胃癌 Roux-en-Y 重建术后糖尿病的发生率:单中心队列回顾性研究

JMIRx med Pub Date : 2024-08-14 DOI:10.2196/56405
Tatsuki Onishi
{"title":"胃癌 Roux-en-Y 重建术后糖尿病的发生率:单中心队列回顾性研究","authors":"Tatsuki Onishi","doi":"10.2196/56405","DOIUrl":null,"url":null,"abstract":"<p><strong>Background: </strong>Sleeve gastrectomy is an effective surgical option for morbid obesity, and it improves glucose homeostasis. In patients with gastric cancer and type 2 diabetes mellitus (DM), gastrectomy, including total gastrectomy, is beneficial for glycemic control.</p><p><strong>Objective: </strong>This study aims to clarify the effects of gastrectomy and different reconstructive techniques on the incidence of postoperative DM in patients with gastric cancer.</p><p><strong>Methods: </strong>This retrospective, single-center, cohort study included 715 patients without DM who underwent total gastrectomy at the Tokyo Metropolitan Bokutoh Hospital between August 2005 and March 2019. Patients underwent reconstruction by Roux-en-Y (RY) gastric bypass or other surgical techniques (OT), with DM onset determined by hemoglobin A1c levels or medical records. Analyses included 2-sample, 2-tailed t tests; χ2 tests; and the Kaplan-Meier method with log-rank tests to compare the onset curves between the RY and OT groups, along with additional curves stratified by sex. A Swimmer plot for censoring and new-onset DM was implemented.</p><p><strong>Results: </strong>Stratified data analysis compared the RY and OT reconstruction methods. The hazard ratio was 1.52 (95% CI 1.06-2.18; P=.02), which indicated a statistically significant difference in the incidence of new-onset diabetes between the RY and OT groups in patients with gastric cancer. The hazard ratio after propensity score matching was 1.42 (95% CI 1.09-1.86; P=.009).</p><p><strong>Conclusions: </strong>This first-of-its-kind study provides insight into how different methods of gastric reconstruction affect postoperative diabetes. The results suggest significant differences in new-onset DM after surgery based on the reconstruction method. This research highlights the need for careful surgical planning to consider potential postoperative DM, particularly in patients with a family history of DM. Future studies should investigate the role of gut microbiota and other reconstructive techniques, such as laparoscopic jejunal interposition, in developing postoperative DM.</p>","PeriodicalId":73558,"journal":{"name":"JMIRx med","volume":"5 ","pages":"e56405"},"PeriodicalIF":0.0000,"publicationDate":"2024-08-14","publicationTypes":"Journal Article","fieldsOfStudy":null,"isOpenAccess":false,"openAccessPdf":"https://www.ncbi.nlm.nih.gov/pmc/articles/PMC11337235/pdf/","citationCount":"0","resultStr":"{\"title\":\"Incidence of Postoperative Diabetes Mellitus After Roux-en-Y Reconstruction for Gastric Cancer: Retrospective Single-Center Cohort Study.\",\"authors\":\"Tatsuki Onishi\",\"doi\":\"10.2196/56405\",\"DOIUrl\":null,\"url\":null,\"abstract\":\"<p><strong>Background: </strong>Sleeve gastrectomy is an effective surgical option for morbid obesity, and it improves glucose homeostasis. In patients with gastric cancer and type 2 diabetes mellitus (DM), gastrectomy, including total gastrectomy, is beneficial for glycemic control.</p><p><strong>Objective: </strong>This study aims to clarify the effects of gastrectomy and different reconstructive techniques on the incidence of postoperative DM in patients with gastric cancer.</p><p><strong>Methods: </strong>This retrospective, single-center, cohort study included 715 patients without DM who underwent total gastrectomy at the Tokyo Metropolitan Bokutoh Hospital between August 2005 and March 2019. Patients underwent reconstruction by Roux-en-Y (RY) gastric bypass or other surgical techniques (OT), with DM onset determined by hemoglobin A1c levels or medical records. Analyses included 2-sample, 2-tailed t tests; χ2 tests; and the Kaplan-Meier method with log-rank tests to compare the onset curves between the RY and OT groups, along with additional curves stratified by sex. A Swimmer plot for censoring and new-onset DM was implemented.</p><p><strong>Results: </strong>Stratified data analysis compared the RY and OT reconstruction methods. The hazard ratio was 1.52 (95% CI 1.06-2.18; P=.02), which indicated a statistically significant difference in the incidence of new-onset diabetes between the RY and OT groups in patients with gastric cancer. The hazard ratio after propensity score matching was 1.42 (95% CI 1.09-1.86; P=.009).</p><p><strong>Conclusions: </strong>This first-of-its-kind study provides insight into how different methods of gastric reconstruction affect postoperative diabetes. The results suggest significant differences in new-onset DM after surgery based on the reconstruction method. This research highlights the need for careful surgical planning to consider potential postoperative DM, particularly in patients with a family history of DM. Future studies should investigate the role of gut microbiota and other reconstructive techniques, such as laparoscopic jejunal interposition, in developing postoperative DM.</p>\",\"PeriodicalId\":73558,\"journal\":{\"name\":\"JMIRx med\",\"volume\":\"5 \",\"pages\":\"e56405\"},\"PeriodicalIF\":0.0000,\"publicationDate\":\"2024-08-14\",\"publicationTypes\":\"Journal Article\",\"fieldsOfStudy\":null,\"isOpenAccess\":false,\"openAccessPdf\":\"https://www.ncbi.nlm.nih.gov/pmc/articles/PMC11337235/pdf/\",\"citationCount\":\"0\",\"resultStr\":null,\"platform\":\"Semanticscholar\",\"paperid\":null,\"PeriodicalName\":\"JMIRx med\",\"FirstCategoryId\":\"1085\",\"ListUrlMain\":\"https://doi.org/10.2196/56405\",\"RegionNum\":0,\"RegionCategory\":null,\"ArticlePicture\":[],\"TitleCN\":null,\"AbstractTextCN\":null,\"PMCID\":null,\"EPubDate\":\"\",\"PubModel\":\"\",\"JCR\":\"\",\"JCRName\":\"\",\"Score\":null,\"Total\":0}","platform":"Semanticscholar","paperid":null,"PeriodicalName":"JMIRx med","FirstCategoryId":"1085","ListUrlMain":"https://doi.org/10.2196/56405","RegionNum":0,"RegionCategory":null,"ArticlePicture":[],"TitleCN":null,"AbstractTextCN":null,"PMCID":null,"EPubDate":"","PubModel":"","JCR":"","JCRName":"","Score":null,"Total":0}
引用次数: 0

摘要

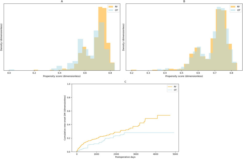
背景:袖带胃切除术是治疗病态性肥胖的有效手术方案,它能改善血糖稳态。对于胃癌和 2 型糖尿病(DM)患者,胃切除术(包括全胃切除术)有利于血糖控制:本研究旨在明确胃切除术和不同的重建技术对胃癌患者术后 DM 发生率的影响:这项回顾性、单中心、队列研究纳入了 2005 年 8 月至 2019 年 3 月期间在东京都福冈医院接受全胃切除术的 715 例无 DM 患者。患者通过Roux-en-Y(RY)胃旁路术或其他外科技术(OT)进行了重建,DM发病情况由血红蛋白A1c水平或医疗记录确定。分析包括双样本、双尾 t 检验;χ2 检验;Kaplan-Meier 法和对数秩检验,以比较 RY 组和 OT 组的发病曲线,以及按性别分层的其他曲线。结果显示,RY组和OT组的发病曲线与其他按性别分层的曲线进行了比较:分层数据分析比较了 RY 和 OT 重建方法。危险比为 1.52(95% CI 1.06-2.18;P=.02),这表明在胃癌患者中,RY 组和 OT 组的新发糖尿病发病率有显著的统计学差异。倾向得分匹配后的危险比为1.42 (95% CI 1.09-1.86; P=0.009):该研究首次深入探讨了不同的胃重建方法对术后糖尿病的影响。结果表明,不同的重建方法对术后新发糖尿病的影响存在明显差异。这项研究强调了仔细制定手术计划的必要性,以考虑潜在的术后糖尿病,尤其是有糖尿病家族史的患者。未来的研究应调查肠道微生物群和其他重建技术(如腹腔镜空肠插置术)在术后DM发病中的作用。
本文章由计算机程序翻译,如有差异,请以英文原文为准。

Incidence of Postoperative Diabetes Mellitus After Roux-en-Y Reconstruction for Gastric Cancer: Retrospective Single-Center Cohort Study.

Incidence of Postoperative Diabetes Mellitus After Roux-en-Y Reconstruction for Gastric Cancer: Retrospective Single-Center Cohort Study.

Incidence of Postoperative Diabetes Mellitus After Roux-en-Y Reconstruction for Gastric Cancer: Retrospective Single-Center Cohort Study.

Incidence of Postoperative Diabetes Mellitus After Roux-en-Y Reconstruction for Gastric Cancer: Retrospective Single-Center Cohort Study.

Background: Sleeve gastrectomy is an effective surgical option for morbid obesity, and it improves glucose homeostasis. In patients with gastric cancer and type 2 diabetes mellitus (DM), gastrectomy, including total gastrectomy, is beneficial for glycemic control.

Objective: This study aims to clarify the effects of gastrectomy and different reconstructive techniques on the incidence of postoperative DM in patients with gastric cancer.

Methods: This retrospective, single-center, cohort study included 715 patients without DM who underwent total gastrectomy at the Tokyo Metropolitan Bokutoh Hospital between August 2005 and March 2019. Patients underwent reconstruction by Roux-en-Y (RY) gastric bypass or other surgical techniques (OT), with DM onset determined by hemoglobin A1c levels or medical records. Analyses included 2-sample, 2-tailed t tests; χ2 tests; and the Kaplan-Meier method with log-rank tests to compare the onset curves between the RY and OT groups, along with additional curves stratified by sex. A Swimmer plot for censoring and new-onset DM was implemented.

Results: Stratified data analysis compared the RY and OT reconstruction methods. The hazard ratio was 1.52 (95% CI 1.06-2.18; P=.02), which indicated a statistically significant difference in the incidence of new-onset diabetes between the RY and OT groups in patients with gastric cancer. The hazard ratio after propensity score matching was 1.42 (95% CI 1.09-1.86; P=.009).

Conclusions: This first-of-its-kind study provides insight into how different methods of gastric reconstruction affect postoperative diabetes. The results suggest significant differences in new-onset DM after surgery based on the reconstruction method. This research highlights the need for careful surgical planning to consider potential postoperative DM, particularly in patients with a family history of DM. Future studies should investigate the role of gut microbiota and other reconstructive techniques, such as laparoscopic jejunal interposition, in developing postoperative DM.

求助全文
通过发布文献求助,成功后即可免费获取论文全文。 去求助
来源期刊
自引率
0.00%
发文量
0
×
引用
GB/T 7714-2015
复制
MLA
复制
APA
复制
导出至
BibTeX EndNote RefMan NoteFirst NoteExpress
×
提示
您的信息不完整,为了账户安全,请先补充。
现在去补充
×
提示
您因"违规操作"
具体请查看互助需知
我知道了
×
提示
确定
请完成安全验证×
copy
已复制链接
快去分享给好友吧!
我知道了
右上角分享
点击右上角分享
0
联系我们:info@booksci.cn Book学术提供免费学术资源搜索服务,方便国内外学者检索中英文文献。致力于提供最便捷和优质的服务体验。 Copyright © 2023 布克学术 All rights reserved.
京ICP备2023020795号-1
ghs 京公网安备 11010802042870号
Book学术文献互助
Book学术文献互助群
群 号:604180095
Book学术官方微信