食管切除术中无需进行术中幽门引流:随机对照试验的荟萃分析和系统回顾。

IF 2.3 4区 医学 Q3 ONCOLOGY
Pathology & Oncology Research Pub Date : 2024-08-06 eCollection Date: 2024-01-01 DOI:10.3389/pore.2024.1611823
Armand Csontos, Dávid Németh, Lajos Szakó, Gergő Berke, Dóra Lili Sindler, Dávid Berki, Csenge Papp, Péter Hegyi, András Vereczkei, András Papp
{"title":"食管切除术中无需进行术中幽门引流:随机对照试验的荟萃分析和系统回顾。","authors":"Armand Csontos, Dávid Németh, Lajos Szakó, Gergő Berke, Dóra Lili Sindler, Dávid Berki, Csenge Papp, Péter Hegyi, András Vereczkei, András Papp","doi":"10.3389/pore.2024.1611823","DOIUrl":null,"url":null,"abstract":"<p><p><b>Objective:</b> The topic of this meta-analysis is the comparison of gastric conduit esophageal reconstructions with or without pyloroplasty. <b>Background:</b> Surgical procedures, especially minimal invasive esophagectomy (MIE) can be a curative treatment in the early stages of esophageal cancer. Previously, intraoperative pyloroplasty was routinely performed, but nowadays it became debated again in the light of minimally invasive esophagectomy. <b>Methods:</b> A comprehensive search was performed in multiple databases to identify randomized controlled trials investigating the topic. Two independent authors performed the selection based on predefined criteria. Statistical analysis was performed to assess any significant difference, then the bias and quality of the data were estimated. <b>Results:</b> Nine relevant RCTs consisting of 529 patients with esophageal cancer were identified. No significance was found in mortality [odds ratio (OR): 0.85; <i>p</i> = 0.642], anastomosis leakage (OR: 0.57; <i>p</i> = 0.254), respiratory morbidity (OR: 0.51; <i>p</i> = 0.214) and vomiting (OR: 0.74; <i>p</i> = 0.520), however the results about gastric emptying time (GET) were controversial (weighted mean difference (WMD): -67.71; <i>p</i> = 0.009, OR: 2.75; <i>p</i> = 0.072). Significant heterogeneity was not detected except for GET. Trial sequential analyses (TSA) show that a certain conclusion would require more data except in the binary variables of GET. <b>Conclusion:</b> We conclude that the pyloric drainage procedure is not routinely necessary, but further well-designed studies would be needed, especially in Europe.</p>","PeriodicalId":19981,"journal":{"name":"Pathology & Oncology Research","volume":"30 ","pages":"1611823"},"PeriodicalIF":2.3000,"publicationDate":"2024-08-06","publicationTypes":"Journal Article","fieldsOfStudy":null,"isOpenAccess":false,"openAccessPdf":"https://www.ncbi.nlm.nih.gov/pmc/articles/PMC11333203/pdf/","citationCount":"0","resultStr":"{\"title\":\"Intraoperative pyloric drainage is unnecessary during esophagectomies: a meta-analysis and systematic review of randomized controlled trials.\",\"authors\":\"Armand Csontos, Dávid Németh, Lajos Szakó, Gergő Berke, Dóra Lili Sindler, Dávid Berki, Csenge Papp, Péter Hegyi, András Vereczkei, András Papp\",\"doi\":\"10.3389/pore.2024.1611823\",\"DOIUrl\":null,\"url\":null,\"abstract\":\"<p><p><b>Objective:</b> The topic of this meta-analysis is the comparison of gastric conduit esophageal reconstructions with or without pyloroplasty. <b>Background:</b> Surgical procedures, especially minimal invasive esophagectomy (MIE) can be a curative treatment in the early stages of esophageal cancer. Previously, intraoperative pyloroplasty was routinely performed, but nowadays it became debated again in the light of minimally invasive esophagectomy. <b>Methods:</b> A comprehensive search was performed in multiple databases to identify randomized controlled trials investigating the topic. Two independent authors performed the selection based on predefined criteria. Statistical analysis was performed to assess any significant difference, then the bias and quality of the data were estimated. <b>Results:</b> Nine relevant RCTs consisting of 529 patients with esophageal cancer were identified. No significance was found in mortality [odds ratio (OR): 0.85; <i>p</i> = 0.642], anastomosis leakage (OR: 0.57; <i>p</i> = 0.254), respiratory morbidity (OR: 0.51; <i>p</i> = 0.214) and vomiting (OR: 0.74; <i>p</i> = 0.520), however the results about gastric emptying time (GET) were controversial (weighted mean difference (WMD): -67.71; <i>p</i> = 0.009, OR: 2.75; <i>p</i> = 0.072). Significant heterogeneity was not detected except for GET. Trial sequential analyses (TSA) show that a certain conclusion would require more data except in the binary variables of GET. <b>Conclusion:</b> We conclude that the pyloric drainage procedure is not routinely necessary, but further well-designed studies would be needed, especially in Europe.</p>\",\"PeriodicalId\":19981,\"journal\":{\"name\":\"Pathology & Oncology Research\",\"volume\":\"30 \",\"pages\":\"1611823\"},\"PeriodicalIF\":2.3000,\"publicationDate\":\"2024-08-06\",\"publicationTypes\":\"Journal Article\",\"fieldsOfStudy\":null,\"isOpenAccess\":false,\"openAccessPdf\":\"https://www.ncbi.nlm.nih.gov/pmc/articles/PMC11333203/pdf/\",\"citationCount\":\"0\",\"resultStr\":null,\"platform\":\"Semanticscholar\",\"paperid\":null,\"PeriodicalName\":\"Pathology & Oncology Research\",\"FirstCategoryId\":\"3\",\"ListUrlMain\":\"https://doi.org/10.3389/pore.2024.1611823\",\"RegionNum\":4,\"RegionCategory\":\"医学\",\"ArticlePicture\":[],\"TitleCN\":null,\"AbstractTextCN\":null,\"PMCID\":null,\"EPubDate\":\"2024/1/1 0:00:00\",\"PubModel\":\"eCollection\",\"JCR\":\"Q3\",\"JCRName\":\"ONCOLOGY\",\"Score\":null,\"Total\":0}","platform":"Semanticscholar","paperid":null,"PeriodicalName":"Pathology & Oncology Research","FirstCategoryId":"3","ListUrlMain":"https://doi.org/10.3389/pore.2024.1611823","RegionNum":4,"RegionCategory":"医学","ArticlePicture":[],"TitleCN":null,"AbstractTextCN":null,"PMCID":null,"EPubDate":"2024/1/1 0:00:00","PubModel":"eCollection","JCR":"Q3","JCRName":"ONCOLOGY","Score":null,"Total":0}
引用次数: 0

摘要

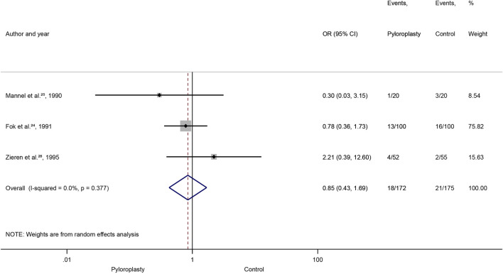
目的:本荟萃分析的主题是比较有无幽门成形术的胃导管食管重建术。背景:外科手术,尤其是微创食管切除术(MIE)可以治愈早期食管癌。以前,术中幽门成形术是常规做法,但如今,鉴于微创食管切除术的出现,这一做法又引起了争论。方法:在多个数据库中进行了全面搜索,以确定研究该主题的随机对照试验。两位独立作者根据预先设定的标准进行了筛选。进行统计分析以评估是否存在显著差异,然后对数据的偏差和质量进行评估。结果:共找到九项相关的研究性试验,包括 529 名食道癌患者。在死亡率[几率比(OR):0.85;P = 0.642]、吻合口漏(OR:0.57;P = 0.254)、呼吸系统发病率(OR:0.51;P = 0.214)和呕吐(OR:0.74;p = 0.520),但胃排空时间(GET)的结果存在争议(加权平均差(WMD):-67.71;p = 0.009,OR:2.75;p = 0.072)。除 GET 外,未发现明显的异质性。试验序列分析(TSA)显示,除了 GET 的二元变量外,要得出某个结论还需要更多的数据。结论:我们得出的结论是,幽门引流术并非常规必要手术,但需要进一步进行精心设计的研究,尤其是在欧洲。
本文章由计算机程序翻译,如有差异,请以英文原文为准。

Intraoperative pyloric drainage is unnecessary during esophagectomies: a meta-analysis and systematic review of randomized controlled trials.

Intraoperative pyloric drainage is unnecessary during esophagectomies: a meta-analysis and systematic review of randomized controlled trials.

Intraoperative pyloric drainage is unnecessary during esophagectomies: a meta-analysis and systematic review of randomized controlled trials.

Intraoperative pyloric drainage is unnecessary during esophagectomies: a meta-analysis and systematic review of randomized controlled trials.

Objective: The topic of this meta-analysis is the comparison of gastric conduit esophageal reconstructions with or without pyloroplasty. Background: Surgical procedures, especially minimal invasive esophagectomy (MIE) can be a curative treatment in the early stages of esophageal cancer. Previously, intraoperative pyloroplasty was routinely performed, but nowadays it became debated again in the light of minimally invasive esophagectomy. Methods: A comprehensive search was performed in multiple databases to identify randomized controlled trials investigating the topic. Two independent authors performed the selection based on predefined criteria. Statistical analysis was performed to assess any significant difference, then the bias and quality of the data were estimated. Results: Nine relevant RCTs consisting of 529 patients with esophageal cancer were identified. No significance was found in mortality [odds ratio (OR): 0.85; p = 0.642], anastomosis leakage (OR: 0.57; p = 0.254), respiratory morbidity (OR: 0.51; p = 0.214) and vomiting (OR: 0.74; p = 0.520), however the results about gastric emptying time (GET) were controversial (weighted mean difference (WMD): -67.71; p = 0.009, OR: 2.75; p = 0.072). Significant heterogeneity was not detected except for GET. Trial sequential analyses (TSA) show that a certain conclusion would require more data except in the binary variables of GET. Conclusion: We conclude that the pyloric drainage procedure is not routinely necessary, but further well-designed studies would be needed, especially in Europe.

求助全文
通过发布文献求助,成功后即可免费获取论文全文。 去求助
来源期刊
CiteScore
6.30
自引率
0.00%
发文量
134
审稿时长
4-8 weeks
期刊介绍: Pathology & Oncology Research (POR) is an interdisciplinary Journal at the interface of pathology and oncology including the preclinical and translational research, diagnostics and therapy. Furthermore, POR is an international forum for the rapid communication of reviews, original research, critical and topical reports with excellence and novelty. Published quarterly, POR is dedicated to keeping scientists informed of developments on the selected biomedical fields bridging the gap between basic research and clinical medicine. It is a special aim for POR to promote pathological and oncological publishing activity of colleagues in the Central and East European region. The journal will be of interest to pathologists, and a broad range of experimental and clinical oncologists, and related experts. POR is supported by an acknowledged international advisory board and the Arányi Fundation for modern pathology.
×
引用
GB/T 7714-2015
复制
MLA
复制
APA
复制
导出至
BibTeX EndNote RefMan NoteFirst NoteExpress
×
提示
您的信息不完整,为了账户安全,请先补充。
现在去补充
×
提示
您因"违规操作"
具体请查看互助需知
我知道了
×
提示
确定
请完成安全验证×
copy
已复制链接
快去分享给好友吧!
我知道了
右上角分享
点击右上角分享
0
联系我们:info@booksci.cn Book学术提供免费学术资源搜索服务,方便国内外学者检索中英文文献。致力于提供最便捷和优质的服务体验。 Copyright © 2023 布克学术 All rights reserved.
京ICP备2023020795号-1
ghs 京公网安备 11010802042870号
Book学术文献互助
Book学术文献互助群
群 号:604180095
Book学术官方微信