妊娠相关血浆蛋白-A 和游离β-人绒毛膜促性腺激素与肥胖孕妇氧化应激的关系:一项临床横断面研究。

IF 2.6 Q2 PATHOLOGY
Vanja Dimitrov, Maria Mikerova, Vladimir Reshetnikov, Victor Mikhailovsky, Sasa Raicevic, Sergey Bolevich, Vladimir Jakovljevic, Tamara Nikolic Turnic
{"title":"妊娠相关血浆蛋白-A 和游离β-人绒毛膜促性腺激素与肥胖孕妇氧化应激的关系:一项临床横断面研究。","authors":"Vanja Dimitrov, Maria Mikerova, Vladimir Reshetnikov, Victor Mikhailovsky, Sasa Raicevic, Sergey Bolevich, Vladimir Jakovljevic, Tamara Nikolic Turnic","doi":"10.3390/pathophysiology31030037","DOIUrl":null,"url":null,"abstract":"<p><p><b>Background</b>: The pathophysiological mechanism underlying pregnancy complications is not entirely known. Although it is currently impossible to predict the occurrence of redox imbalance, it is possible to identify women with a high or medium risk of developing this disease prior to a negative outcome by non-invasive diagnostic methods. <b>The Aim</b>: This study aimed to examine the possible role of the parameter of oxidative stress (OS) measured in early pregnancy in the screening/treatment of obesity and its complications during pregnancy. <b>Methods</b>: This research was designed as a prospective observational cross-sectional clinical study which included 40 non-obese and 31 obese pregnant women between 11 and 13 g.w. who were managed in the Department of Obstetrics, University Clinical Center Kragujevac in Serbia. We collected anthropometric and clinical indicators, maternal and pregnancy factors, and measured prooxidative parameters from blood samples. <b>Results</b>: We observed significantly increased levels of the superoxide anion radical, hydrogen peroxide and the index of lipid peroxidation in the Obese group in comparison with the Non-Obese group and significantly decreased bioavailability of nitrites in the Obese group in comparison with the Non-Obese group. <b>Conclusions</b>: The determination of systemic parameters of OS in early pregnancy could be a good methodological approach in the screening/treatment of obesity during pregnancy and this approach should be followed for the screening of endothelial dysfunction in pregnancy which needs further monitoring and/or treatment.</p>","PeriodicalId":19852,"journal":{"name":"Pathophysiology","volume":"31 3","pages":"502-513"},"PeriodicalIF":2.6000,"publicationDate":"2024-09-19","publicationTypes":"Journal Article","fieldsOfStudy":null,"isOpenAccess":false,"openAccessPdf":"https://www.ncbi.nlm.nih.gov/pmc/articles/PMC11417915/pdf/","citationCount":"0","resultStr":"{\"title\":\"Pregnancy-Associated Plasma Protein-A and Free β-Human Chorionic Gonadotrophin in Relation with Oxidative Stress in Obese Pregnant Women: A Clinical Cross-Sectional Study.\",\"authors\":\"Vanja Dimitrov, Maria Mikerova, Vladimir Reshetnikov, Victor Mikhailovsky, Sasa Raicevic, Sergey Bolevich, Vladimir Jakovljevic, Tamara Nikolic Turnic\",\"doi\":\"10.3390/pathophysiology31030037\",\"DOIUrl\":null,\"url\":null,\"abstract\":\"<p><p><b>Background</b>: The pathophysiological mechanism underlying pregnancy complications is not entirely known. Although it is currently impossible to predict the occurrence of redox imbalance, it is possible to identify women with a high or medium risk of developing this disease prior to a negative outcome by non-invasive diagnostic methods. <b>The Aim</b>: This study aimed to examine the possible role of the parameter of oxidative stress (OS) measured in early pregnancy in the screening/treatment of obesity and its complications during pregnancy. <b>Methods</b>: This research was designed as a prospective observational cross-sectional clinical study which included 40 non-obese and 31 obese pregnant women between 11 and 13 g.w. who were managed in the Department of Obstetrics, University Clinical Center Kragujevac in Serbia. We collected anthropometric and clinical indicators, maternal and pregnancy factors, and measured prooxidative parameters from blood samples. <b>Results</b>: We observed significantly increased levels of the superoxide anion radical, hydrogen peroxide and the index of lipid peroxidation in the Obese group in comparison with the Non-Obese group and significantly decreased bioavailability of nitrites in the Obese group in comparison with the Non-Obese group. <b>Conclusions</b>: The determination of systemic parameters of OS in early pregnancy could be a good methodological approach in the screening/treatment of obesity during pregnancy and this approach should be followed for the screening of endothelial dysfunction in pregnancy which needs further monitoring and/or treatment.</p>\",\"PeriodicalId\":19852,\"journal\":{\"name\":\"Pathophysiology\",\"volume\":\"31 3\",\"pages\":\"502-513\"},\"PeriodicalIF\":2.6000,\"publicationDate\":\"2024-09-19\",\"publicationTypes\":\"Journal Article\",\"fieldsOfStudy\":null,\"isOpenAccess\":false,\"openAccessPdf\":\"https://www.ncbi.nlm.nih.gov/pmc/articles/PMC11417915/pdf/\",\"citationCount\":\"0\",\"resultStr\":null,\"platform\":\"Semanticscholar\",\"paperid\":null,\"PeriodicalName\":\"Pathophysiology\",\"FirstCategoryId\":\"1085\",\"ListUrlMain\":\"https://doi.org/10.3390/pathophysiology31030037\",\"RegionNum\":0,\"RegionCategory\":null,\"ArticlePicture\":[],\"TitleCN\":null,\"AbstractTextCN\":null,\"PMCID\":null,\"EPubDate\":\"\",\"PubModel\":\"\",\"JCR\":\"Q2\",\"JCRName\":\"PATHOLOGY\",\"Score\":null,\"Total\":0}","platform":"Semanticscholar","paperid":null,"PeriodicalName":"Pathophysiology","FirstCategoryId":"1085","ListUrlMain":"https://doi.org/10.3390/pathophysiology31030037","RegionNum":0,"RegionCategory":null,"ArticlePicture":[],"TitleCN":null,"AbstractTextCN":null,"PMCID":null,"EPubDate":"","PubModel":"","JCR":"Q2","JCRName":"PATHOLOGY","Score":null,"Total":0}
引用次数: 0

摘要

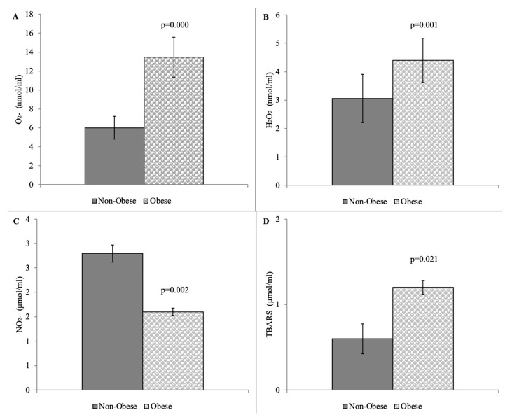
背景:妊娠并发症的病理生理机制尚不完全清楚。虽然目前还无法预测氧化还原失衡的发生,但可以通过非侵入性诊断方法,在出现不良结果之前,识别出具有高风险或中等风险的妇女。目的:本研究旨在探讨孕早期测量的氧化应激参数(OS)在筛查/治疗孕期肥胖及其并发症中可能发挥的作用。研究方法这项研究是一项前瞻性观察横断面临床研究,包括塞尔维亚克拉古耶瓦茨大学临床中心产科的 40 名体重在 11-13 公斤之间的非肥胖孕妇和 31 名肥胖孕妇。我们收集了人体测量和临床指标、孕产妇和妊娠因素,并测量了血液样本中的原氧化参数。结果显示我们观察到,与非肥胖组相比,肥胖组的超氧阴离子自由基、过氧化氢和脂质过氧化指数水平明显升高;与非肥胖组相比,肥胖组的亚硝酸盐生物利用率明显降低。结论在妊娠早期测定OS的系统参数是筛查/治疗妊娠期肥胖症的一种很好的方法,在筛查需要进一步监测和/或治疗的妊娠期内皮功能障碍时应采用这种方法。
本文章由计算机程序翻译,如有差异,请以英文原文为准。

Pregnancy-Associated Plasma Protein-A and Free β-Human Chorionic Gonadotrophin in Relation with Oxidative Stress in Obese Pregnant Women: A Clinical Cross-Sectional Study.

Pregnancy-Associated Plasma Protein-A and Free β-Human Chorionic Gonadotrophin in Relation with Oxidative Stress in Obese Pregnant Women: A Clinical Cross-Sectional Study.

Background: The pathophysiological mechanism underlying pregnancy complications is not entirely known. Although it is currently impossible to predict the occurrence of redox imbalance, it is possible to identify women with a high or medium risk of developing this disease prior to a negative outcome by non-invasive diagnostic methods. The Aim: This study aimed to examine the possible role of the parameter of oxidative stress (OS) measured in early pregnancy in the screening/treatment of obesity and its complications during pregnancy. Methods: This research was designed as a prospective observational cross-sectional clinical study which included 40 non-obese and 31 obese pregnant women between 11 and 13 g.w. who were managed in the Department of Obstetrics, University Clinical Center Kragujevac in Serbia. We collected anthropometric and clinical indicators, maternal and pregnancy factors, and measured prooxidative parameters from blood samples. Results: We observed significantly increased levels of the superoxide anion radical, hydrogen peroxide and the index of lipid peroxidation in the Obese group in comparison with the Non-Obese group and significantly decreased bioavailability of nitrites in the Obese group in comparison with the Non-Obese group. Conclusions: The determination of systemic parameters of OS in early pregnancy could be a good methodological approach in the screening/treatment of obesity during pregnancy and this approach should be followed for the screening of endothelial dysfunction in pregnancy which needs further monitoring and/or treatment.

求助全文
通过发布文献求助,成功后即可免费获取论文全文。 去求助
来源期刊
Pathophysiology
Pathophysiology Medicine-Pathology and Forensic Medicine
CiteScore
3.10
自引率
0.00%
发文量
48
期刊介绍: Pathophysiology is an international journal which publishes papers in English which address the etiology, development, and elimination of pathological processes. Contributions on the basic mechanisms underlying these processes, model systems and interdisciplinary approaches are strongly encouraged.
×
引用
GB/T 7714-2015
复制
MLA
复制
APA
复制
导出至
BibTeX EndNote RefMan NoteFirst NoteExpress
×
提示
您的信息不完整,为了账户安全,请先补充。
现在去补充
×
提示
您因"违规操作"
具体请查看互助需知
我知道了
×
提示
确定
请完成安全验证×
copy
已复制链接
快去分享给好友吧!
我知道了
右上角分享
点击右上角分享
0
联系我们:info@booksci.cn Book学术提供免费学术资源搜索服务,方便国内外学者检索中英文文献。致力于提供最便捷和优质的服务体验。 Copyright © 2023 布克学术 All rights reserved.
京ICP备2023020795号-1
ghs 京公网安备 11010802042870号
Book学术文献互助
Book学术文献互助群
群 号:604180095
Book学术官方微信