC11661566/pdf/","citationCount":"0","resultStr":"{\"title\":\"Perceived Stress and Health Outcomes Among Latinx and Non-Latinx White Adult People With HIV in East Harlem, New York: A Cross-Sectional Study.\",\"authors\":\"Alexander W Slaughter, Jordan Stiver, Micah Savin, Denise S Oleas, Hyunjung Lee, Angela Summers, Danqi Zhu, Heining Cham, Jessica Robinson-Papp, Monica Rivera Mindt\",\"doi\":\"10.1097/JNC.0000000000000504\",\"DOIUrl\":null,\"url\":null,\"abstract\":\"<p><strong>Abstract: </strong>Stress and HIV disproportionately affect Latinx adults in the United States, contributing to numerous health inequities. Among people living with HIV (PLWH), increased stress is associated with decreased medication adherence, effectiveness, and higher rates of immunosuppression and comorbidities. Our study ( N = 126) examined the relationship between perceived stress and HIV-related health among Latinx ( n = 83) and non-Latinx White ( n = 43) PLWH. Latinx PLWH reported better HIV-related health outcomes than non-Latinx White PLWH, despite higher viral load (all p 's < .05). An interaction effect showed that higher perceived distress was associated with worse health outcomes and lower CD4+ T cell count only in Latinx PLWH ( p 's < .05). Our findings highlight the consequences of stress on HIV-related health. Notably, higher stress may be especially detrimental among Latinx PLWH, underscoring the need for more culturally tailored interventions in HIV-related care. Future research should include additional sociocultural factors and longitudinal assessment in a larger sample.</p>\",\"PeriodicalId\":50263,\"journal\":{\"name\":\"Janac-Journal of the Association of Nurses in Aids Care\",\"volume\":\" \",\"pages\":\"69-80\"},\"PeriodicalIF\":1.5000,\"publicationDate\":\"2025-01-01\",\"publicationTypes\":\"Journal Article\",\"fieldsOfStudy\":null,\"isOpenAccess\":false,\"openAccessPdf\":\"https://www.ncbi.nlm.nih.gov/pmc/articles/PMC11661566/pdf/\",\"citationCount\":\"0\",\"resultStr\":null,\"platform\":\"Semanticscholar\",\"paperid\":null,\"PeriodicalName\":\"Janac-Journal of the Association of Nurses in Aids Care\",\"FirstCategoryId\":\"3\",\"ListUrlMain\":\"https://doi.org/10.1097/JNC.0000000000000504\",\"RegionNum\":4,\"RegionCategory\":\"医学\",\"ArticlePicture\":[],\"TitleCN\":null,\"AbstractTextCN\":null,\"PMCID\":null,\"EPubDate\":\"2024/9/25 0:00:00\",\"PubModel\":\"Epub\",\"JCR\":\"Q2\",\"JCRName\":\"NURSING\",\"Score\":null,\"Total\":0}","platform":"Semanticscholar","paperid":null,"PeriodicalName":"Janac-Journal of the Association of Nurses in Aids Care","FirstCategoryId":"3","ListUrlMain":"https://doi.org/10.1097/JNC.0000000000000504","RegionNum":4,"RegionCategory":"医学","ArticlePicture":[],"TitleCN":null,"AbstractTextCN":null,"PMCID":null,"EPubDate":"2024/9/25 0:00:00","PubModel":"Epub","JCR":"Q2","JCRName":"NURSING","Score":null,"Total":0}
引用次数: 0

摘要

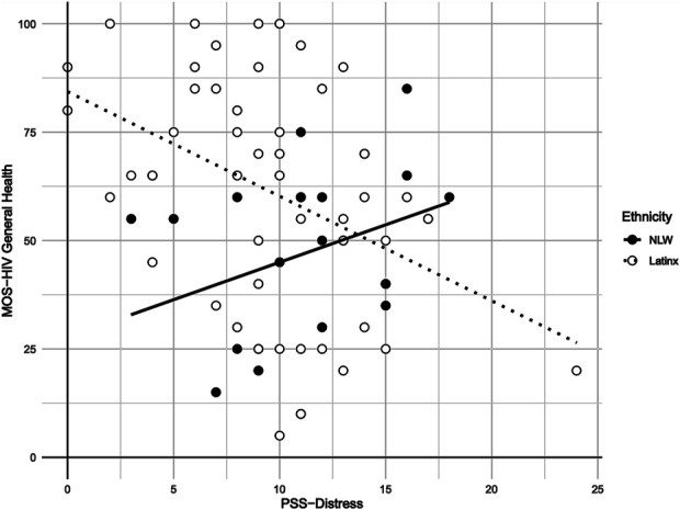
摘要:压力和艾滋病毒对美国拉美裔成年人的影响尤为严重,造成了许多健康不平等现象。在艾滋病病毒感染者(PLWH)中,压力增加与服药依从性和有效性下降以及免疫抑制和合并症发生率升高有关。我们的研究(N = 126)考察了拉美裔(n = 83)和非拉美裔白人(n = 43)艾滋病感染者中感知到的压力与艾滋病相关健康之间的关系。与非拉丁裔白人 PLWH 相比,拉丁裔 PLWH 报告的 HIV 相关健康结果更好,尽管病毒载量更高(所有 p 均小于 0.05)。交互效应显示,只有拉美裔 PLWH 感知到的压力越大,其健康状况越差,CD4+ T 细胞计数越低(P<0.05)。我们的研究结果凸显了压力对艾滋病相关健康的影响。值得注意的是,较高的压力可能对拉丁裔 PLWH 尤为不利,这突出表明在与 HIV 相关的护理中需要更多适合不同文化背景的干预措施。未来的研究应包括更多的社会文化因素和更大样本的纵向评估。
本文章由计算机程序翻译,如有差异,请以英文原文为准。

Perceived Stress and Health Outcomes Among Latinx and Non-Latinx White Adult People With HIV in East Harlem, New York: A Cross-Sectional Study.

Perceived Stress and Health Outcomes Among Latinx and Non-Latinx White Adult People With HIV in East Harlem, New York: A Cross-Sectional Study.

Perceived Stress and Health Outcomes Among Latinx and Non-Latinx White Adult People With HIV in East Harlem, New York: A Cross-Sectional Study.

Abstract: Stress and HIV disproportionately affect Latinx adults in the United States, contributing to numerous health inequities. Among people living with HIV (PLWH), increased stress is associated with decreased medication adherence, effectiveness, and higher rates of immunosuppression and comorbidities. Our study ( N = 126) examined the relationship between perceived stress and HIV-related health among Latinx ( n = 83) and non-Latinx White ( n = 43) PLWH. Latinx PLWH reported better HIV-related health outcomes than non-Latinx White PLWH, despite higher viral load (all p 's < .05). An interaction effect showed that higher perceived distress was associated with worse health outcomes and lower CD4+ T cell count only in Latinx PLWH ( p 's < .05). Our findings highlight the consequences of stress on HIV-related health. Notably, higher stress may be especially detrimental among Latinx PLWH, underscoring the need for more culturally tailored interventions in HIV-related care. Future research should include additional sociocultural factors and longitudinal assessment in a larger sample.

求助全文
通过发布文献求助,成功后即可免费获取论文全文。 去求助
来源期刊
CiteScore
2.90
自引率
10.00%
发文量
120
期刊介绍: The Journal of the Association of Nurses in AIDS Care (JANAC) is a peer-reviewed, international nursing journal that covers the full spectrum of the global HIV epidemic, focusing on prevention, evidence-based care management, interprofessional clinical care, research, advocacy, policy, education, social determinants of health, epidemiology, and program development. JANAC functions according to the highest standards of ethical publishing practices and offers innovative publication options, including Open Access and prepublication article posting, where the journal can post articles before they are published with an issue.
×
引用
GB/T 7714-2015
复制
MLA
复制
APA
复制
导出至
BibTeX EndNote RefMan NoteFirst NoteExpress
×
提示
您的信息不完整,为了账户安全,请先补充。
现在去补充
×
提示
您因"违规操作"
具体请查看互助需知
我知道了
×
提示
确定
请完成安全验证×
copy
已复制链接
快去分享给好友吧!
我知道了
右上角分享
点击右上角分享
0
联系我们:info@booksci.cn Book学术提供免费学术资源搜索服务,方便国内外学者检索中英文文献。致力于提供最便捷和优质的服务体验。 Copyright © 2023 布克学术 All rights reserved.
京ICP备2023020795号-1
ghs 京公网安备 11010802042870号
Book学术文献互助
Book学术文献互助群
群 号:604180095
Book学术官方微信