急性大动脉闭塞性脑卒中血管内治疗后收缩压降低幅度与临床疗效。

IF 4.9 1区 医学
Xianjun Huang, Xianhui Ding, Hao Wang, Qiankun Cai, Junfeng Xu, Zibao Li, Qian Yang, Zhiming Zhou, Jie Xu
{"title":"急性大动脉闭塞性脑卒中血管内治疗后收缩压降低幅度与临床疗效。","authors":"Xianjun Huang, Xianhui Ding, Hao Wang, Qiankun Cai, Junfeng Xu, Zibao Li, Qian Yang, Zhiming Zhou, Jie Xu","doi":"10.1136/svn-2024-003221","DOIUrl":null,"url":null,"abstract":"<p><strong>Background: </strong>The impact of lowering systolic blood pressure (SBP) following endovascular treatment (EVT) in acute large vessel occlusion stroke (LVOS) patients remains unclear. We aimed to explore the effect of the magnitude of SBP reduction (SBPr) after EVT on outcomes in LVOS patients.</p><p><strong>Methods: </strong>We consecutively registered patients at three comprehensive stroke centres who had experienced EVT as a result of acute anterior circulation LVOS. SBPr was calculated as follows: (baseline SBP-mean SBP/baseline SBP)×100%. The 90-day modified Rankin Scale score ranging from 0 to 2 was defined as a favourable functional outcome. Based on CT scans obtained within 24 hours after procedure, symptomatic intracranial haemorrhage (sICH) was assessed according to the criteria of the European Cooperative Acute Stroke Study III.</p><p><strong>Results: </strong>We enrolled 1080 patients, of which 908 (84.1%) had successful recanalisation. In the overall cohort, SBPr was correlated with lower odds of sICH (SBPr±10% as a reference, 20%-30%: OR 0.460; 95% CI: 0.245 to 0.864; p=0.016; >30%: OR 0.304; 95% CI 0.123 to 0.749; p=0.010). In patients who achieved successful reperfusion, SBPr>30% was correlated with higher odds of a poor outcome (SBPr±10% as a reference, OR 2.150; 95% CI 1.268 to 3.645; p=0.004) and SBPr has a similar tendency towards reducing the incidence of sICH. In the subgroup analyses, baseline Alberta Stroke Programme Early CT (ASPECT) score (p<sub>interact</sub>=0.024) modified the effect of SBPr on the 90-day outcome.</p><p><strong>Conclusion: </strong>Among patients with EVT, a significant drop in SBP may be related to a poor functional outcome and a reduced incidence of sICH. Baseline ASPECT score may be an important interacting factor in the association of SBPr with the 90-day outcome. This study provides new insights for individualised BP management in patients with EVT.</p>","PeriodicalId":48733,"journal":{"name":"Journal of Investigative Medicine","volume":" ","pages":""},"PeriodicalIF":4.9000,"publicationDate":"2025-04-29","publicationTypes":"Journal Article","fieldsOfStudy":null,"isOpenAccess":false,"openAccessPdf":"https://www.ncbi.nlm.nih.gov/pmc/articles/PMC12107462/pdf/","citationCount":"0","resultStr":"{\"title\":\"Magnitude of systolic blood pressure reduction following endovascular treatment and clinical outcomes in acute large artery occlusion stroke.\",\"authors\":\"Xianjun Huang, Xianhui Ding, Hao Wang, Qiankun Cai, Junfeng Xu, Zibao Li, Qian Yang, Zhiming Zhou, Jie Xu\",\"doi\":\"10.1136/svn-2024-003221\",\"DOIUrl\":null,\"url\":null,\"abstract\":\"<p><strong>Background: </strong>The impact of lowering systolic blood pressure (SBP) following endovascular treatment (EVT) in acute large vessel occlusion stroke (LVOS) patients remains unclear. We aimed to explore the effect of the magnitude of SBP reduction (SBPr) after EVT on outcomes in LVOS patients.</p><p><strong>Methods: </strong>We consecutively registered patients at three comprehensive stroke centres who had experienced EVT as a result of acute anterior circulation LVOS. SBPr was calculated as follows: (baseline SBP-mean SBP/baseline SBP)×100%. The 90-day modified Rankin Scale score ranging from 0 to 2 was defined as a favourable functional outcome. Based on CT scans obtained within 24 hours after procedure, symptomatic intracranial haemorrhage (sICH) was assessed according to the criteria of the European Cooperative Acute Stroke Study III.</p><p><strong>Results: </strong>We enrolled 1080 patients, of which 908 (84.1%) had successful recanalisation. In the overall cohort, SBPr was correlated with lower odds of sICH (SBPr±10% as a reference, 20%-30%: OR 0.460; 95% CI: 0.245 to 0.864; p=0.016; >30%: OR 0.304; 95% CI 0.123 to 0.749; p=0.010). In patients who achieved successful reperfusion, SBPr>30% was correlated with higher odds of a poor outcome (SBPr±10% as a reference, OR 2.150; 95% CI 1.268 to 3.645; p=0.004) and SBPr has a similar tendency towards reducing the incidence of sICH. In the subgroup analyses, baseline Alberta Stroke Programme Early CT (ASPECT) score (p<sub>interact</sub>=0.024) modified the effect of SBPr on the 90-day outcome.</p><p><strong>Conclusion: </strong>Among patients with EVT, a significant drop in SBP may be related to a poor functional outcome and a reduced incidence of sICH. Baseline ASPECT score may be an important interacting factor in the association of SBPr with the 90-day outcome. This study provides new insights for individualised BP management in patients with EVT.</p>\",\"PeriodicalId\":48733,\"journal\":{\"name\":\"Journal of Investigative Medicine\",\"volume\":\" \",\"pages\":\"\"},\"PeriodicalIF\":4.9000,\"publicationDate\":\"2025-04-29\",\"publicationTypes\":\"Journal Article\",\"fieldsOfStudy\":null,\"isOpenAccess\":false,\"openAccessPdf\":\"https://www.ncbi.nlm.nih.gov/pmc/articles/PMC12107462/pdf/\",\"citationCount\":\"0\",\"resultStr\":null,\"platform\":\"Semanticscholar\",\"paperid\":null,\"PeriodicalName\":\"Journal of Investigative Medicine\",\"FirstCategoryId\":\"3\",\"ListUrlMain\":\"https://doi.org/10.1136/svn-2024-003221\",\"RegionNum\":1,\"RegionCategory\":\"医学\",\"ArticlePicture\":[],\"TitleCN\":null,\"AbstractTextCN\":null,\"PMCID\":null,\"EPubDate\":\"\",\"PubModel\":\"\",\"JCR\":\"\",\"JCRName\":\"\",\"Score\":null,\"Total\":0}","platform":"Semanticscholar","paperid":null,"PeriodicalName":"Journal of Investigative Medicine","FirstCategoryId":"3","ListUrlMain":"https://doi.org/10.1136/svn-2024-003221","RegionNum":1,"RegionCategory":"医学","ArticlePicture":[],"TitleCN":null,"AbstractTextCN":null,"PMCID":null,"EPubDate":"","PubModel":"","JCR":"","JCRName":"","Score":null,"Total":0}
引用次数: 0

摘要

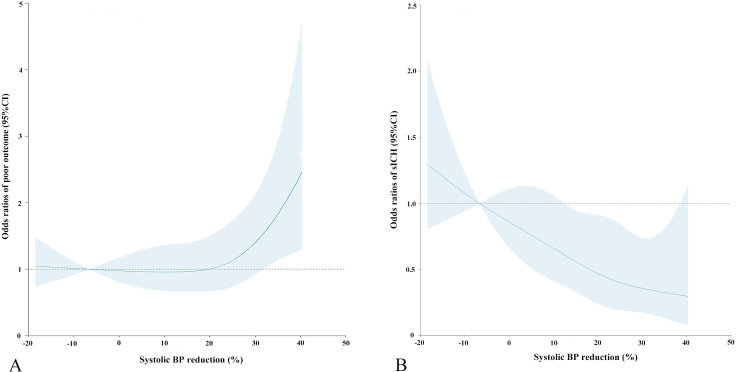
背景:血管内治疗(EVT)后降低收缩压(SBP)对急性大血管闭塞性卒中(LVOS)患者的影响仍不明确。我们旨在探讨 EVT 后收缩压降低幅度(SBPr)对 LVOS 患者预后的影响:我们在三个综合性卒中中心连续登记了因急性前循环 LVOS 而接受 EVT 的患者。SBPr 的计算方法如下(基线 SBP-平均 SBP/基线 SBP)×100%。90 天改良 Rankin 量表评分范围在 0 到 2 之间被定义为良好的功能预后。根据术后24小时内获得的CT扫描结果,按照欧洲急性卒中合作研究III的标准对无症状性颅内出血(sICH)进行评估:我们共招募了 1080 名患者,其中 908 人(84.1%)成功实现了再通。在整个队列中,SBPr与较低的sICH几率相关(SBPr±10%为参考值,20%-30%为参考值:OR 0.460; 95% CI: 0.245 to 0.864; p=0.016; >30%:OR 0.304; 95% CI 0.123 to 0.749; p=0.010)。在成功实现再灌注的患者中,SBPr>30% 与较高的不良预后几率相关(以 SBPr±10% 为参照,OR 2.150;95% CI 1.268 至 3.645;p=0.004),SBPr 在降低 sICH 发生率方面也有类似的趋势。在亚组分析中,基线阿尔伯塔卒中计划早期CT(ASPECT)评分(pinteract=0.024)改变了SBPr对90天预后的影响:结论:在EVT患者中,SBP的显著下降可能与功能预后较差和sICH发生率降低有关。基线 ASPECT 评分可能是 SBPr 与 90 天预后相关性的一个重要交互因素。这项研究为EVT患者的个体化血压管理提供了新的思路。
本文章由计算机程序翻译,如有差异,请以英文原文为准。

Magnitude of systolic blood pressure reduction following endovascular treatment and clinical outcomes in acute large artery occlusion stroke.

Magnitude of systolic blood pressure reduction following endovascular treatment and clinical outcomes in acute large artery occlusion stroke.

Magnitude of systolic blood pressure reduction following endovascular treatment and clinical outcomes in acute large artery occlusion stroke.

Magnitude of systolic blood pressure reduction following endovascular treatment and clinical outcomes in acute large artery occlusion stroke.

Background: The impact of lowering systolic blood pressure (SBP) following endovascular treatment (EVT) in acute large vessel occlusion stroke (LVOS) patients remains unclear. We aimed to explore the effect of the magnitude of SBP reduction (SBPr) after EVT on outcomes in LVOS patients.

Methods: We consecutively registered patients at three comprehensive stroke centres who had experienced EVT as a result of acute anterior circulation LVOS. SBPr was calculated as follows: (baseline SBP-mean SBP/baseline SBP)×100%. The 90-day modified Rankin Scale score ranging from 0 to 2 was defined as a favourable functional outcome. Based on CT scans obtained within 24 hours after procedure, symptomatic intracranial haemorrhage (sICH) was assessed according to the criteria of the European Cooperative Acute Stroke Study III.

Results: We enrolled 1080 patients, of which 908 (84.1%) had successful recanalisation. In the overall cohort, SBPr was correlated with lower odds of sICH (SBPr±10% as a reference, 20%-30%: OR 0.460; 95% CI: 0.245 to 0.864; p=0.016; >30%: OR 0.304; 95% CI 0.123 to 0.749; p=0.010). In patients who achieved successful reperfusion, SBPr>30% was correlated with higher odds of a poor outcome (SBPr±10% as a reference, OR 2.150; 95% CI 1.268 to 3.645; p=0.004) and SBPr has a similar tendency towards reducing the incidence of sICH. In the subgroup analyses, baseline Alberta Stroke Programme Early CT (ASPECT) score (pinteract=0.024) modified the effect of SBPr on the 90-day outcome.

Conclusion: Among patients with EVT, a significant drop in SBP may be related to a poor functional outcome and a reduced incidence of sICH. Baseline ASPECT score may be an important interacting factor in the association of SBPr with the 90-day outcome. This study provides new insights for individualised BP management in patients with EVT.

求助全文
通过发布文献求助,成功后即可免费获取论文全文。 去求助
来源期刊
Journal of Investigative Medicine
Journal of Investigative Medicine MEDICINE, GENERAL & INTERNALMEDICINE, RESE-MEDICINE, RESEARCH & EXPERIMENTAL
自引率
0.00%
发文量
111
期刊介绍: Journal of Investigative Medicine (JIM) is the official publication of the American Federation for Medical Research. The journal is peer-reviewed and publishes high-quality original articles and reviews in the areas of basic, clinical, and translational medical research. JIM publishes on all topics and specialty areas that are critical to the conduct of the entire spectrum of biomedical research: from the translation of clinical observations at the bedside, to basic and animal research to clinical research and the implementation of innovative medical care.
×
引用
GB/T 7714-2015
复制
MLA
复制
APA
复制
导出至
BibTeX EndNote RefMan NoteFirst NoteExpress
×
提示
您的信息不完整,为了账户安全,请先补充。
现在去补充
×
提示
您因"违规操作"
具体请查看互助需知
我知道了
×
提示
确定
请完成安全验证×
copy
已复制链接
快去分享给好友吧!
我知道了
右上角分享
点击右上角分享
0
联系我们:info@booksci.cn Book学术提供免费学术资源搜索服务,方便国内外学者检索中英文文献。致力于提供最便捷和优质的服务体验。 Copyright © 2023 布克学术 All rights reserved.
京ICP备2023020795号-1
ghs 京公网安备 11010802042870号
Book学术文献互助
Book学术文献互助群
群 号:604180095
Book学术官方微信