计算生存数据采样的预期净收益:教程与案例研究

IF 3.1 3区 医学 Q2 HEALTH CARE SCIENCES & SERVICES
Medical Decision Making Pub Date : 2024-10-01 Epub Date: 2024-09-20 DOI:10.1177/0272989X241279459
Mathyn Vervaart
{"title":"计算生存数据采样的预期净收益:教程与案例研究","authors":"Mathyn Vervaart","doi":"10.1177/0272989X241279459","DOIUrl":null,"url":null,"abstract":"<p><strong>Highlights: </strong>The net value of reducing decision uncertainty by collecting additional data is quantified by the expected net benefit of sampling (ENBS). This tutorial presents a general-purpose algorithm for computing the ENBS for collecting survival data along with a step-by-step implementation in R.The algorithm is based on recently published methods for simulating survival data and computing expected value of sample information that do not rely on the survival data to follow any particular parametric distribution and that can take into account any arbitrary censoring process.We demonstrate in a case study based on a previous cancer technology appraisal that ENBS calculations are useful not only for designing new studies but also for optimizing reimbursement decisions for new health technologies based on immature evidence from ongoing trials.</p>","PeriodicalId":49839,"journal":{"name":"Medical Decision Making","volume":" ","pages":"719-741"},"PeriodicalIF":3.1000,"publicationDate":"2024-10-01","publicationTypes":"Journal Article","fieldsOfStudy":null,"isOpenAccess":false,"openAccessPdf":"https://www.ncbi.nlm.nih.gov/pmc/articles/PMC11490075/pdf/","citationCount":"0","resultStr":"{\"title\":\"Calculating the Expected Net Benefit of Sampling for Survival Data: A Tutorial and Case Study.\",\"authors\":\"Mathyn Vervaart\",\"doi\":\"10.1177/0272989X241279459\",\"DOIUrl\":null,\"url\":null,\"abstract\":\"<p><strong>Highlights: </strong>The net value of reducing decision uncertainty by collecting additional data is quantified by the expected net benefit of sampling (ENBS). This tutorial presents a general-purpose algorithm for computing the ENBS for collecting survival data along with a step-by-step implementation in R.The algorithm is based on recently published methods for simulating survival data and computing expected value of sample information that do not rely on the survival data to follow any particular parametric distribution and that can take into account any arbitrary censoring process.We demonstrate in a case study based on a previous cancer technology appraisal that ENBS calculations are useful not only for designing new studies but also for optimizing reimbursement decisions for new health technologies based on immature evidence from ongoing trials.</p>\",\"PeriodicalId\":49839,\"journal\":{\"name\":\"Medical Decision Making\",\"volume\":\" \",\"pages\":\"719-741\"},\"PeriodicalIF\":3.1000,\"publicationDate\":\"2024-10-01\",\"publicationTypes\":\"Journal Article\",\"fieldsOfStudy\":null,\"isOpenAccess\":false,\"openAccessPdf\":\"https://www.ncbi.nlm.nih.gov/pmc/articles/PMC11490075/pdf/\",\"citationCount\":\"0\",\"resultStr\":null,\"platform\":\"Semanticscholar\",\"paperid\":null,\"PeriodicalName\":\"Medical Decision Making\",\"FirstCategoryId\":\"3\",\"ListUrlMain\":\"https://doi.org/10.1177/0272989X241279459\",\"RegionNum\":3,\"RegionCategory\":\"医学\",\"ArticlePicture\":[],\"TitleCN\":null,\"AbstractTextCN\":null,\"PMCID\":null,\"EPubDate\":\"2024/9/20 0:00:00\",\"PubModel\":\"Epub\",\"JCR\":\"Q2\",\"JCRName\":\"HEALTH CARE SCIENCES & SERVICES\",\"Score\":null,\"Total\":0}","platform":"Semanticscholar","paperid":null,"PeriodicalName":"Medical Decision Making","FirstCategoryId":"3","ListUrlMain":"https://doi.org/10.1177/0272989X241279459","RegionNum":3,"RegionCategory":"医学","ArticlePicture":[],"TitleCN":null,"AbstractTextCN":null,"PMCID":null,"EPubDate":"2024/9/20 0:00:00","PubModel":"Epub","JCR":"Q2","JCRName":"HEALTH CARE SCIENCES & SERVICES","Score":null,"Total":0}
引用次数: 0

摘要

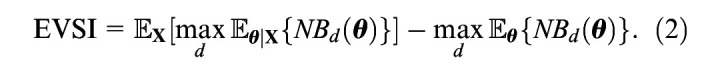
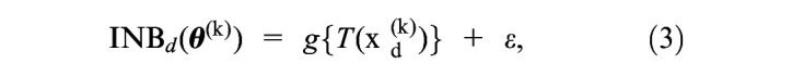
亮点:通过收集额外数据来减少决策不确定性的净值可以通过预期采样净收益(ENBS)来量化。本教程介绍了一种计算收集生存数据的 ENBS 的通用算法,以及在 R 中的逐步实现。该算法基于最近发布的模拟生存数据和计算样本信息期望值的方法,这些方法不依赖于生存数据遵循任何特定的参数分布,而且可以考虑任何任意的删减过程。我们通过一个基于先前癌症技术评估的案例研究证明,ENBS 计算不仅有助于设计新的研究,还有助于根据正在进行的试验中的不成熟证据优化新医疗技术的报销决策。
本文章由计算机程序翻译,如有差异,请以英文原文为准。

Calculating the Expected Net Benefit of Sampling for Survival Data: A Tutorial and Case Study.

Calculating the Expected Net Benefit of Sampling for Survival Data: A Tutorial and Case Study.

Calculating the Expected Net Benefit of Sampling for Survival Data: A Tutorial and Case Study.

Calculating the Expected Net Benefit of Sampling for Survival Data: A Tutorial and Case Study.

Highlights: The net value of reducing decision uncertainty by collecting additional data is quantified by the expected net benefit of sampling (ENBS). This tutorial presents a general-purpose algorithm for computing the ENBS for collecting survival data along with a step-by-step implementation in R.The algorithm is based on recently published methods for simulating survival data and computing expected value of sample information that do not rely on the survival data to follow any particular parametric distribution and that can take into account any arbitrary censoring process.We demonstrate in a case study based on a previous cancer technology appraisal that ENBS calculations are useful not only for designing new studies but also for optimizing reimbursement decisions for new health technologies based on immature evidence from ongoing trials.

求助全文
通过发布文献求助,成功后即可免费获取论文全文。 去求助
来源期刊
Medical Decision Making
Medical Decision Making 医学-卫生保健
CiteScore
6.50
自引率
5.60%
发文量
146
审稿时长
6-12 weeks
期刊介绍: Medical Decision Making offers rigorous and systematic approaches to decision making that are designed to improve the health and clinical care of individuals and to assist with health care policy development. Using the fundamentals of decision analysis and theory, economic evaluation, and evidence based quality assessment, Medical Decision Making presents both theoretical and practical statistical and modeling techniques and methods from a variety of disciplines.
×
引用
GB/T 7714-2015
复制
MLA
复制
APA
复制
导出至
BibTeX EndNote RefMan NoteFirst NoteExpress
×
提示
您的信息不完整,为了账户安全,请先补充。
现在去补充
×
提示
您因"违规操作"
具体请查看互助需知
我知道了
×
提示
确定
请完成安全验证×
copy
已复制链接
快去分享给好友吧!
我知道了
右上角分享
点击右上角分享
0
联系我们:info@booksci.cn Book学术提供免费学术资源搜索服务,方便国内外学者检索中英文文献。致力于提供最便捷和优质的服务体验。 Copyright © 2023 布克学术 All rights reserved.
京ICP备2023020795号-1
ghs 京公网安备 11010802042870号
Book学术文献互助
Book学术文献互助群
群 号:604180095
Book学术官方微信