患者体内免疫抑制变异性对肝移植结果的影响:系统回顾与元分析》。

IF 1.9 Q3 TRANSPLANTATION
Transplantation Direct Pub Date : 2024-08-23 eCollection Date: 2024-09-01 DOI:10.1097/TXD.0000000000001700
Sherene Lattimore, Anastasia Chambers, Isabella Angeli-Pahim, Abhishek Shrestha, Benjamin O Eke, Ariel Pomputius, Carma Bylund, Megan E Gregory, Ali Zarrinpar
{"title":"患者体内免疫抑制变异性对肝移植结果的影响:系统回顾与元分析》。","authors":"Sherene Lattimore, Anastasia Chambers, Isabella Angeli-Pahim, Abhishek Shrestha, Benjamin O Eke, Ariel Pomputius, Carma Bylund, Megan E Gregory, Ali Zarrinpar","doi":"10.1097/TXD.0000000000001700","DOIUrl":null,"url":null,"abstract":"<p><strong>Background: </strong>To investigate the impact of intrapatient variability (IPV) in the levels of immunosuppressant drugs on health outcomes after liver transplantation.</p><p><strong>Methods: </strong>A comprehensive systematic review and meta-analysis were conducted, examining literature from MEDLINE/PubMed, Embase, Web of Science, Cochrane Reviews, and Cochrane CENTRAL.</p><p><strong>Results: </strong>The analysis focused on acute rejection, graft survival, acute kidney injury, and cancer risk as health outcomes. Of 2901 articles screened, 10 met the inclusion criteria. The results indicate a 19% reduction in the risk of acute rejection in patients with lower IPV (RR = 0.81; 95% confidence interval, 0.66-0.99), although 6 studies found no significant association between high IPV and acute rejection. Contrasting results were observed for graft survival, with 1 study indicating worse outcomes for high IPV, whereas another reported no significant difference. High IPV was consistently associated with acute kidney injury across 3 studies. One study suggested a link between high IPV and hepatocellular carcinoma, although a meta-analysis for these outcomes was not feasible.</p><p><strong>Conclusions: </strong>These findings point to a marginal but statistically significant association between high IPV and an increased risk of acute rejection, highlighting the importance of precise management of immunosuppressive drugs in liver transplant recipients to enhance patient outcomes.</p>","PeriodicalId":23225,"journal":{"name":"Transplantation Direct","volume":"10 9","pages":"e1700"},"PeriodicalIF":1.9000,"publicationDate":"2024-08-23","publicationTypes":"Journal Article","fieldsOfStudy":null,"isOpenAccess":false,"openAccessPdf":"https://www.ncbi.nlm.nih.gov/pmc/articles/PMC11346865/pdf/","citationCount":"0","resultStr":"{\"title\":\"Impact of Intrapatient Immunosuppression Variability in Liver Transplantation Outcomes: A Systematic Review and Meta-analysis.\",\"authors\":\"Sherene Lattimore, Anastasia Chambers, Isabella Angeli-Pahim, Abhishek Shrestha, Benjamin O Eke, Ariel Pomputius, Carma Bylund, Megan E Gregory, Ali Zarrinpar\",\"doi\":\"10.1097/TXD.0000000000001700\",\"DOIUrl\":null,\"url\":null,\"abstract\":\"<p><strong>Background: </strong>To investigate the impact of intrapatient variability (IPV) in the levels of immunosuppressant drugs on health outcomes after liver transplantation.</p><p><strong>Methods: </strong>A comprehensive systematic review and meta-analysis were conducted, examining literature from MEDLINE/PubMed, Embase, Web of Science, Cochrane Reviews, and Cochrane CENTRAL.</p><p><strong>Results: </strong>The analysis focused on acute rejection, graft survival, acute kidney injury, and cancer risk as health outcomes. Of 2901 articles screened, 10 met the inclusion criteria. The results indicate a 19% reduction in the risk of acute rejection in patients with lower IPV (RR = 0.81; 95% confidence interval, 0.66-0.99), although 6 studies found no significant association between high IPV and acute rejection. Contrasting results were observed for graft survival, with 1 study indicating worse outcomes for high IPV, whereas another reported no significant difference. High IPV was consistently associated with acute kidney injury across 3 studies. One study suggested a link between high IPV and hepatocellular carcinoma, although a meta-analysis for these outcomes was not feasible.</p><p><strong>Conclusions: </strong>These findings point to a marginal but statistically significant association between high IPV and an increased risk of acute rejection, highlighting the importance of precise management of immunosuppressive drugs in liver transplant recipients to enhance patient outcomes.</p>\",\"PeriodicalId\":23225,\"journal\":{\"name\":\"Transplantation Direct\",\"volume\":\"10 9\",\"pages\":\"e1700\"},\"PeriodicalIF\":1.9000,\"publicationDate\":\"2024-08-23\",\"publicationTypes\":\"Journal Article\",\"fieldsOfStudy\":null,\"isOpenAccess\":false,\"openAccessPdf\":\"https://www.ncbi.nlm.nih.gov/pmc/articles/PMC11346865/pdf/\",\"citationCount\":\"0\",\"resultStr\":null,\"platform\":\"Semanticscholar\",\"paperid\":null,\"PeriodicalName\":\"Transplantation Direct\",\"FirstCategoryId\":\"1085\",\"ListUrlMain\":\"https://doi.org/10.1097/TXD.0000000000001700\",\"RegionNum\":0,\"RegionCategory\":null,\"ArticlePicture\":[],\"TitleCN\":null,\"AbstractTextCN\":null,\"PMCID\":null,\"EPubDate\":\"2024/9/1 0:00:00\",\"PubModel\":\"eCollection\",\"JCR\":\"Q3\",\"JCRName\":\"TRANSPLANTATION\",\"Score\":null,\"Total\":0}","platform":"Semanticscholar","paperid":null,"PeriodicalName":"Transplantation Direct","FirstCategoryId":"1085","ListUrlMain":"https://doi.org/10.1097/TXD.0000000000001700","RegionNum":0,"RegionCategory":null,"ArticlePicture":[],"TitleCN":null,"AbstractTextCN":null,"PMCID":null,"EPubDate":"2024/9/1 0:00:00","PubModel":"eCollection","JCR":"Q3","JCRName":"TRANSPLANTATION","Score":null,"Total":0}
引用次数: 0

摘要

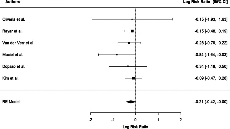
背景:研究免疫抑制剂水平的患者间差异(IPV)对肝移植术后健康结果的影响:研究免疫抑制剂水平的患者间变异性(IPV)对肝移植术后健康结果的影响:方法:对来自 MEDLINE/PubMed、Embase、Web of Science、Cochrane Reviews 和 Cochrane CENTRAL 的文献进行了全面的系统综述和荟萃分析:分析的重点是急性排斥反应、移植物存活率、急性肾损伤和癌症风险等健康结果。在筛选出的 2901 篇文章中,有 10 篇符合纳入标准。结果显示,IPV较低的患者发生急性排斥反应的风险降低了19%(RR = 0.81;95%置信区间,0.66-0.99),但有6项研究发现高IPV与急性排斥反应之间没有显著关联。在移植物存活率方面观察到了截然不同的结果,一项研究表明高 IPV 会导致更差的结果,而另一项研究则报告称两者之间没有显著差异。在 3 项研究中,高 IPV 始终与急性肾损伤相关。一项研究表明,高 IPV 与肝细胞癌之间存在联系,但对这些结果进行荟萃分析并不可行:这些研究结果表明,高IPV与急性排斥反应风险增加之间存在微弱但具有统计学意义的关联,突出了对肝移植受者的免疫抑制药物进行精确管理以提高患者预后的重要性。
本文章由计算机程序翻译,如有差异,请以英文原文为准。

Impact of Intrapatient Immunosuppression Variability in Liver Transplantation Outcomes: A Systematic Review and Meta-analysis.

Impact of Intrapatient Immunosuppression Variability in Liver Transplantation Outcomes: A Systematic Review and Meta-analysis.

Impact of Intrapatient Immunosuppression Variability in Liver Transplantation Outcomes: A Systematic Review and Meta-analysis.

Impact of Intrapatient Immunosuppression Variability in Liver Transplantation Outcomes: A Systematic Review and Meta-analysis.

Background: To investigate the impact of intrapatient variability (IPV) in the levels of immunosuppressant drugs on health outcomes after liver transplantation.

Methods: A comprehensive systematic review and meta-analysis were conducted, examining literature from MEDLINE/PubMed, Embase, Web of Science, Cochrane Reviews, and Cochrane CENTRAL.

Results: The analysis focused on acute rejection, graft survival, acute kidney injury, and cancer risk as health outcomes. Of 2901 articles screened, 10 met the inclusion criteria. The results indicate a 19% reduction in the risk of acute rejection in patients with lower IPV (RR = 0.81; 95% confidence interval, 0.66-0.99), although 6 studies found no significant association between high IPV and acute rejection. Contrasting results were observed for graft survival, with 1 study indicating worse outcomes for high IPV, whereas another reported no significant difference. High IPV was consistently associated with acute kidney injury across 3 studies. One study suggested a link between high IPV and hepatocellular carcinoma, although a meta-analysis for these outcomes was not feasible.

Conclusions: These findings point to a marginal but statistically significant association between high IPV and an increased risk of acute rejection, highlighting the importance of precise management of immunosuppressive drugs in liver transplant recipients to enhance patient outcomes.

求助全文
通过发布文献求助,成功后即可免费获取论文全文。 去求助
来源期刊
Transplantation Direct
Transplantation Direct TRANSPLANTATION-
CiteScore
3.40
自引率
4.30%
发文量
193
审稿时长
8 weeks
×
引用
GB/T 7714-2015
复制
MLA
复制
APA
复制
导出至
BibTeX EndNote RefMan NoteFirst NoteExpress
×
提示
您的信息不完整,为了账户安全,请先补充。
现在去补充
×
提示
您因"违规操作"
具体请查看互助需知
我知道了
×
提示
确定
请完成安全验证×
copy
已复制链接
快去分享给好友吧!
我知道了
右上角分享
点击右上角分享
0
联系我们:info@booksci.cn Book学术提供免费学术资源搜索服务,方便国内外学者检索中英文文献。致力于提供最便捷和优质的服务体验。 Copyright © 2023 布克学术 All rights reserved.
京ICP备2023020795号-1
ghs 京公网安备 11010802042870号
Book学术文献互助
Book学术文献互助群
群 号:604180095
Book学术官方微信