长寿草 GH29 α-L-葡萄糖苷酶的底物特异性

IF 1.4 Q4 BIOCHEMISTRY & MOLECULAR BIOLOGY
Journal of applied glycoscience Pub Date : 2024-08-20 eCollection Date: 2024-01-01 DOI:10.5458/jag.jag.JAG-2024_0004
Hye-Jin Kang, Takayoshi Tagami, Masayuki Okuyama
{"title":"长寿草 GH29 α-L-葡萄糖苷酶的底物特异性","authors":"Hye-Jin Kang, Takayoshi Tagami, Masayuki Okuyama","doi":"10.5458/jag.jag.JAG-2024_0004","DOIUrl":null,"url":null,"abstract":"<p><p>We recently found two α-L-glucosidases, which can hydrolyze <i>p</i>-nitrophenyl α-L-glucopyranoside (PNP L-Glc) rather than <i>p</i>-nitrophenyl α-L-fucopyranoside, in glycoside hydrolase family 29. This study evaluated their substrate specificity for <i>p</i>-nitrophenyl α-L-rhamnopyranoside (PNP L-Rha), α-L-quinovopyranoside (PNP L-Qui), and α-L-xylopyranoside (PNP L-Xyl), of which structure is similar to PNP L-Glc. The two α-L-glucosidases had little activity toward PNP L-Rha. They exhibited higher <i>k</i> <sub>cat</sub>/<i>K</i> <sub>m</sub> values for PNP L-Qui but smaller for PNP L-Xyl than for PNP L-Glc. The molecular docking studies indicated that these specificities were correlated well with the active-site structure of the α-L-glucosidases. The finding that α-L-quinovoside, which has been suggested to occur in nature, is also a substrate for α-L-glucosidases indicates that this enzyme are not solely dedicated to α-L-glucoside hydrolysis.</p>","PeriodicalId":14999,"journal":{"name":"Journal of applied glycoscience","volume":"71 3","pages":"91-94"},"PeriodicalIF":1.4000,"publicationDate":"2024-08-20","publicationTypes":"Journal Article","fieldsOfStudy":null,"isOpenAccess":false,"openAccessPdf":"https://www.ncbi.nlm.nih.gov/pmc/articles/PMC11368710/pdf/","citationCount":"0","resultStr":"{\"title\":\"Substrate Specificity of GH29 α-L-Glucosidases from <i>Cecembia lonarensis</i>.\",\"authors\":\"Hye-Jin Kang, Takayoshi Tagami, Masayuki Okuyama\",\"doi\":\"10.5458/jag.jag.JAG-2024_0004\",\"DOIUrl\":null,\"url\":null,\"abstract\":\"<p><p>We recently found two α-L-glucosidases, which can hydrolyze <i>p</i>-nitrophenyl α-L-glucopyranoside (PNP L-Glc) rather than <i>p</i>-nitrophenyl α-L-fucopyranoside, in glycoside hydrolase family 29. This study evaluated their substrate specificity for <i>p</i>-nitrophenyl α-L-rhamnopyranoside (PNP L-Rha), α-L-quinovopyranoside (PNP L-Qui), and α-L-xylopyranoside (PNP L-Xyl), of which structure is similar to PNP L-Glc. The two α-L-glucosidases had little activity toward PNP L-Rha. They exhibited higher <i>k</i> <sub>cat</sub>/<i>K</i> <sub>m</sub> values for PNP L-Qui but smaller for PNP L-Xyl than for PNP L-Glc. The molecular docking studies indicated that these specificities were correlated well with the active-site structure of the α-L-glucosidases. The finding that α-L-quinovoside, which has been suggested to occur in nature, is also a substrate for α-L-glucosidases indicates that this enzyme are not solely dedicated to α-L-glucoside hydrolysis.</p>\",\"PeriodicalId\":14999,\"journal\":{\"name\":\"Journal of applied glycoscience\",\"volume\":\"71 3\",\"pages\":\"91-94\"},\"PeriodicalIF\":1.4000,\"publicationDate\":\"2024-08-20\",\"publicationTypes\":\"Journal Article\",\"fieldsOfStudy\":null,\"isOpenAccess\":false,\"openAccessPdf\":\"https://www.ncbi.nlm.nih.gov/pmc/articles/PMC11368710/pdf/\",\"citationCount\":\"0\",\"resultStr\":null,\"platform\":\"Semanticscholar\",\"paperid\":null,\"PeriodicalName\":\"Journal of applied glycoscience\",\"FirstCategoryId\":\"1085\",\"ListUrlMain\":\"https://doi.org/10.5458/jag.jag.JAG-2024_0004\",\"RegionNum\":0,\"RegionCategory\":null,\"ArticlePicture\":[],\"TitleCN\":null,\"AbstractTextCN\":null,\"PMCID\":null,\"EPubDate\":\"2024/1/1 0:00:00\",\"PubModel\":\"eCollection\",\"JCR\":\"Q4\",\"JCRName\":\"BIOCHEMISTRY & MOLECULAR BIOLOGY\",\"Score\":null,\"Total\":0}","platform":"Semanticscholar","paperid":null,"PeriodicalName":"Journal of applied glycoscience","FirstCategoryId":"1085","ListUrlMain":"https://doi.org/10.5458/jag.jag.JAG-2024_0004","RegionNum":0,"RegionCategory":null,"ArticlePicture":[],"TitleCN":null,"AbstractTextCN":null,"PMCID":null,"EPubDate":"2024/1/1 0:00:00","PubModel":"eCollection","JCR":"Q4","JCRName":"BIOCHEMISTRY & MOLECULAR BIOLOGY","Score":null,"Total":0}
引用次数: 0

摘要

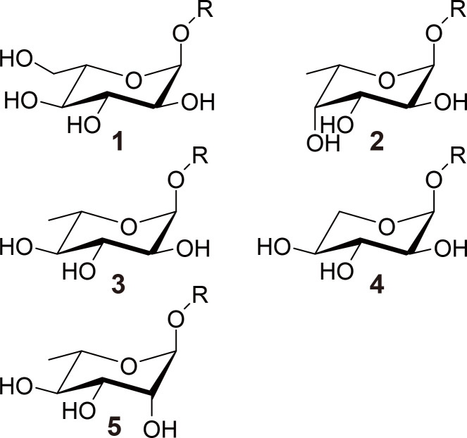
最近,我们在糖苷水解酶家族 29 中发现了两种 α-L-葡萄糖苷酶,它们可以水解对硝基苯基 α-L-吡喃葡萄糖苷(PNP L-Glc),而不是对硝基苯基 α-L-吡喃岩藻糖苷。本研究评估了它们对对硝基苯α-L-鼠李糖苷(PNP L-Rha)、α-L-喹诺酮糖苷(PNP L-Qui)和α-L-木酰基吡喃糖苷(PNP L-Xyl)的底物特异性,这些底物的结构与 PNP L-Glc 相似。这两种α-L-葡萄糖苷酶对 PNP L-Rha 的活性很小。它们对 PNP L-Qui 的 k cat/K m 值较高,但对 PNP L-Xyl 的 k cat/K m 值低于对 PNP L-Glc。分子对接研究表明,这些特异性与α-L-葡萄糖苷酶的活性位点结构密切相关。发现α-L-奎诺糖苷也是α-L-葡萄糖苷酶的底物,这表明α-L-葡萄糖苷酶并非只专门水解α-L-葡萄糖苷。
本文章由计算机程序翻译,如有差异,请以英文原文为准。

Substrate Specificity of GH29 α-L-Glucosidases from <i>Cecembia lonarensis</i>.

Substrate Specificity of GH29 α-L-Glucosidases from <i>Cecembia lonarensis</i>.

Substrate Specificity of GH29 α-L-Glucosidases from Cecembia lonarensis.

We recently found two α-L-glucosidases, which can hydrolyze p-nitrophenyl α-L-glucopyranoside (PNP L-Glc) rather than p-nitrophenyl α-L-fucopyranoside, in glycoside hydrolase family 29. This study evaluated their substrate specificity for p-nitrophenyl α-L-rhamnopyranoside (PNP L-Rha), α-L-quinovopyranoside (PNP L-Qui), and α-L-xylopyranoside (PNP L-Xyl), of which structure is similar to PNP L-Glc. The two α-L-glucosidases had little activity toward PNP L-Rha. They exhibited higher k cat/K m values for PNP L-Qui but smaller for PNP L-Xyl than for PNP L-Glc. The molecular docking studies indicated that these specificities were correlated well with the active-site structure of the α-L-glucosidases. The finding that α-L-quinovoside, which has been suggested to occur in nature, is also a substrate for α-L-glucosidases indicates that this enzyme are not solely dedicated to α-L-glucoside hydrolysis.

求助全文
通过发布文献求助,成功后即可免费获取论文全文。 去求助
来源期刊
Journal of applied glycoscience
Journal of applied glycoscience BIOCHEMISTRY & MOLECULAR BIOLOGY-
自引率
9.10%
发文量
13
×
引用
GB/T 7714-2015
复制
MLA
复制
APA
复制
导出至
BibTeX EndNote RefMan NoteFirst NoteExpress
×
提示
您的信息不完整,为了账户安全,请先补充。
现在去补充
×
提示
您因"违规操作"
具体请查看互助需知
我知道了
×
提示
确定
请完成安全验证×
copy
已复制链接
快去分享给好友吧!
我知道了
右上角分享
点击右上角分享
0
联系我们:info@booksci.cn Book学术提供免费学术资源搜索服务,方便国内外学者检索中英文文献。致力于提供最便捷和优质的服务体验。 Copyright © 2023 布克学术 All rights reserved.
京ICP备2023020795号-1
ghs 京公网安备 11010802042870号
Book学术文献互助
Book学术文献互助群
群 号:604180095
Book学术官方微信