产科物理治疗和经皮神经电刺激(TENS)对剖腹产后疼痛控制和胃肠功能的影响:随机对照试验。

IF 1.7 Q3 NURSING
European Journal of Midwifery Pub Date : 2024-09-05 eCollection Date: 2024-01-01 DOI:10.18332/ejm/191740
Anna Pilch, Małgorzata Jekiełek, Beata Stach, Joanna Zyznawska, Marek Klimek
{"title":"产科物理治疗和经皮神经电刺激(TENS)对剖腹产后疼痛控制和胃肠功能的影响:随机对照试验。","authors":"Anna Pilch, Małgorzata Jekiełek, Beata Stach, Joanna Zyznawska, Marek Klimek","doi":"10.18332/ejm/191740","DOIUrl":null,"url":null,"abstract":"<p><strong>Introduction: </strong>The study aimed to compare the impact of the physiotherapeutic method combined with TENS and physiotherapy alone on post-cesarean pain levels and the time required for intestinal peristalsis recovery. The study was conducted at the Specialist Hospital in Kraków, from January to March 2020.</p><p><strong>Methods: </strong>The study was designed as a parallel randomized controlled trial (RCT). Participants were randomly assigned to one of three groups: TENS (n=52), nTENS (n=50) and control group (n=34), based on block randomization of 6. The allocation sequence was provided using a computer-generated random list. The participants were 136 postpartum primiparous women after cesarean birth, aged ≥18 years, having a healthy newborn, with no contradictions to TENS. The TENS group received a physiotherapeutic procedure involving a 20-minute exercise program plus a 40-minute session of TENS. The nTENS group received physiotherapeutic procedure alone, and the control group was under the routine care of midwives. The pain was assessed using the Numerical Rating Scale (NRS) at 6, 7, 12 and 24 hours after cesarean birth and twice during verticalization.</p><p><strong>Results: </strong>TENS and nTENS groups had decreased pain intensity immediately after the intervention compared to the control group (p=0.002, p=0.027, respectively). During the first stage of the verticalization, the smallest increase in pain was observed in the TENS (p=0.044 compared to nTENS, p=0.000 compared to the control group). Within the increase in the pain score, the intestinal peristalsis recovery time was longer. In both groups undergoing physical therapy, a shortened recovery time of intestinal peristalsis was demonstrated (p=0.000).</p><p><strong>Conclusions: </strong>The proposed physiotherapy program, combined with TENS and instruction, proved effective in relieving post-cesarean pain and accelerating the time to first defecation and should be considered part of the standard patient management program in maternity units.</p>","PeriodicalId":32920,"journal":{"name":"European Journal of Midwifery","volume":"8 ","pages":""},"PeriodicalIF":1.7000,"publicationDate":"2024-09-05","publicationTypes":"Journal Article","fieldsOfStudy":null,"isOpenAccess":false,"openAccessPdf":"https://www.ncbi.nlm.nih.gov/pmc/articles/PMC11375754/pdf/","citationCount":"0","resultStr":"{\"title\":\"Impact of obstetric physiotherapy and transcutaneous electrical nerve stimulation (TENS) on pain management and gastrointestinal function following cesarean birth: A randomized controlled trial.\",\"authors\":\"Anna Pilch, Małgorzata Jekiełek, Beata Stach, Joanna Zyznawska, Marek Klimek\",\"doi\":\"10.18332/ejm/191740\",\"DOIUrl\":null,\"url\":null,\"abstract\":\"<p><strong>Introduction: </strong>The study aimed to compare the impact of the physiotherapeutic method combined with TENS and physiotherapy alone on post-cesarean pain levels and the time required for intestinal peristalsis recovery. The study was conducted at the Specialist Hospital in Kraków, from January to March 2020.</p><p><strong>Methods: </strong>The study was designed as a parallel randomized controlled trial (RCT). Participants were randomly assigned to one of three groups: TENS (n=52), nTENS (n=50) and control group (n=34), based on block randomization of 6. The allocation sequence was provided using a computer-generated random list. The participants were 136 postpartum primiparous women after cesarean birth, aged ≥18 years, having a healthy newborn, with no contradictions to TENS. The TENS group received a physiotherapeutic procedure involving a 20-minute exercise program plus a 40-minute session of TENS. The nTENS group received physiotherapeutic procedure alone, and the control group was under the routine care of midwives. The pain was assessed using the Numerical Rating Scale (NRS) at 6, 7, 12 and 24 hours after cesarean birth and twice during verticalization.</p><p><strong>Results: </strong>TENS and nTENS groups had decreased pain intensity immediately after the intervention compared to the control group (p=0.002, p=0.027, respectively). During the first stage of the verticalization, the smallest increase in pain was observed in the TENS (p=0.044 compared to nTENS, p=0.000 compared to the control group). Within the increase in the pain score, the intestinal peristalsis recovery time was longer. In both groups undergoing physical therapy, a shortened recovery time of intestinal peristalsis was demonstrated (p=0.000).</p><p><strong>Conclusions: </strong>The proposed physiotherapy program, combined with TENS and instruction, proved effective in relieving post-cesarean pain and accelerating the time to first defecation and should be considered part of the standard patient management program in maternity units.</p>\",\"PeriodicalId\":32920,\"journal\":{\"name\":\"European Journal of Midwifery\",\"volume\":\"8 \",\"pages\":\"\"},\"PeriodicalIF\":1.7000,\"publicationDate\":\"2024-09-05\",\"publicationTypes\":\"Journal Article\",\"fieldsOfStudy\":null,\"isOpenAccess\":false,\"openAccessPdf\":\"https://www.ncbi.nlm.nih.gov/pmc/articles/PMC11375754/pdf/\",\"citationCount\":\"0\",\"resultStr\":null,\"platform\":\"Semanticscholar\",\"paperid\":null,\"PeriodicalName\":\"European Journal of Midwifery\",\"FirstCategoryId\":\"1085\",\"ListUrlMain\":\"https://doi.org/10.18332/ejm/191740\",\"RegionNum\":0,\"RegionCategory\":null,\"ArticlePicture\":[],\"TitleCN\":null,\"AbstractTextCN\":null,\"PMCID\":null,\"EPubDate\":\"2024/1/1 0:00:00\",\"PubModel\":\"eCollection\",\"JCR\":\"Q3\",\"JCRName\":\"NURSING\",\"Score\":null,\"Total\":0}","platform":"Semanticscholar","paperid":null,"PeriodicalName":"European Journal of Midwifery","FirstCategoryId":"1085","ListUrlMain":"https://doi.org/10.18332/ejm/191740","RegionNum":0,"RegionCategory":null,"ArticlePicture":[],"TitleCN":null,"AbstractTextCN":null,"PMCID":null,"EPubDate":"2024/1/1 0:00:00","PubModel":"eCollection","JCR":"Q3","JCRName":"NURSING","Score":null,"Total":0}
引用次数: 0

摘要

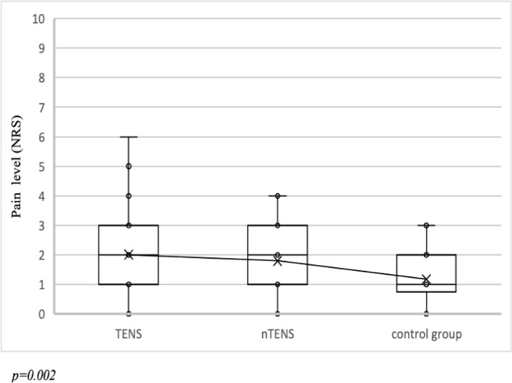
简介该研究旨在比较物理治疗方法结合 TENS 与单独物理治疗对剖腹产后疼痛程度和肠蠕动恢复所需时间的影响。研究于 2020 年 1 月至 3 月在克拉科夫专科医院进行:研究设计为平行随机对照试验(RCT)。参与者被随机分配到三组中的一组:分配顺序由计算机生成的随机列表提供。参与者为 136 名剖宫产后初产妇,年龄≥18 岁,新生儿健康,与 TENS 无矛盾。TENS组接受理疗,包括20分钟的运动计划和40分钟的TENS疗程。nTENS 组仅接受物理治疗,对照组由助产士进行常规护理。在剖宫产后6、7、12和24小时以及两次垂直分娩时,使用数字评分量表(NRS)对疼痛进行评估:结果:与对照组相比,TENS 组和 nTENS 组在干预后立即降低了疼痛强度(分别为 p=0.002 和 p=0.027)。在垂直化的第一阶段,TENS 组的疼痛加剧程度最小(与 nTENS 组相比,p=0.044;与对照组相比,p=0.000)。在疼痛评分增加的同时,肠蠕动的恢复时间也延长了。在接受物理治疗的两组中,肠蠕动的恢复时间均有所缩短(P=0.000):建议的物理治疗方案与 TENS 和指导相结合,证明能有效缓解剖腹产后疼痛并加快首次排便的时间,应被视为产科标准患者管理方案的一部分。
本文章由计算机程序翻译,如有差异,请以英文原文为准。

Impact of obstetric physiotherapy and transcutaneous electrical nerve stimulation (TENS) on pain management and gastrointestinal function following cesarean birth: A randomized controlled trial.

Impact of obstetric physiotherapy and transcutaneous electrical nerve stimulation (TENS) on pain management and gastrointestinal function following cesarean birth: A randomized controlled trial.

Impact of obstetric physiotherapy and transcutaneous electrical nerve stimulation (TENS) on pain management and gastrointestinal function following cesarean birth: A randomized controlled trial.

Impact of obstetric physiotherapy and transcutaneous electrical nerve stimulation (TENS) on pain management and gastrointestinal function following cesarean birth: A randomized controlled trial.

Introduction: The study aimed to compare the impact of the physiotherapeutic method combined with TENS and physiotherapy alone on post-cesarean pain levels and the time required for intestinal peristalsis recovery. The study was conducted at the Specialist Hospital in Kraków, from January to March 2020.

Methods: The study was designed as a parallel randomized controlled trial (RCT). Participants were randomly assigned to one of three groups: TENS (n=52), nTENS (n=50) and control group (n=34), based on block randomization of 6. The allocation sequence was provided using a computer-generated random list. The participants were 136 postpartum primiparous women after cesarean birth, aged ≥18 years, having a healthy newborn, with no contradictions to TENS. The TENS group received a physiotherapeutic procedure involving a 20-minute exercise program plus a 40-minute session of TENS. The nTENS group received physiotherapeutic procedure alone, and the control group was under the routine care of midwives. The pain was assessed using the Numerical Rating Scale (NRS) at 6, 7, 12 and 24 hours after cesarean birth and twice during verticalization.

Results: TENS and nTENS groups had decreased pain intensity immediately after the intervention compared to the control group (p=0.002, p=0.027, respectively). During the first stage of the verticalization, the smallest increase in pain was observed in the TENS (p=0.044 compared to nTENS, p=0.000 compared to the control group). Within the increase in the pain score, the intestinal peristalsis recovery time was longer. In both groups undergoing physical therapy, a shortened recovery time of intestinal peristalsis was demonstrated (p=0.000).

Conclusions: The proposed physiotherapy program, combined with TENS and instruction, proved effective in relieving post-cesarean pain and accelerating the time to first defecation and should be considered part of the standard patient management program in maternity units.

求助全文
通过发布文献求助,成功后即可免费获取论文全文。 去求助
来源期刊
European Journal of Midwifery
European Journal of Midwifery Nursing-Maternity and Midwifery
CiteScore
2.20
自引率
15.80%
发文量
65
审稿时长
16 weeks
×
引用
GB/T 7714-2015
复制
MLA
复制
APA
复制
导出至
BibTeX EndNote RefMan NoteFirst NoteExpress
×
提示
您的信息不完整,为了账户安全,请先补充。
现在去补充
×
提示
您因"违规操作"
具体请查看互助需知
我知道了
×
提示
确定
请完成安全验证×
copy
已复制链接
快去分享给好友吧!
我知道了
右上角分享
点击右上角分享
0
联系我们:info@booksci.cn Book学术提供免费学术资源搜索服务,方便国内外学者检索中英文文献。致力于提供最便捷和优质的服务体验。 Copyright © 2023 布克学术 All rights reserved.
京ICP备2023020795号-1
ghs 京公网安备 11010802042870号
Book学术文献互助
Book学术文献互助群
群 号:604180095
Book学术官方微信