针刺 "肘后天 "穴对AD大鼠脑关键区域血氧代谢和神经功能影响的研究

IF 3.2 Q3 CLINICAL NEUROLOGY
Degenerative neurological and neuromuscular disease Pub Date : 2024-09-14 eCollection Date: 2024-01-01 DOI:10.2147/DNND.S468770
Ren-Zhen Zhang, Xin Zhang, Tian-Tian Zhu, Yu-Juan Ye, Ming-Li Su, Yu-Ting Wei, Xing-Ke Yan
{"title":"针刺 \"肘后天 \"穴对AD大鼠脑关键区域血氧代谢和神经功能影响的研究","authors":"Ren-Zhen Zhang, Xin Zhang, Tian-Tian Zhu, Yu-Juan Ye, Ming-Li Su, Yu-Ting Wei, Xing-Ke Yan","doi":"10.2147/DNND.S468770","DOIUrl":null,"url":null,"abstract":"<p><strong>Purpose: </strong>Exploring the effects of acupuncture at the \"Yizhi Tiaoshen\" acupoint on blood oxygen metabolism and neurological function changes in the brain regions of AD model rats.</p><p><strong>Methods: </strong>The AD model was replicated by intraperitoneal injection of D-galactose combined with bilateral hippocampal CA1 injection of Okadaic acid (OA). Thirty rats with successfully replicated model were selected through Morris water maze experiment and randomly divided into model group, donepezil hydrochloride group, and acupuncture group, with 10 rats in each group. After treatment, fNIRs were used to detect changes in Oxy Hb, Deoxy Hb, and Total Hb in the cerebral cortex of rats in each group, in order to evaluate the neurological function changes in key brain areas.</p><p><strong>Results: </strong>The escape latency of the donepezil hydrochloride group and the acupuncture group was shortened, the number of crossings through the original platform increased, and the duration of stay in the quadrant where the original platform was located was prolonged. Based on fNIRs detection, the main differential channels of blood oxygen metabolism in AD rats were identified as 2-2 and 8-7, corresponding to the prefrontal and parietal lobes, respectively. The concentrations of Oxy Hb and Total Hb were significantly increased in both treatment groups, while the concentration of Deoxy Hb was significantly decreased.</p><p><strong>Conclusion: </strong>Acupuncture with the \"Yizhi Tiaoshen\" acupoint formula and donepezil hydrochloride can improve the learning and memory function of AD rats, and its mechanism may be related to improving blood oxygen metabolism in the prefrontal and parietal regions and protecting neuronal function.</p>","PeriodicalId":93972,"journal":{"name":"Degenerative neurological and neuromuscular disease","volume":"14 ","pages":"103-114"},"PeriodicalIF":3.2000,"publicationDate":"2024-09-14","publicationTypes":"Journal Article","fieldsOfStudy":null,"isOpenAccess":false,"openAccessPdf":"https://www.ncbi.nlm.nih.gov/pmc/articles/PMC11410027/pdf/","citationCount":"0","resultStr":"{\"title\":\"Study on the Effects of Acupuncture with the \\\"Yizhi Tiaoshen\\\" Acupoint Formula on Blood Oxygen Metabolism and Neural Function in Key Brain Regions of AD Rats.\",\"authors\":\"Ren-Zhen Zhang, Xin Zhang, Tian-Tian Zhu, Yu-Juan Ye, Ming-Li Su, Yu-Ting Wei, Xing-Ke Yan\",\"doi\":\"10.2147/DNND.S468770\",\"DOIUrl\":null,\"url\":null,\"abstract\":\"<p><strong>Purpose: </strong>Exploring the effects of acupuncture at the \\\"Yizhi Tiaoshen\\\" acupoint on blood oxygen metabolism and neurological function changes in the brain regions of AD model rats.</p><p><strong>Methods: </strong>The AD model was replicated by intraperitoneal injection of D-galactose combined with bilateral hippocampal CA1 injection of Okadaic acid (OA). Thirty rats with successfully replicated model were selected through Morris water maze experiment and randomly divided into model group, donepezil hydrochloride group, and acupuncture group, with 10 rats in each group. After treatment, fNIRs were used to detect changes in Oxy Hb, Deoxy Hb, and Total Hb in the cerebral cortex of rats in each group, in order to evaluate the neurological function changes in key brain areas.</p><p><strong>Results: </strong>The escape latency of the donepezil hydrochloride group and the acupuncture group was shortened, the number of crossings through the original platform increased, and the duration of stay in the quadrant where the original platform was located was prolonged. Based on fNIRs detection, the main differential channels of blood oxygen metabolism in AD rats were identified as 2-2 and 8-7, corresponding to the prefrontal and parietal lobes, respectively. The concentrations of Oxy Hb and Total Hb were significantly increased in both treatment groups, while the concentration of Deoxy Hb was significantly decreased.</p><p><strong>Conclusion: </strong>Acupuncture with the \\\"Yizhi Tiaoshen\\\" acupoint formula and donepezil hydrochloride can improve the learning and memory function of AD rats, and its mechanism may be related to improving blood oxygen metabolism in the prefrontal and parietal regions and protecting neuronal function.</p>\",\"PeriodicalId\":93972,\"journal\":{\"name\":\"Degenerative neurological and neuromuscular disease\",\"volume\":\"14 \",\"pages\":\"103-114\"},\"PeriodicalIF\":3.2000,\"publicationDate\":\"2024-09-14\",\"publicationTypes\":\"Journal Article\",\"fieldsOfStudy\":null,\"isOpenAccess\":false,\"openAccessPdf\":\"https://www.ncbi.nlm.nih.gov/pmc/articles/PMC11410027/pdf/\",\"citationCount\":\"0\",\"resultStr\":null,\"platform\":\"Semanticscholar\",\"paperid\":null,\"PeriodicalName\":\"Degenerative neurological and neuromuscular disease\",\"FirstCategoryId\":\"1085\",\"ListUrlMain\":\"https://doi.org/10.2147/DNND.S468770\",\"RegionNum\":0,\"RegionCategory\":null,\"ArticlePicture\":[],\"TitleCN\":null,\"AbstractTextCN\":null,\"PMCID\":null,\"EPubDate\":\"2024/1/1 0:00:00\",\"PubModel\":\"eCollection\",\"JCR\":\"Q3\",\"JCRName\":\"CLINICAL NEUROLOGY\",\"Score\":null,\"Total\":0}","platform":"Semanticscholar","paperid":null,"PeriodicalName":"Degenerative neurological and neuromuscular disease","FirstCategoryId":"1085","ListUrlMain":"https://doi.org/10.2147/DNND.S468770","RegionNum":0,"RegionCategory":null,"ArticlePicture":[],"TitleCN":null,"AbstractTextCN":null,"PMCID":null,"EPubDate":"2024/1/1 0:00:00","PubModel":"eCollection","JCR":"Q3","JCRName":"CLINICAL NEUROLOGY","Score":null,"Total":0}
引用次数: 0

摘要

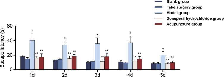
目的:探讨针刺 "肘天牖 "穴对AD模型大鼠脑区血氧代谢及神经功能变化的影响:方法:通过腹腔注射D-半乳糖和双侧海马CA1注射冈田酸(OA)复制AD模型。通过莫里斯水迷宫实验选取30只成功复制模型的大鼠,随机分为模型组、盐酸多奈哌齐组和针刺组,每组10只。治疗后,用近红外光谱检测各组大鼠大脑皮层氧合血红蛋白、脱氧血红蛋白和总血红蛋白的变化,以评价关键脑区的神经功能变化:结果:盐酸多奈哌齐组和针刺组大鼠的逃逸潜伏期缩短,穿越原平台的次数增加,在原平台所在象限的停留时间延长。根据近红外检测,确定了AD大鼠血氧代谢的主要差异通道为2-2和8-7,分别对应前额叶和顶叶。结论:针刺 "易筋经 "对AD大鼠的血氧代谢有明显的促进作用:结论:针刺 "颐指神使 "穴位方和盐酸多奈哌齐能改善AD大鼠的学习记忆功能,其机制可能与改善前额叶和顶叶的血氧代谢、保护神经元功能有关。
本文章由计算机程序翻译,如有差异,请以英文原文为准。

Study on the Effects of Acupuncture with the "Yizhi Tiaoshen" Acupoint Formula on Blood Oxygen Metabolism and Neural Function in Key Brain Regions of AD Rats.

Study on the Effects of Acupuncture with the "Yizhi Tiaoshen" Acupoint Formula on Blood Oxygen Metabolism and Neural Function in Key Brain Regions of AD Rats.

Study on the Effects of Acupuncture with the "Yizhi Tiaoshen" Acupoint Formula on Blood Oxygen Metabolism and Neural Function in Key Brain Regions of AD Rats.

Study on the Effects of Acupuncture with the "Yizhi Tiaoshen" Acupoint Formula on Blood Oxygen Metabolism and Neural Function in Key Brain Regions of AD Rats.

Purpose: Exploring the effects of acupuncture at the "Yizhi Tiaoshen" acupoint on blood oxygen metabolism and neurological function changes in the brain regions of AD model rats.

Methods: The AD model was replicated by intraperitoneal injection of D-galactose combined with bilateral hippocampal CA1 injection of Okadaic acid (OA). Thirty rats with successfully replicated model were selected through Morris water maze experiment and randomly divided into model group, donepezil hydrochloride group, and acupuncture group, with 10 rats in each group. After treatment, fNIRs were used to detect changes in Oxy Hb, Deoxy Hb, and Total Hb in the cerebral cortex of rats in each group, in order to evaluate the neurological function changes in key brain areas.

Results: The escape latency of the donepezil hydrochloride group and the acupuncture group was shortened, the number of crossings through the original platform increased, and the duration of stay in the quadrant where the original platform was located was prolonged. Based on fNIRs detection, the main differential channels of blood oxygen metabolism in AD rats were identified as 2-2 and 8-7, corresponding to the prefrontal and parietal lobes, respectively. The concentrations of Oxy Hb and Total Hb were significantly increased in both treatment groups, while the concentration of Deoxy Hb was significantly decreased.

Conclusion: Acupuncture with the "Yizhi Tiaoshen" acupoint formula and donepezil hydrochloride can improve the learning and memory function of AD rats, and its mechanism may be related to improving blood oxygen metabolism in the prefrontal and parietal regions and protecting neuronal function.

求助全文
通过发布文献求助,成功后即可免费获取论文全文。 去求助
来源期刊
自引率
0.00%
发文量
0
×
引用
GB/T 7714-2015
复制
MLA
复制
APA
复制
导出至
BibTeX EndNote RefMan NoteFirst NoteExpress
×
提示
您的信息不完整,为了账户安全,请先补充。
现在去补充
×
提示
您因"违规操作"
具体请查看互助需知
我知道了
×
提示
确定
请完成安全验证×
copy
已复制链接
快去分享给好友吧!
我知道了
右上角分享
点击右上角分享
0
联系我们:info@booksci.cn Book学术提供免费学术资源搜索服务,方便国内外学者检索中英文文献。致力于提供最便捷和优质的服务体验。 Copyright © 2023 布克学术 All rights reserved.
京ICP备2023020795号-1
ghs 京公网安备 11010802042870号
Book学术文献互助
Book学术文献互助群
群 号:604180095
Book学术官方微信